Suppr超能文献

项圈和背带对短头型和长头型犬眼压及呼吸频率的影响。

Effect of a Collar and Harness on Intraocular Pressure and Respiration Rate of Brachycephalic and Dolichocephalic Dogs.

作者信息

Bailey Megan E, Packer Melissa J, Wills Alison P

机构信息

Department of Animal and Agriculture, Hartpury University, Gloucestershire, UK.

Farm Office, Hopsford Hall Farm, Shilton, Coventry, UK.

出版信息

Vet Med Sci. 2025 May;11(3):e70384. doi: 10.1002/vms3.70384.

Abstract

BACKGROUND

Dogs are a popular pet in many countries, and for them to gain appropriate exercise, many owners opt to walk them on a leash. Despite health and welfare concerns, brachycephalic breeds remain common as pets, with limited research existing that investigates the best restraint type for these animals.

OBJECTIVES

This study aimed to test the effect of a collar and harness during stationary and exercise conditions on the intra-ocular pressure (IOP) and respiration rate (RR) of brachycephalic and dolichocephalic dogs.

METHODS

A total of 24 healthy dogs, both brachycephalic and dolichocephalic, were recruited for the study and underwent stationary and exercise conditions in two restraint types in a within-between-subjects design. IOP was measured by rebound tonometry, and RR was measured using clinical and visual methods by the same experimenter.

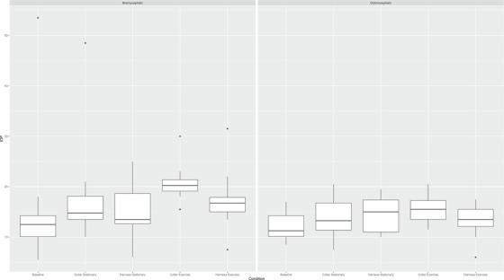
RESULTS

Just wearing a collar in a stationary condition increased IOP in brachycephalic dogs (p < 0.05) but not in dolichocephalic dogs (p > 0.05). Exercising in a collar increased IOP for both groups of dogs (p < 0.05), whereas exercising in a harness did not affect IOP for either group (p > 0.05). RR increased in exercise conditions for both restraint types in brachycephalic dogs (p < 0.05), with no difference between collar and harness (p > 0.05).

CONCLUSIONS

Data suggest that collars may elevate IOP during exercise for all dogs and also during stationary conditions for brachycephalic breeds. Owners need to be conscious of the most appropriate restraint for their dog to avoid deleterious effects on IOP and RR.

摘要

背景

在许多国家,狗是一种受欢迎的宠物,为了让它们得到适当的锻炼,许多主人选择用皮带遛狗。尽管存在健康和福利方面的担忧,但短头犬种作为宠物仍然很常见,而针对这些动物最佳约束方式的研究却很有限。

目的

本研究旨在测试项圈和背带在静止和运动状态下对短头犬和长头犬眼内压(IOP)和呼吸频率(RR)的影响。

方法

总共招募了24只健康的狗,包括短头犬和长头犬,在一项被试内-被试间设计中,让它们在两种约束方式下经历静止和运动状态。眼内压通过回弹眼压计测量,呼吸频率由同一名实验者使用临床和视觉方法测量。

结果

在静止状态下仅佩戴项圈会使短头犬的眼内压升高(p < 0.05),但长头犬不会(p > 0.05)。两组狗在佩戴项圈运动时眼内压均升高(p < 0.05),而佩戴背带运动时两组狗的眼内压均不受影响(p > 0.05)。短头犬在两种约束方式下运动时呼吸频率均增加(p < 0.05),项圈和背带之间无差异(p > 0.05)。

结论

数据表明,项圈可能会在所有狗运动时以及短头犬种静止时升高眼内压。主人需要了解最适合自家狗狗的约束方式,以避免对眼内压和呼吸频率产生有害影响。

https://cdn.ncbi.nlm.nih.gov/pmc/blobs/b62f/12036695/c81f553ea08b/VMS3-11-e70384-g002.jpg

文献检索

告别复杂PubMed语法,用中文像聊天一样搜索,搜遍4000万医学文献。AI智能推荐,让科研检索更轻松。

立即免费搜索

文件翻译

保留排版,准确专业,支持PDF/Word/PPT等文件格式,支持 12+语言互译。

免费翻译文档

深度研究

AI帮你快速写综述,25分钟生成高质量综述,智能提取关键信息,辅助科研写作。

立即免费体验