Egilmez Hulusi, Gok Vedat, Oztoprak Ibrahim, Atalar Mehmet, Cetin Ali, Arslan Mubeccel, Gultekin Yener, Solak Orhan
Department of Radiology, Cumhuriyet University School of Medicine, Sivas, Turkey.
Korean J Radiol. 2007 Nov-Dec;8(6):512-9. doi: 10.3348/kjr.2007.8.6.512.
We wanted to compare the efficacies of 95% ethanol and 20% hypertonic saline (HS) sclerotherapies that were performed in a single session under CT guidance for the management of simple renal cysts.
A prospective series of 74 consecutive patients (average age: 57.6 +/- 8.1 years) with simple renal cysts were enrolled in this study. They were randomized into two groups and 95% ethanol or 20% HS, respectively, corresponding to 25% of the aspiration volume, was injected. Treatment success was determined six months later with follow-up clinical evaluation and performing ultrasonography.
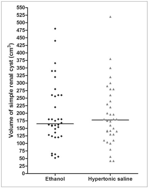
The sclerotherapy was accepted as technically successful without major complications in all except two patients who were excluded because of a communication between the simple renal cyst and the pelvicalyceal collecting system. Thirty-six patients in the ethanol group received sclerotherapy with 95% ethanol and 36 patients in the HS group underwent sclerotherapy with 20% HS. The complete regression ratio of the ethanol group was significantly higher (94% versus 72%, respectively) than that of the HS group. There was one patient with partial regression in each group. The failure ratio of the ethanol group was significantly lower (3% versus 25%, respectively) than that of the HS group.
Ethanol sclerotherapy under CT guidance is a successful and safe procedure and it can be used for the treatment of simple renal cysts. Sclerotherapy with 95% ethanol is more effective than 20% HS sclerotherapy. Sclerotherapy with HS may be an option for patients preferring to undergo a less painful treatment procedure.
我们想要比较在CT引导下单次进行的95%乙醇和20%高渗盐水(HS)硬化疗法治疗单纯性肾囊肿的疗效。
本研究纳入了74例连续的单纯性肾囊肿患者(平均年龄:57.6±8.1岁)。他们被随机分为两组,分别注射95%乙醇或20% HS,注射量相当于抽出液体积的25%。6个月后通过随访临床评估和超声检查确定治疗是否成功。
除2例因单纯性肾囊肿与肾盂肾盏集合系统相通而被排除的患者外,所有患者的硬化疗法在技术上均成功且无严重并发症。乙醇组36例患者接受了95%乙醇硬化治疗,HS组36例患者接受了20% HS硬化治疗。乙醇组的完全消退率显著高于HS组(分别为94%和72%)。每组各有1例患者部分消退。乙醇组的失败率显著低于HS组(分别为3%和25%)。
CT引导下乙醇硬化疗法是一种成功且安全的治疗方法,可用于治疗单纯性肾囊肿。95%乙醇硬化疗法比20% HS硬化疗法更有效。HS硬化疗法可能是那些希望接受疼痛较轻治疗过程的患者的一种选择。