• 文献检索
  • 文档翻译
  • 深度研究
  • 学术资讯
  • Suppr Zotero 插件Zotero 插件
  • 邀请有礼
  • 套餐&价格
  • 历史记录
应用&插件
Suppr Zotero 插件Zotero 插件浏览器插件Mac 客户端Windows 客户端微信小程序
定价
高级版会员购买积分包购买API积分包
服务
文献检索文档翻译深度研究API 文档MCP 服务
关于我们
关于 Suppr公司介绍联系我们用户协议隐私条款
关注我们

Suppr 超能文献

核心技术专利:CN118964589B侵权必究
粤ICP备2023148730 号-1Suppr @ 2026

文献检索

告别复杂PubMed语法,用中文像聊天一样搜索,搜遍4000万医学文献。AI智能推荐,让科研检索更轻松。

立即免费搜索

文件翻译

保留排版,准确专业,支持PDF/Word/PPT等文件格式,支持 12+语言互译。

免费翻译文档

深度研究

AI帮你快速写综述,25分钟生成高质量综述,智能提取关键信息,辅助科研写作。

立即免费体验

BC99通过抑制脑和肠道炎性小体改善慢性睡眠剥夺诱导的认知障碍。

BC99 Improve Cognitive Impairment Induced by Chronic Sleep Deprivation via Inhibiting the Brain and Intestine's Inflammasome.

作者信息

Sun Qiaoqiao, Fan Jiajia, Zhao Lina, Qu Zhen, Dong Yao, Wu Ying, Gu Shaobin

机构信息

College of Food and Bioengineering, Henan University of Science and Technology, Luoyang 471000, China.

Henan Engineering Research Center of Food Material, Henan University of Science and Technology, Luoyang 471023, China.

出版信息

Foods. 2025 Mar 14;14(6):989. doi: 10.3390/foods14060989.

DOI:10.3390/foods14060989
PMID:40232008
原文链接:https://pmc.ncbi.nlm.nih.gov/articles/PMC11941109/
Abstract

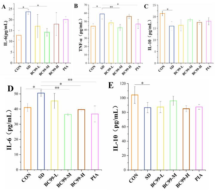
BC99, a Gram-positive, spore-forming, lactic acid-producing bacterium is renowned for its resilience and health-promoting properties, BC99 survives harsh environments, including high temperatures and gastric acidity, enabling effective delivery to the intestines. The consequences of chronic sleep deprivation (SD) include memory deficits and gastrointestinal dysfunction. In this study, a chronic sleep deprivation cognitive impairment model was established by using a sleep deprivation instrument and BC99 was given by gavage for 4 weeks to explore the mechanism by which BC99 improves cognitive impairment in sleep-deprived mice. BC99 improved cognitive abnormalities in novel object recognition tests induced by chronic sleep deprivation and showed behavior related to spatial memory in the Morris water maze test. BC99 reduced the heart mass index of sleep-deprived mice, increased the sleep-related neurotransmitters 5-HT and DA, decreased corticosterone and norepinephrine, and increased alpha diversity and community similarity. It reduced the abundance of harmful bacteria such as , increased the abundance of beneficial bacteria such as and , and promoted the production of short-chain fatty acids (SCFAs). BC99 also inhibits LPS translocation and the elevation of peripheral inflammatory factors by maintaining the integrity of the intestinal barrier and inhibiting the expression of the signaling pathway in the jejunum, thereby inhibiting the inflammasome in the brain of mice and reducing inflammatory factors in the brain, providing a favorable environment for the recovery of cognitive function. The present study confirmed that BC99 ameliorated cognitive impairment in chronic sleep-deprived mice by improving gut microbiota, especially by promoting SCFAs production and inhibiting the signaling pathway in the jejunum and brain. These findings may help guide the treatment of insomnia or other sleep disorders through dietary strategies.

摘要

BC99是一种革兰氏阳性、产芽孢、产乳酸的细菌,以其适应力和促进健康的特性而闻名。BC99能在恶劣环境中存活,包括高温和胃酸环境,从而能有效抵达肠道。慢性睡眠剥夺(SD)的后果包括记忆缺陷和胃肠功能障碍。在本研究中,使用睡眠剥夺仪器建立了慢性睡眠剥夺认知障碍模型,并对小鼠灌胃给予BC99 4周,以探究BC99改善睡眠剥夺小鼠认知障碍的机制。BC99改善了慢性睡眠剥夺诱导的新物体识别试验中的认知异常,并在莫里斯水迷宫试验中表现出与空间记忆相关的行为。BC99降低了睡眠剥夺小鼠的心脏质量指数,增加了与睡眠相关的神经递质5-羟色胺和多巴胺,降低了皮质酮和去甲肾上腺素,并增加了α多样性和群落相似性。它降低了诸如等有害细菌的丰度,增加了诸如和等有益细菌的丰度,并促进了短链脂肪酸(SCFAs)的产生。BC99还通过维持肠道屏障的完整性并抑制空肠中信号通路的表达来抑制脂多糖易位和外周炎症因子的升高,从而抑制小鼠脑中的炎性小体并减少脑中的炎症因子,为认知功能的恢复提供有利环境。本研究证实,BC99通过改善肠道微生物群,特别是通过促进SCFAs的产生以及抑制空肠和脑中的信号通路,改善了慢性睡眠剥夺小鼠的认知障碍。这些发现可能有助于通过饮食策略指导失眠或其他睡眠障碍的治疗。

https://cdn.ncbi.nlm.nih.gov/pmc/blobs/6b0a/11941109/3106542a7bda/foods-14-00989-g011.jpg
https://cdn.ncbi.nlm.nih.gov/pmc/blobs/6b0a/11941109/2aa5730bde98/foods-14-00989-g001.jpg
https://cdn.ncbi.nlm.nih.gov/pmc/blobs/6b0a/11941109/0189a5f21693/foods-14-00989-g002.jpg
https://cdn.ncbi.nlm.nih.gov/pmc/blobs/6b0a/11941109/49c05684190b/foods-14-00989-g003.jpg
https://cdn.ncbi.nlm.nih.gov/pmc/blobs/6b0a/11941109/73e790ccea78/foods-14-00989-g004.jpg
https://cdn.ncbi.nlm.nih.gov/pmc/blobs/6b0a/11941109/64ba9d610b55/foods-14-00989-g005.jpg
https://cdn.ncbi.nlm.nih.gov/pmc/blobs/6b0a/11941109/e883f22e4b69/foods-14-00989-g006.jpg
https://cdn.ncbi.nlm.nih.gov/pmc/blobs/6b0a/11941109/69ffbde5df37/foods-14-00989-g007.jpg
https://cdn.ncbi.nlm.nih.gov/pmc/blobs/6b0a/11941109/5521b80354dd/foods-14-00989-g008.jpg
https://cdn.ncbi.nlm.nih.gov/pmc/blobs/6b0a/11941109/61a3a3994d91/foods-14-00989-g009.jpg
https://cdn.ncbi.nlm.nih.gov/pmc/blobs/6b0a/11941109/1610809fd30e/foods-14-00989-g010.jpg
https://cdn.ncbi.nlm.nih.gov/pmc/blobs/6b0a/11941109/3106542a7bda/foods-14-00989-g011.jpg
https://cdn.ncbi.nlm.nih.gov/pmc/blobs/6b0a/11941109/2aa5730bde98/foods-14-00989-g001.jpg
https://cdn.ncbi.nlm.nih.gov/pmc/blobs/6b0a/11941109/0189a5f21693/foods-14-00989-g002.jpg
https://cdn.ncbi.nlm.nih.gov/pmc/blobs/6b0a/11941109/49c05684190b/foods-14-00989-g003.jpg
https://cdn.ncbi.nlm.nih.gov/pmc/blobs/6b0a/11941109/73e790ccea78/foods-14-00989-g004.jpg
https://cdn.ncbi.nlm.nih.gov/pmc/blobs/6b0a/11941109/64ba9d610b55/foods-14-00989-g005.jpg
https://cdn.ncbi.nlm.nih.gov/pmc/blobs/6b0a/11941109/e883f22e4b69/foods-14-00989-g006.jpg
https://cdn.ncbi.nlm.nih.gov/pmc/blobs/6b0a/11941109/69ffbde5df37/foods-14-00989-g007.jpg
https://cdn.ncbi.nlm.nih.gov/pmc/blobs/6b0a/11941109/5521b80354dd/foods-14-00989-g008.jpg
https://cdn.ncbi.nlm.nih.gov/pmc/blobs/6b0a/11941109/61a3a3994d91/foods-14-00989-g009.jpg
https://cdn.ncbi.nlm.nih.gov/pmc/blobs/6b0a/11941109/1610809fd30e/foods-14-00989-g010.jpg
https://cdn.ncbi.nlm.nih.gov/pmc/blobs/6b0a/11941109/3106542a7bda/foods-14-00989-g011.jpg

相似文献

1
BC99 Improve Cognitive Impairment Induced by Chronic Sleep Deprivation via Inhibiting the Brain and Intestine's Inflammasome.BC99通过抑制脑和肠道炎性小体改善慢性睡眠剥夺诱导的认知障碍。
Foods. 2025 Mar 14;14(6):989. doi: 10.3390/foods14060989.
2
BC99 Enhances Intestinal Barrier Function by Modulating Butyrate Formation to Alleviate Acute Alcohol Intoxication in Rats.BC99通过调节丁酸盐生成增强肠道屏障功能以减轻大鼠急性酒精中毒
Nutrients. 2024 Nov 29;16(23):4142. doi: 10.3390/nu16234142.
3
Weizmannia coagulans BC99 affects valeric acid production via regulating gut microbiota to ameliorate inflammation and oxidative stress responses in Helicobacter pylori mice.凝结魏斯氏菌BC99通过调节肠道微生物群来影响戊酸的产生,以改善幽门螺杆菌感染小鼠的炎症和氧化应激反应。
J Food Sci. 2024 Dec;89(12):9985-10002. doi: 10.1111/1750-3841.17514. Epub 2024 Nov 18.
4
The Improvement Effects of BC99 on Liver Function and Gut Microbiota of Long-Term Alcohol Drinkers: A Randomized Double-Blind Clinical Trial.BC99对长期饮酒者肝功能和肠道微生物群的改善作用:一项随机双盲临床试验
Nutrients. 2025 Jan 17;17(2):320. doi: 10.3390/nu17020320.
5
A randomized, double-blind, placebo-controlled clinical study to evaluate the efficacy and safety of BC99 in the treatment of chronic constipation in adults.一项随机、双盲、安慰剂对照的临床研究,以评估BC99治疗成人慢性便秘的疗效和安全性。
Front Nutr. 2024 Jul 25;11:1395083. doi: 10.3389/fnut.2024.1395083. eCollection 2024.
6
BC99 Relieves Constipation Symptoms by Regulating Inflammatory, Neurotransmitter, and Lipid Metabolic Pathways: A Randomized, Double-Blind, Placebo-Controlled Trial.BC99通过调节炎症、神经递质和脂质代谢途径缓解便秘症状:一项随机、双盲、安慰剂对照试验
Foods. 2025 Feb 15;14(4):654. doi: 10.3390/foods14040654.
7
Bacillus Coagulans BC99 Protects Ionizing Radiation-Induced Intestinal Injury and Modulates Gut Microbiota and Metabolites in Mice.凝结芽孢杆菌BC99对小鼠电离辐射诱导的肠道损伤具有保护作用,并调节肠道微生物群和代谢产物。
Mol Nutr Food Res. 2025 Jun;69(11):e70057. doi: 10.1002/mnfr.70057. Epub 2025 Apr 17.
8
BC99: A Novel Adjunct to Protein Supplementation for Enhancing Exercise Endurance and Reducing Fatigue.BC99:一种用于增强运动耐力和减轻疲劳的新型蛋白质补充辅助剂。
Foods. 2025 Feb 26;14(5):801. doi: 10.3390/foods14050801.
9
BC99 alleviates hyperuricemia and oxidative stress via DAF-16/SKN-1 activation in .BC99通过激活DAF-16/SKN-1减轻高尿酸血症和氧化应激。
Front Microbiol. 2024 Dec 11;15:1498540. doi: 10.3389/fmicb.2024.1498540. eCollection 2024.
10
Intestinal dysbiosis mediates cognitive impairment via the intestine and brain NLRP3 inflammasome activation in chronic sleep deprivation.肠道菌群失调通过肠道和大脑 NLRP3 炎性小体激活介导慢性睡眠剥夺引起的认知障碍。
Brain Behav Immun. 2023 Feb;108:98-117. doi: 10.1016/j.bbi.2022.11.013. Epub 2022 Nov 24.

引用本文的文献

1
Impact of probiotics on sleep quality and mood states in patients with insomnia: a systematic review and meta-analysis.益生菌对失眠患者睡眠质量和情绪状态的影响:一项系统评价和荟萃分析。
Front Microbiol. 2025 Jul 16;16:1596990. doi: 10.3389/fmicb.2025.1596990. eCollection 2025.

本文引用的文献

1
KABP051: Stability in Fruit Juices and Production of Bioactive Compounds During Their Fermentation.KABP051:果汁中的稳定性及其发酵过程中生物活性化合物的产生
Foods. 2024 Nov 28;13(23):3851. doi: 10.3390/foods13233851.
2
The administration of rhBmal1 reduces sleep deprivation-induced anxiety and cognitive impairment in mice.rhBmal1 的给药可减少睡眠剥夺诱导的小鼠焦虑和认知障碍。
World J Biol Psychiatry. 2024 Jan-Feb;25(1):43-53. doi: 10.1080/15622975.2023.2252499. Epub 2023 Aug 28.
3
Ketogenic diet alleviates cognitive dysfunction and neuroinflammation in APP/PS1 mice via the Nrf2/HO-1 and NF-κB signaling pathways.
生酮饮食通过Nrf2/HO-1和NF-κB信号通路减轻APP/PS1小鼠的认知功能障碍和神经炎症。
Neural Regen Res. 2023 Dec;18(12):2767-2772. doi: 10.4103/1673-5374.373715.
4
Microbiota from young mice counteracts selective age-associated behavioral deficits.幼龄鼠的微生物组可逆转与年龄相关的特定行为缺陷。
Nat Aging. 2021 Aug;1(8):666-676. doi: 10.1038/s43587-021-00093-9. Epub 2021 Aug 9.
5
Protective Effects of JA845 against D-Galactose/AlCl-Induced Cognitive Decline, Oxidative Stress and Neuroinflammation.JA845 对 D-半乳糖/AlCl 诱导的认知衰退、氧化应激和神经炎症的保护作用。
J Microbiol Biotechnol. 2022 Feb 28;32(2):212-219. doi: 10.4014/jmb.2111.11031.
6
The neuroendocrinology of stress: Glucocorticoid signaling mechanisms.应激的神经内分泌学:糖皮质激素信号传导机制。
Psychoneuroendocrinology. 2022 Mar;137:105641. doi: 10.1016/j.psyneuen.2021.105641. Epub 2021 Dec 20.
7
Melatonin ameliorates cognitive deficits through improving mitophagy in a mouse model of Alzheimer's disease.褪黑素通过改善阿尔茨海默病小鼠模型中的线粒体自噬来改善认知缺陷。
J Pineal Res. 2021 Dec;71(4):e12774. doi: 10.1111/jpi.12774. Epub 2021 Oct 15.
8
Gut microbiota modulates the inflammatory response and cognitive impairment induced by sleep deprivation.肠道微生物群调节睡眠剥夺引起的炎症反应和认知障碍。
Mol Psychiatry. 2021 Nov;26(11):6277-6292. doi: 10.1038/s41380-021-01113-1. Epub 2021 May 7.
9
The NLRP3 inflammasome triggers sterile neuroinflammation and Alzheimer's disease.NLRP3 炎性小体引发无菌性神经炎症和阿尔茨海默病。
Curr Opin Immunol. 2021 Feb;68:116-124. doi: 10.1016/j.coi.2020.10.011. Epub 2020 Nov 9.
10
Tight Junction Structure and Function Revisited.重新审视紧密连接的结构和功能。
Trends Cell Biol. 2020 Oct;30(10):805-817. doi: 10.1016/j.tcb.2020.08.004. Epub 2020 Sep 2.