Hua Ronghong, Zhou Yanjun, Wang Yunfeng, Hua Yuzhuo, Tong Guangzhi
National Key Laboratory of Veterinary Biotechnology, Harbin Veterinary Research Institute, Chinese Academy of Agricultural Sciences, Harbin 150001, PR China.
Biochem Biophys Res Commun. 2004 Jul 2;319(3):929-35. doi: 10.1016/j.bbrc.2004.05.066.
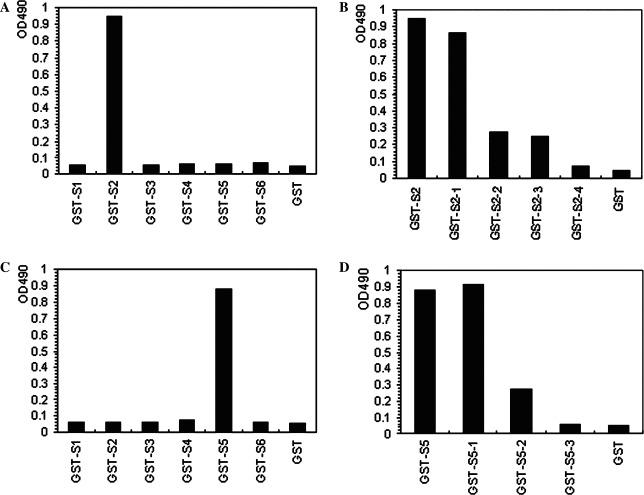
The spike (S) protein of severe acute respiratory syndrome-coronavirus (SARS-CoV) is a major virion structural protein. It plays an important role in interaction with receptor and inducing neutralizing antibodies. In the study, six tentative antigenic epitopes (S1 S2 S3 S4 S5 S6) of the spike protein of SARS-CoV were predicted by bio-informatics analysis, and a multi-epitope chimeric gene of S1-S2-S3-S4-S5-S6 was synthesized and fused to downstream GST gene in pGEX-6p-1. The Western blotting demonstrated that SARS patient convalescent serum could recognize the recombinant fusion protein. A number of monoclonal antibodies were developed against the fusion protein. In further, the six predicted epitope genes were individually fused to GST of pGEX-6p-1 and expressed in Escherichia coli BL21, respectively. Among six fusion peptides, S5 reacted with monoclonal antibody D3C5 and S2 reacted with monoclonal antibody D3D1 against spike protein of SARS-CoV. The epitopes recognized by monoclonal antibodies D3C5 and D3D1 are linear, and correspond to 447-458 and 789-799 amino acids of spike protein of SARS-CoV, respectively. Identification of antigenic epitope of spike protein of SARS-CoV could provide the basis for the development of immunity-based prophylactic, therapeutic, and diagnostic techniques for the control of severe acute respiratory syndrome.
严重急性呼吸综合征冠状病毒(SARS-CoV)的刺突(S)蛋白是一种主要的病毒体结构蛋白。它在与受体相互作用和诱导中和抗体方面发挥着重要作用。在本研究中,通过生物信息学分析预测了SARS-CoV刺突蛋白的六个暂定抗原表位(S1、S2、S3、S4、S5、S6),并合成了S1-S2-S3-S4-S5-S6的多表位嵌合基因,将其融合到pGEX-6p-1中GST基因的下游。蛋白质印迹法表明SARS患者恢复期血清能够识别重组融合蛋白。针对该融合蛋白制备了多种单克隆抗体。进一步地,将六个预测的表位基因分别融合到pGEX-6p-1的GST上,并在大肠杆菌BL21中表达。在六个融合肽中,S5与针对SARS-CoV刺突蛋白的单克隆抗体D3C5反应,S2与单克隆抗体D3D1反应。单克隆抗体D3C5和D3D1识别的表位是线性的,分别对应于SARS-CoV刺突蛋白的第447-458和789-799个氨基酸。鉴定SARS-CoV刺突蛋白的抗原表位可为开发基于免疫的预防、治疗和诊断技术以控制严重急性呼吸综合征提供依据。