Suppr超能文献

阿尔茨海默病中大脑内在功能连接性的网络分析

Network analysis of intrinsic functional brain connectivity in Alzheimer's disease.

作者信息

Supekar Kaustubh, Menon Vinod, Rubin Daniel, Musen Mark, Greicius Michael D

机构信息

Graduate Program in Biomedical Informatics, Stanford University School of Medicine, Stanford, California, USA.

出版信息

PLoS Comput Biol. 2008 Jun 27;4(6):e1000100. doi: 10.1371/journal.pcbi.1000100.

Abstract

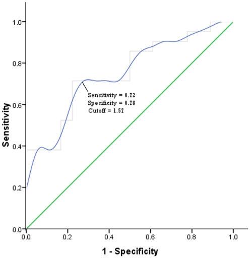
Functional brain networks detected in task-free ("resting-state") functional magnetic resonance imaging (fMRI) have a small-world architecture that reflects a robust functional organization of the brain. Here, we examined whether this functional organization is disrupted in Alzheimer's disease (AD). Task-free fMRI data from 21 AD subjects and 18 age-matched controls were obtained. Wavelet analysis was applied to the fMRI data to compute frequency-dependent correlation matrices. Correlation matrices were thresholded to create 90-node undirected-graphs of functional brain networks. Small-world metrics (characteristic path length and clustering coefficient) were computed using graph analytical methods. In the low frequency interval 0.01 to 0.05 Hz, functional brain networks in controls showed small-world organization of brain activity, characterized by a high clustering coefficient and a low characteristic path length. In contrast, functional brain networks in AD showed loss of small-world properties, characterized by a significantly lower clustering coefficient (p<0.01), indicative of disrupted local connectivity. Clustering coefficients for the left and right hippocampus were significantly lower (p<0.01) in the AD group compared to the control group. Furthermore, the clustering coefficient distinguished AD participants from the controls with a sensitivity of 72% and specificity of 78%. Our study provides new evidence that there is disrupted organization of functional brain networks in AD. Small-world metrics can characterize the functional organization of the brain in AD, and our findings further suggest that these network measures may be useful as an imaging-based biomarker to distinguish AD from healthy aging.

摘要

在静息态功能磁共振成像(fMRI)中检测到的功能性脑网络具有小世界架构,这反映了大脑强大的功能组织。在此,我们研究了这种功能组织在阿尔茨海默病(AD)中是否受到破坏。我们获取了21名AD患者和18名年龄匹配的对照者的静息态fMRI数据。将小波分析应用于fMRI数据以计算频率相关矩阵。对相关矩阵进行阈值处理,以创建90个节点的功能性脑网络无向图。使用图分析方法计算小世界指标(特征路径长度和聚类系数)。在0.01至0.05Hz的低频区间,对照组的功能性脑网络显示出大脑活动的小世界组织,其特征为高聚类系数和低特征路径长度。相比之下,AD患者的功能性脑网络显示出小世界属性的丧失,其特征为聚类系数显著降低(p<0.01),表明局部连接性受到破坏。与对照组相比,AD组左右海马体的聚类系数显著更低(p<0.01)。此外,聚类系数区分AD参与者和对照组的敏感性为72%,特异性为78%。我们的研究提供了新的证据,表明AD患者的功能性脑网络组织受到破坏。小世界指标可以表征AD患者大脑的功能组织,我们的研究结果进一步表明,这些网络测量方法可能作为一种基于成像的生物标志物,用于区分AD与健康衰老。

https://cdn.ncbi.nlm.nih.gov/pmc/blobs/3a40/2435273/4fab65065160/pcbi.1000100.g001.jpg

文献AI研究员

20分钟写一篇综述,助力文献阅读效率提升50倍。

立即体验

用中文搜PubMed

大模型驱动的PubMed中文搜索引擎

马上搜索

文档翻译

学术文献翻译模型,支持多种主流文档格式。

立即体验