Bertram Lisa, Kopisch-Obuch Friedrich, Frisch Matthias
Institute of Agronomy and Plant Breeding II, Justus Liebig University, Giessen, Germany.
KWS SAAT SE & Co. KGaA, Einbeck, Germany.
Theor Appl Genet. 2025 Jun 21;138(7):157. doi: 10.1007/s00122-025-04947-3.
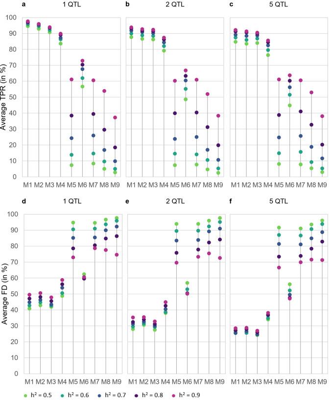
Wild beet populations can be used for the detection of minor genes underlying quantitative traits Wild beet populations as valuable source for new genetic variation have so far not been used to detect minor genes underlying quantitative traits, such as drought tolerance or yield. These traits cannot be assessed in wild beets per se but require the development of a beet for phenotypic evaluation. Hence, crossing to elite genome is necessary. Our objective was to determine how QTL detection is affected by (1) the properties of the wild beet population, (2) the quantitative trait architecture, and (3) the structure of the mapping populations. Based on genotypic data of three wild beet populations, nine crossing designs to construct mapping populations were simulated and evaluated for their power to detect minor QTL and their false detection rate. Mapping populations containing 50% wild beet genome have the highest power in this study and can detect even QTL with allele frequencies of < 1% with reasonable power. However, to allow for reasonable phenotyping within field trials at least 75% elite genome in the mapping population is needed. We conclude that crossing designs based on elite x wild beet F1s are most suitable for genome-wide association mapping of complex traits in wild beet populations.
野生甜菜群体可用于检测数量性状的微效基因 迄今为止,作为新遗传变异宝贵来源的野生甜菜群体尚未用于检测诸如耐旱性或产量等数量性状的微效基因。这些性状本身无法在野生甜菜中评估,而是需要培育出用于表型评估的甜菜。因此,与优良基因组杂交是必要的。我们的目标是确定数量性状基因座(QTL)检测如何受到以下因素的影响:(1)野生甜菜群体的特性;(2)数量性状结构;(3)作图群体的结构。基于三个野生甜菜群体的基因型数据,模拟并评估了构建作图群体的九种杂交设计,以检测其检测微效QTL的能力及其错误检测率。在本研究中,含有50%野生甜菜基因组的作图群体具有最高的检测能力,甚至能够以合理的检测能力检测到等位基因频率小于1%的QTL。然而,为了在田间试验中进行合理的表型分析,作图群体中至少需要75%的优良基因组。我们得出结论,基于优良甜菜与野生甜菜F1代的杂交设计最适合用于野生甜菜群体复杂性状的全基因组关联作图。