Suppr超能文献

饮酒、吸烟和智能手机过度依赖对韩国青少年药物成瘾的影响。

Effect of drinking, smoking, and smartphone overdependence on drug addiction among Korean adolescents.

作者信息

Jeong Jaehee, Lee Wanhyung, Lee Seunghyun

机构信息

College of Nursing, Seoul National University, Seoul, Republic of Korea.

Department of Preventive Medicine, College of Medicine, Chung-Ang University, Seoul, Republic of Korea.

出版信息

Front Public Health. 2025 Apr 22;13:1524375. doi: 10.3389/fpubh.2025.1524375. eCollection 2025.

Abstract

INTRODUCTION

Adolescent brain development increases vulnerability to drug addiction due to diminished impulse control and the presence of mental health disorders. Alcohol consumption, smoking, and smartphone overdependence have been individually associated with higher drug use, but their combined impact on adolescent drug addiction remains underexplored. This study examines the interaction effects of alcohol consumption, smoking, and smartphone overdependence on drug addiction risk among adolescents.

METHODS

Data were obtained from the 16th Korea Youth Risk Behavior Web-based Survey (2020), including 54,948 students from 793 schools. Interaction effects of alcohol consumption, smoking, and smartphone overdependence on drug addiction risk were analyzed, along with a dose-response relationship analysis.

RESULTS

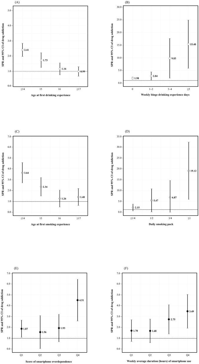
Alcohol consumption, smoking, and smartphone overdependence were significantly associated with increased drug addiction risk. Earlier initiation of drinking and smoking was linked to a higher risk of drug addiction. A significant interaction effect between alcohol consumption and smartphone overdependence on drug addiction was observed.

CONCLUSIONS

Alcohol consumption, smoking, and smartphone overdependence significantly elevate the risk of drug addiction among adolescents, with interaction effects exacerbating this vulnerability. Early initiation of drinking and smoking is particularly associated with a heightened addiction risk. A comprehensive understanding of these interaction effects and dose-response relationships is imperative for the formulation of evidence-based, targeted prevention strategies to mitigate adolescent substance use and addiction.

摘要

引言

由于冲动控制能力下降和心理健康障碍的存在,青少年大脑发育增加了对药物成瘾的易感性。饮酒、吸烟和智能手机过度依赖各自都与更高的药物使用相关,但它们对青少年药物成瘾的综合影响仍未得到充分研究。本研究考察了饮酒、吸烟和智能手机过度依赖对青少年药物成瘾风险的交互作用。

方法

数据来自第16次韩国青少年风险行为网络调查(2020年),包括来自793所学校的54948名学生。分析了饮酒、吸烟和智能手机过度依赖对药物成瘾风险的交互作用,以及剂量反应关系分析。

结果

饮酒、吸烟和智能手机过度依赖与药物成瘾风险增加显著相关。更早开始饮酒和吸烟与更高的药物成瘾风险相关。观察到饮酒和智能手机过度依赖对药物成瘾有显著的交互作用。

结论

饮酒、吸烟和智能手机过度依赖显著提高了青少年药物成瘾的风险,交互作用加剧了这种易感性。更早开始饮酒和吸烟尤其与更高的成瘾风险相关。全面了解这些交互作用和剂量反应关系对于制定基于证据的、有针对性的预防策略以减轻青少年物质使用和成瘾至关重要。

https://cdn.ncbi.nlm.nih.gov/pmc/blobs/bdd8/12054251/67b3416bff4d/fpubh-13-1524375-g0001.jpg

文献AI研究员

20分钟写一篇综述,助力文献阅读效率提升50倍。

立即体验

用中文搜PubMed

大模型驱动的PubMed中文搜索引擎

马上搜索

文档翻译

学术文献翻译模型,支持多种主流文档格式。

立即体验