Suppr超能文献

使用温度依赖性电导率对肝射频消融探针进行有限元分析。

Finite element analysis of hepatic radiofrequency ablation probes using temperature-dependent electrical conductivity.

作者信息

Chang Isaac

机构信息

Office of Science and Technology, Center for Devices and Radiological Health, U.S. Food and Drug Administration, Rockville, MD, USA.

出版信息

Biomed Eng Online. 2003 May 8;2:12. doi: 10.1186/1475-925x-2-12.

Abstract

BACKGROUND

Few finite element models (FEM) have been developed to describe the electric field, specific absorption rate (SAR), and the temperature distribution surrounding hepatic radiofrequency ablation probes. To date, a coupled finite element model that accounts for the temperature-dependent electrical conductivity changes has not been developed for ablation type devices. While it is widely acknowledged that accounting for temperature dependent phenomena may affect the outcome of these models, the effect has not been assessed.

METHODS

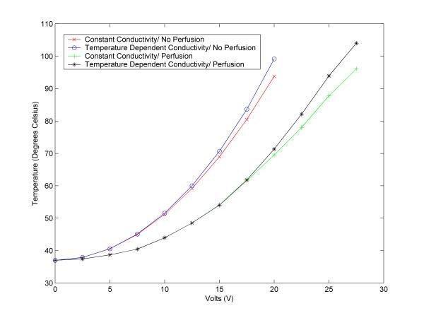
The results of four finite element models are compared: constant electrical conductivity without tissue perfusion, temperature-dependent conductivity without tissue perfusion, constant electrical conductivity with tissue perfusion, and temperature-dependent conductivity with tissue perfusion.

RESULTS

The data demonstrate that significant errors are generated when constant electrical conductivity is assumed in coupled electrical-heat transfer problems that operate at high temperatures. These errors appear to be closely related to the temperature at which the ablation device operates and not to the amount of power applied by the device or the state of tissue perfusion.

CONCLUSION

Accounting for temperature-dependent phenomena may be critically important in the safe operation of radiofrequency ablation device that operate near 100 degrees C.

摘要

背景

很少有有限元模型(FEM)用于描述肝射频消融探针周围的电场、比吸收率(SAR)和温度分布。迄今为止,尚未针对消融型设备开发出考虑温度依赖性电导率变化的耦合有限元模型。虽然人们普遍认为考虑温度相关现象可能会影响这些模型的结果,但尚未评估这种影响。

方法

比较了四个有限元模型的结果:无组织灌注的恒定电导率模型、无组织灌注的温度依赖性电导率模型、有组织灌注的恒定电导率模型以及有组织灌注的温度依赖性电导率模型。

结果

数据表明,在高温下运行的电热耦合传输问题中,假设恒定电导率会产生显著误差。这些误差似乎与消融设备运行的温度密切相关,而与设备施加的功率量或组织灌注状态无关。

结论

对于在接近100摄氏度运行的射频消融设备,考虑温度相关现象可能对其安全运行至关重要。

https://cdn.ncbi.nlm.nih.gov/pmc/blobs/6f5a/156890/5b248f7ac3dd/1475-925X-2-12-1.jpg

文献AI研究员

20分钟写一篇综述,助力文献阅读效率提升50倍。

立即体验

用中文搜PubMed

大模型驱动的PubMed中文搜索引擎

马上搜索

文档翻译

学术文献翻译模型,支持多种主流文档格式。

立即体验