• 文献检索
  • 文档翻译
  • 深度研究
  • 学术资讯
  • Suppr Zotero 插件Zotero 插件
  • 邀请有礼
  • 套餐&价格
  • 历史记录
应用&插件
Suppr Zotero 插件Zotero 插件浏览器插件Mac 客户端Windows 客户端微信小程序
定价
高级版会员购买积分包购买API积分包
服务
文献检索文档翻译深度研究API 文档MCP 服务
关于我们
关于 Suppr公司介绍联系我们用户协议隐私条款
关注我们

Suppr 超能文献

核心技术专利:CN118964589B侵权必究
粤ICP备2023148730 号-1Suppr @ 2026

文献检索

告别复杂PubMed语法,用中文像聊天一样搜索,搜遍4000万医学文献。AI智能推荐,让科研检索更轻松。

立即免费搜索

文件翻译

保留排版,准确专业,支持PDF/Word/PPT等文件格式,支持 12+语言互译。

免费翻译文档

深度研究

AI帮你快速写综述,25分钟生成高质量综述,智能提取关键信息,辅助科研写作。

立即免费体验

荷兰普通人群中性别认同和性别角色在性别与年龄方面的多样性映射:一项大规模队列研究。

Mapping diversity in gender identity and gender roles across sex and age in the Dutch general population: a large-scale cohort study.

作者信息

Burke Sarah M, Kroeze Daniëlle B A, Kiewiet S Lucette, Ballering Aranka V

机构信息

Department of Psychiatry, University of Groningen, University Medical Centre Groningen, P.O. Box 30.001, 9700 RB, Groningen, the Netherlands.

Department of Plastic Surgery, University of Groningen, University Medical Centre Groningen, P.O. Box 30.001, 9700 RB, Groningen, the Netherlands.

出版信息

EClinicalMedicine. 2025 Jul 28;86:103359. doi: 10.1016/j.eclinm.2025.103359. eCollection 2025 Aug.

DOI:10.1016/j.eclinm.2025.103359
PMID:40895514
原文链接:https://pmc.ncbi.nlm.nih.gov/articles/PMC12399208/
Abstract

BACKGROUND

Knowledge of diversity in gender identity and gender roles in the general population is limited. This study aimed to report the prevalence estimates of gender identity and gender roles among the adult general population, stratified by age and sex.

METHODS

In the third general assessment of the prospective Dutch Lifelines Cohort Study, conducted between 2019 and 2023, sex and current gender identity were assessed using a self-reported categorical item, in which participants aged 18 years and older could indicate their sex assigned at birth (male or female) and current gender identity (man or woman), or select the option with a free-text field. Two separate dimensional measures assessed adherence to feminine and masculine gender roles. Using a cross-sectional study design, we describe the distribution of gender identities and adherence to gender roles, stratified by age and sex as registered by the municipality. Differences herein are assessed via independent t-tests and ANOVA.

FINDINGS

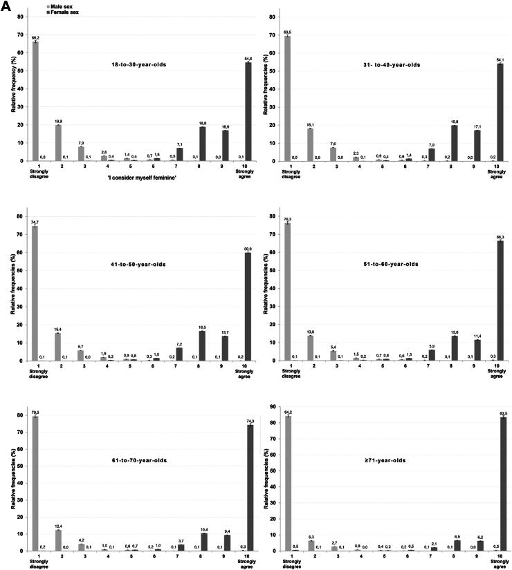
A total of 63,190 participants (mean age = 55.4 years [SD = 12.6]) were included in the study. Most participants identified as cisgender (36,835 [58.6%; 95% CI = 58.2-58.9] cisgender women; 25,893 [41.2%; 95% CI = 40.8-41.6] cisgender men). 66 (0.11%; 95% CI = 0.08%-0.13%) participants identified as non-cisgender. Among cisgender participants registered as males, masculine gender role scores increased across age groups, with younger individuals (18-30 years) scoring lower (M = 9.3, SD = 1.2) than older individuals (71-97 years; M = 9.7, SD = 1.0; = 35.5; < 0.0001; η = 0.008 [95% CI = 0.006-0.010]). A similar pattern was observed for adherence to feminine gender roles among cisgender participants registered as females, where younger individuals (M = 9.1, SD = 1.2) scored lower than older individuals (M = 9.7, SD = 1.0; = 137.2; < 0.0001, η = 0.018 [95% CI = 0.016-0.021]). Cisgender participants registered as male reported stronger adherence to masculine roles (M = 9.6, SD = 1.0), than their female counterparts to feminine roles (M = 9.3, SD = 1.2; t27.7; < 0.0001, Cohen's = 0.218 [95% CI = 0.202-0.234]).

INTERPRETATION

Although effect sizes are small, younger and female individuals indicate greater diversity in gender roles than older and male individuals, respectively. This shows that diversity in gender role adherence is common. A limitation of this study is the relatively older sample, which limits representation of younger individuals and may affect generalizability. These findings have implications for clinical practice and policy, as recognizing gender role diversity could help healthcare providers tailor interventions and assessments. Given the small but meaningful effect sizes, continued research on gender roles and their health impact across age groups is warranted to inform gender-sensitive policies.

FUNDING

The Dutch Ministry of Health, Welfare and Sport, the Dutch Ministry of Economic Affairs, the University Medical Center Groningen (UMCG), Groningen University, the Provinces in the North of the Netherlands (Drenthe, Friesland, Groningen) and ZonMw (The Netherlands Organization for Health Research and Development).

摘要

背景

一般人群中性别认同和性别角色的多样性知识有限。本研究旨在报告成年普通人群中按年龄和性别分层的性别认同和性别角色的患病率估计。

方法

在2019年至2023年进行的荷兰生命线队列前瞻性研究的第三次综合评估中,使用自我报告的分类项目评估性别和当前性别认同,18岁及以上的参与者可以表明其出生时被指定的性别(男性或女性)和当前性别认同(男性或女性),或选择自由文本字段选项。两个独立的维度测量评估对女性和男性性别角色的遵循情况。采用横断面研究设计,我们描述了按市政当局登记的年龄和性别分层的性别认同分布以及对性别角色的遵循情况。通过独立t检验和方差分析评估其中的差异。

结果

共有63190名参与者(平均年龄 = 55.4岁[标准差 = 12.6])纳入研究。大多数参与者被认定为顺性别者(36835名[58.6%;95%置信区间 = 58.2 - 58.9]顺性别女性;25893名[41.2%;95%置信区间 = 40.8 - 41.6]顺性别男性)。66名(0.11%;95%置信区间 = 0.08% - 0.13%)参与者被认定为非顺性别者。在登记为男性的顺性别参与者中,男性性别角色得分随年龄组增加,较年轻个体(18 - 30岁)得分较低(M = 9.3,标准差 = 1.2),低于较年长个体(71 - 97岁;M = 9.7,标准差 = 1.0;F = 35.5;p < 0.0001;η = 0.008 [95%置信区间 = 0.006 - 0.010])。在登记为女性的顺性别参与者中,对女性性别角色的遵循情况也观察到类似模式,较年轻个体(M = 9.1,标准差 = 1.2)得分低于较年长个体(M = 9.7,标准差 = 1.0;F = 137.2;p < 0.0001,η = 0.018 [95%置信区间 = 0.016 - 0.021])。登记为男性的顺性别参与者报告对男性角色的遵循更强(M = 9.6,标准差 = 1.0),高于登记为女性的顺性别参与者对女性角色的遵循(M = 9.3,标准差 = 1.2;t = 27.7;p < 0.0001,科恩d = 0.218 [95%置信区间 = 0.202 - 0.234])。

解读

尽管效应量较小,但较年轻个体和女性个体分别表明在性别角色上比年长个体和男性个体具有更大的多样性。这表明性别角色遵循的多样性很常见。本研究的一个局限性是样本相对较年长,这限制了年轻个体的代表性,可能影响普遍性。这些发现对临床实践和政策有影响,因为认识到性别角色多样性有助于医疗保健提供者调整干预措施和评估。鉴于效应量虽小但有意义,有必要继续研究不同年龄组的性别角色及其对健康的影响,以为性别敏感政策提供信息。

资金来源

荷兰卫生、福利和体育部、荷兰经济事务部、格罗宁根大学医学中心(UMCG)、格罗宁根大学、荷兰北部省份(德伦特省、弗里斯兰省、格罗宁根省)和荷兰卫生研究与发展组织(ZonMw)。

https://cdn.ncbi.nlm.nih.gov/pmc/blobs/65bf/12399208/8f15775654de/gr2a.jpg
https://cdn.ncbi.nlm.nih.gov/pmc/blobs/65bf/12399208/5158cd90ca4f/gr1.jpg
https://cdn.ncbi.nlm.nih.gov/pmc/blobs/65bf/12399208/8f15775654de/gr2a.jpg
https://cdn.ncbi.nlm.nih.gov/pmc/blobs/65bf/12399208/5158cd90ca4f/gr1.jpg
https://cdn.ncbi.nlm.nih.gov/pmc/blobs/65bf/12399208/8f15775654de/gr2a.jpg

相似文献

1
Mapping diversity in gender identity and gender roles across sex and age in the Dutch general population: a large-scale cohort study.荷兰普通人群中性别认同和性别角色在性别与年龄方面的多样性映射:一项大规模队列研究。
EClinicalMedicine. 2025 Jul 28;86:103359. doi: 10.1016/j.eclinm.2025.103359. eCollection 2025 Aug.
2
Sexual Harassment and Prevention Training性骚扰与预防培训
3
Prescription of Controlled Substances: Benefits and Risks管制药品的处方:益处与风险
4
Behavioral interventions to reduce risk for sexual transmission of HIV among men who have sex with men.降低男男性行为者中艾滋病毒性传播风险的行为干预措施。
Cochrane Database Syst Rev. 2008 Jul 16(3):CD001230. doi: 10.1002/14651858.CD001230.pub2.
5
Stability and Change in Gender Identity and Sexual Orientation Across Childhood and Adolescence.童年和青少年时期性别认同与性取向的稳定性和变化
Monogr Soc Res Child Dev. 2025 Aug;90(1-3):7-172. doi: 10.1111/mono.12479.
6
Methods of family building used by sexual and gender minority adults in the United States.美国性少数和性别少数成年人采用的组建家庭的方法。
Hum Reprod. 2025 May 23. doi: 10.1093/humrep/deaf098.
7
A Shadow of Doubt: Is There Implicit Bias Among Orthopaedic Surgery Faculty and Residents Regarding Race and Gender?疑虑重重:骨科手术教员和住院医师在种族和性别方面是否存在隐性偏见?
Clin Orthop Relat Res. 2024 Jul 1;482(7):1145-1155. doi: 10.1097/CORR.0000000000002933. Epub 2024 Jan 12.
8
A New Measure of Quantified Social Health Is Associated With Levels of Discomfort, Capability, and Mental and General Health Among Patients Seeking Musculoskeletal Specialty Care.一种新的量化社会健康指标与寻求肌肉骨骼专科护理的患者的不适程度、能力以及心理和总体健康水平相关。
Clin Orthop Relat Res. 2025 Apr 1;483(4):647-663. doi: 10.1097/CORR.0000000000003394. Epub 2025 Feb 5.
9
Sex and gender as predictors for allograft and patient-relevant outcomes after kidney transplantation.性别作为肾移植后同种异体移植及患者相关预后的预测因素。
Cochrane Database Syst Rev. 2024 Dec 19;12(12):CD014966. doi: 10.1002/14651858.CD014966.pub2.
10
Gender differences in the context of interventions for improving health literacy in migrants: a qualitative evidence synthesis.移民健康素养提升干预措施背景下的性别差异:一项定性证据综合分析
Cochrane Database Syst Rev. 2024 Dec 12;12(12):CD013302. doi: 10.1002/14651858.CD013302.pub2.

本文引用的文献

1
Measurement opportunities for studying sexual and gender diverse partnerships in population-based surveys.在基于人群的调查中研究性取向和性别多样化伴侣关系的测量机会。
J Marriage Fam. 2024 Oct;86(5):1410-1431. doi: 10.1111/jomf.12957. Epub 2024 Jan 4.
2
Gender scores in epidemiological research: methods, advantages and implications.流行病学研究中的性别评分:方法、优势及影响
Lancet Reg Health Eur. 2024 Jun 14;43:100962. doi: 10.1016/j.lanepe.2024.100962. eCollection 2024 Aug.
3
Development of Gender Non-Contentedness During Adolescence and Early Adulthood.
青春期和成年早期的性别认同发展。
Arch Sex Behav. 2024 May;53(5):1813-1825. doi: 10.1007/s10508-024-02817-5. Epub 2024 Feb 27.
4
Getting serious about sex and gender.认真对待性与性别。
Lancet Rheumatol. 2021 May;3(5):e313. doi: 10.1016/S2665-9913(21)00118-1.
5
Responses to Sexual and Gender Identity Measures in Population-Level Data by Birth Cohort: A Research Note.出生队列人群水平数据中对性和性别认同测量的反应:研究说明。
Demography. 2024 Feb 1;61(1):15-30. doi: 10.1215/00703370-11164985.
6
Variations in gender identity and sexual orientation of university students.大学生的性别认同和性取向差异。
Sex Med. 2023 Nov 11;11(5):qfad057. doi: 10.1093/sexmed/qfad057. eCollection 2023 Oct.
7
Gender roles and gender norms associated with psychological distress in women and men among the Dutch general population.性别角色和性别规范与荷兰普通人群中女性和男性的心理困扰有关。
J Health Psychol. 2024 Jul;29(8):797-810. doi: 10.1177/13591053231207294. Epub 2023 Nov 6.
8
How to Ensure Inclusivity in Large-Scale General Population Cohort Studies? Lessons Learned with Regard to Including and Assessing Sex, Gender, and Sexual Orientation.如何确保大规模一般人群队列研究的包容性?关于纳入和评估性别、性别认同和性取向的经验教训。
Arch Sex Behav. 2023 Jul;52(5):2163-2172. doi: 10.1007/s10508-023-02600-y. Epub 2023 Apr 25.
9
Sex and Gender Differences in Psychosocial Risk Profiles Among Patients with Coronary Heart Disease - the THORESCI-Gender Study.性和性别在冠心病患者心理社会风险特征中的差异——THORESCI-Gender 研究。
Int J Behav Med. 2024 Feb;31(1):130-144. doi: 10.1007/s12529-023-10170-5. Epub 2023 May 11.
10
Discordance in chromosomal and self-reported sex in the UK Biobank: Implications for transgender- and intersex-inclusive data collection.英国生物库中染色体性别和自我报告性别之间的不一致:对包含跨性别和间性数据收集的影响。
Proc Natl Acad Sci U S A. 2023 May 2;120(18):e2218700120. doi: 10.1073/pnas.2218700120. Epub 2023 Apr 24.