• 文献检索
  • 文档翻译
  • 深度研究
  • 学术资讯
  • Suppr Zotero 插件Zotero 插件
  • 邀请有礼
  • 套餐&价格
  • 历史记录
应用&插件
Suppr Zotero 插件Zotero 插件浏览器插件Mac 客户端Windows 客户端微信小程序
定价
高级版会员购买积分包购买API积分包
服务
文献检索文档翻译深度研究API 文档MCP 服务
关于我们
关于 Suppr公司介绍联系我们用户协议隐私条款
关注我们

Suppr 超能文献

核心技术专利:CN118964589B侵权必究
粤ICP备2023148730 号-1Suppr @ 2026

文献检索

告别复杂PubMed语法,用中文像聊天一样搜索,搜遍4000万医学文献。AI智能推荐,让科研检索更轻松。

立即免费搜索

文件翻译

保留排版,准确专业,支持PDF/Word/PPT等文件格式,支持 12+语言互译。

免费翻译文档

深度研究

AI帮你快速写综述,25分钟生成高质量综述,智能提取关键信息,辅助科研写作。

立即免费体验

用于肿瘤特异性磁共振造影增强的靶向载钆树枝状聚合物纳米颗粒。

Targeted gadolinium-loaded dendrimer nanoparticles for tumor-specific magnetic resonance contrast enhancement.

作者信息

Swanson Scott D, Kukowska-Latallo Jolanta F, Patri Anil K, Chen Chunyan, Ge Song, Cao Zhengyi, Kotlyar Alina, East Andrea T, Baker James R

机构信息

Department of Radiology,The University of Michigan Medical School, The University of Michigan, USA.

出版信息

Int J Nanomedicine. 2008;3(2):201-10.

PMID:18686779
原文链接:https://pmc.ncbi.nlm.nih.gov/articles/PMC2527674/
Abstract

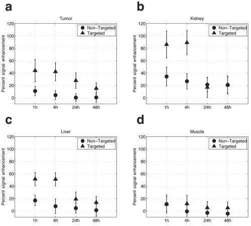
A target-specific MRI contrast agent for tumor cells expressing high affinity folate receptor was synthesized using generation five (G5) ofpolyamidoamine (PAMAM) dendrimer. Surface modified dendrimer was functionalized for targeting with folic acid (FA) and the remaining terminal primary amines of the dendrimer were conjugated with the bifunctional NCS-DOTA chelator that forms stable complexes with gadolinium (Gd III). Dendrimer-DOTA conjugates were then complexed with GdCl3 followed by ICP-OES as well as MRI measurement of their longitudinal relaxivity (T1 s(-1) mM(-1)) of water. In xenograft tumors established in immunodeficient (SCID) mice with KB human epithelial cancer cells expressing folate receptor (FAR), the 3D MRI results showed specific and statistically significant signal enhancement in tumors generated with targeted Gd(III)-DOTA-G5-FA compared with signal generated by non-targeted Gd(III)-DOTA-G5 contrast nanoparticle. The targeted dendrimer contrast nanoparticles infiltrated tumor and were retained in tumor cells up to 48 hours post-injection of targeted contrast nanoparticle. The presence of folic acid on the dendrimer resulted in specific delivery of the nanoparticle to tissues and xenograft tumor cells expressing folate receptor in vivo. We present the specificity of the dendrimer nanoparticles for targeted cancer imaging with the prolonged clearance time compared with the current clinically approved gadodiamide (Omniscan) contrast agent. Potential application of this approach may include determination of the folate receptor status of tumors and monitoring of drug therapy.

摘要

使用第五代聚酰胺 - 胺(PAMAM)树枝状大分子合成了一种针对表达高亲和力叶酸受体的肿瘤细胞的靶向性磁共振成像(MRI)造影剂。对表面修饰的树枝状大分子用叶酸(FA)进行功能化修饰,使其具有靶向性,并且树枝状大分子剩余的末端伯胺与双功能NCS - DOTA螯合剂共轭,该螯合剂能与钆(Gd III)形成稳定的络合物。然后将树枝状大分子 - DOTA共轭物与GdCl3络合,接着进行电感耦合等离子体发射光谱法(ICP - OES)分析以及对其水的纵向弛豫率(T1 s(-1) mM(-1))进行MRI测量。在免疫缺陷(SCID)小鼠中建立的异种移植瘤中,接种了表达叶酸受体(FAR)的KB人上皮癌细胞,三维MRI结果显示,与非靶向性Gd(III) - DOTA - G5造影纳米颗粒产生的信号相比,靶向性Gd(III) - DOTA - G5 - FA产生的肿瘤信号有特异性且具有统计学意义的增强。靶向性树枝状大分子造影纳米颗粒在注射靶向造影纳米颗粒后长达48小时都能渗入肿瘤并保留在肿瘤细胞中。树枝状大分子上叶酸的存在导致纳米颗粒在体内特异性地递送至表达叶酸受体的组织和异种移植肿瘤细胞。我们展示了树枝状大分子纳米颗粒在靶向癌症成像方面的特异性,与目前临床批准的钆双胺(欧乃影)造影剂相比,其清除时间延长。这种方法的潜在应用可能包括确定肿瘤的叶酸受体状态以及监测药物治疗。

https://cdn.ncbi.nlm.nih.gov/pmc/blobs/c0e1/2527674/3545df1ae544/ijn0302-201-04.jpg
https://cdn.ncbi.nlm.nih.gov/pmc/blobs/c0e1/2527674/ea83810f782e/ijn0302-201-05.jpg
https://cdn.ncbi.nlm.nih.gov/pmc/blobs/c0e1/2527674/d778a689027c/ijn0302-201-01.jpg
https://cdn.ncbi.nlm.nih.gov/pmc/blobs/c0e1/2527674/779ec0413a40/ijn0302-201-02.jpg
https://cdn.ncbi.nlm.nih.gov/pmc/blobs/c0e1/2527674/5c54178f736a/ijn0302-201-03.jpg
https://cdn.ncbi.nlm.nih.gov/pmc/blobs/c0e1/2527674/3545df1ae544/ijn0302-201-04.jpg
https://cdn.ncbi.nlm.nih.gov/pmc/blobs/c0e1/2527674/ea83810f782e/ijn0302-201-05.jpg
https://cdn.ncbi.nlm.nih.gov/pmc/blobs/c0e1/2527674/d778a689027c/ijn0302-201-01.jpg
https://cdn.ncbi.nlm.nih.gov/pmc/blobs/c0e1/2527674/779ec0413a40/ijn0302-201-02.jpg
https://cdn.ncbi.nlm.nih.gov/pmc/blobs/c0e1/2527674/5c54178f736a/ijn0302-201-03.jpg
https://cdn.ncbi.nlm.nih.gov/pmc/blobs/c0e1/2527674/3545df1ae544/ijn0302-201-04.jpg

相似文献

1
Targeted gadolinium-loaded dendrimer nanoparticles for tumor-specific magnetic resonance contrast enhancement.用于肿瘤特异性磁共振造影增强的靶向载钆树枝状聚合物纳米颗粒。
Int J Nanomedicine. 2008;3(2):201-10.
2
Targeted CT/MR dual mode imaging of tumors using multifunctional dendrimer-entrapped gold nanoparticles.利用多功能树枝状大分子包裹的金纳米粒子进行肿瘤的靶向 CT/MR 双模式成像。
Biomaterials. 2013 Jul;34(21):5200-9. doi: 10.1016/j.biomaterials.2013.03.009. Epub 2013 Apr 10.
3
Comparison of MRI properties between derivatized DTPA and DOTA gadolinium-dendrimer conjugates.对比衍生 DTPA 和 DOTA 钆树状聚合物配体的 MRI 性能。
Bioorg Med Chem. 2010 Aug 15;18(16):5925-31. doi: 10.1016/j.bmc.2010.06.086. Epub 2010 Jul 8.
4
Gadolinium MRI contrast agents based on triazine dendrimers: relaxivity and in vivo pharmacokinetics.基于三嗪树状大分子的钆磁共振对比剂:弛豫率和体内药代动力学。
Bioconjug Chem. 2012 Nov 21;23(11):2291-9. doi: 10.1021/bc300461r. Epub 2012 Oct 22.
5
Targeting dendrimer-chelates to tumors and tumor cells expressing the high-affinity folate receptor.将树枝状聚合物螯合物靶向至表达高亲和力叶酸受体的肿瘤和肿瘤细胞。
Invest Radiol. 1997 Dec;32(12):748-54. doi: 10.1097/00004424-199712000-00005.
6
A low molecular weight folate receptor targeted contrast agent for magnetic resonance tumor imaging.一种低分子量叶酸受体靶向对比剂,用于磁共振肿瘤成像。
Mol Imaging Biol. 2011 Aug;13(4):653-62. doi: 10.1007/s11307-010-0400-3.
7
Preparation, characterization and in vivo assessment of Gd-albumin and Gd-dendrimer conjugates as intravascular contrast-enhancing agents for MRI.制备、表征及体内评估 Gd-白蛋白和 Gd-树枝状聚合物作为 MRI 血管内对比增强剂。
J Inorg Biochem. 2011 May;105(5):722-7. doi: 10.1016/j.jinorgbio.2011.01.017. Epub 2011 Apr 2.
8
Tc-Labeled acetylated dendrimer poly(amido)-amine generation 5-folic acid-2-(-isothiocyanatobenzyl)-6-methyl-diethylenetriamine pentaacetic acid conjugate锝标记的乙酰化五代树枝状聚酰胺-胺-叶酸-2-(异硫氰酸苄基)-6-甲基-二乙烯三胺五乙酸共轭物
9
Specific targeting of folate-dendrimer MRI contrast agents to the high affinity folate receptor expressed in ovarian tumor xenografts.叶酸-树枝状大分子磁共振成像造影剂对卵巢肿瘤异种移植中表达的高亲和力叶酸受体的特异性靶向作用。
MAGMA. 2001 May;12(2-3):104-13. doi: 10.1007/BF02668091.
10
Tc-Labeled acetylated dendrimer poly(amido)-amine generation 5-PEGylated folic acid-2-(-isothiocyanatobenzyl)-6-methyl-diethylenetriamine pentaacetic acid conjugate锝标记的乙酰化五代树枝状聚酰胺-胺聚乙二醇化叶酸-2-(异硫氰酸苄基)-6-甲基二乙烯三胺五乙酸共轭物

引用本文的文献

1
Potential Applications of Rare Earth Metal Nanoparticles in Biomedicine.稀土金属纳米粒子在生物医学中的潜在应用
Pharmaceuticals (Basel). 2025 Jan 24;18(2):154. doi: 10.3390/ph18020154.
2
Magnetic Nanoparticles and Drug Delivery Systems for Anti-Cancer Applications: A Review.用于抗癌应用的磁性纳米颗粒与药物递送系统:综述
Nanomaterials (Basel). 2025 Feb 13;15(4):285. doi: 10.3390/nano15040285.
3
Synthesis and Characterization of Folic Acid-Conjugated Terbium Complexes as Luminescent Probes for Targeting Folate Receptor-Expressing Cells.

本文引用的文献

1
Folate receptor alpha as a tumor target in epithelial ovarian cancer.叶酸受体α作为上皮性卵巢癌的肿瘤靶点
Gynecol Oncol. 2008 Mar;108(3):619-26. doi: 10.1016/j.ygyno.2007.11.020. Epub 2008 Jan 28.
2
Multifunctional polymeric micelles as cancer-targeted, MRI-ultrasensitive drug delivery systems.多功能聚合物胶束作为癌症靶向、磁共振成像超灵敏药物递送系统。
Nano Lett. 2006 Nov;6(11):2427-30. doi: 10.1021/nl061412u.
3
MR contrast agents, the old and the new.磁共振造影剂,新旧对比。
叶酸偶联铽配合物的合成与表征及其作为靶向叶酸受体表达细胞的荧光探针
J Med Chem. 2024 Aug 22;67(16):14062-14076. doi: 10.1021/acs.jmedchem.4c00919. Epub 2024 Aug 13.
4
Advanced Targeted Drug Delivery of Bioactive Agents Fortified with Graft Chitosan in Management of Cancer: A Review.接枝壳聚糖强化生物活性剂的高级靶向药物递送在癌症治疗中的应用:综述
Curr Med Chem. 2025;32(19):3759-3789. doi: 10.2174/0109298673285334240112104709.
5
Target-Specific Delivery and Bioavailability of Pharmaceuticals via Janus and Dendrimer Particles.通过Janus和树枝状聚合物颗粒实现药物的靶向递送与生物利用度
Pharmaceutics. 2023 May 29;15(6):1614. doi: 10.3390/pharmaceutics15061614.
6
Synthesis and Characterization of Amino-Functional Polyester Dendrimers Based On Bis-MPA with Enhanced Hydrolytic Stability and Inherent Antibacterial Properties.基于 Bis-MPA 的氨基功能化聚酯树状大分子的合成与表征,具有增强的水解稳定性和固有抗菌性能。
Biomacromolecules. 2023 Feb 13;24(2):858-867. doi: 10.1021/acs.biomac.2c01286. Epub 2023 Jan 23.
7
Nanoparticle classification, physicochemical properties, characterization, and applications: a comprehensive review for biologists.纳米颗粒分类、物理化学特性、表征及应用:生物学综合评述。
J Nanobiotechnology. 2022 Jun 7;20(1):262. doi: 10.1186/s12951-022-01477-8.
8
Nanotechnology and its use in imaging and drug delivery (Review).纳米技术及其在成像和药物递送中的应用(综述)。
Biomed Rep. 2021 May;14(5):42. doi: 10.3892/br.2021.1418. Epub 2021 Mar 5.
9
Polyphosphorhydrazone-Based Radical Dendrimers.基于聚磷酰肼的自由基树状大分子。
Molecules. 2021 Feb 25;26(5):1230. doi: 10.3390/molecules26051230.
10
Comparative study on contrast enhancement of Magnevist and Magnevist-loaded nanoparticles in pancreatic cancer PDX model monitored by MRI.磁共振成像监测的胰腺癌PDX模型中钆喷酸葡胺与负载钆喷酸葡胺纳米颗粒对比增强的比较研究
Cancer Nanotechnol. 2020;11. doi: 10.1186/s12645-020-00061-9. Epub 2020 May 14.
Eur J Radiol. 2006 Dec;60(3):314-23. doi: 10.1016/j.ejrad.2006.06.021. Epub 2006 Sep 26.
4
PAMAM dendrimeric conjugates with a Gd-DOTA phosphinate derivative and their adducts with polyaminoacids: the interplay of global motion, internal rotation, and fast water exchange.具有Gd-DOTA次膦酸酯衍生物的PAMAM树枝状共轭物及其与聚氨基酸的加合物:整体运动、内旋转和快速水交换的相互作用
Bioconjug Chem. 2006 Jul-Aug;17(4):975-87. doi: 10.1021/bc060149l.
5
Dendrimer-based nanoprobe for dual modality magnetic resonance and fluorescence imaging.用于双模态磁共振和荧光成像的基于树枝状大分子的纳米探针。
Nano Lett. 2006 Jul;6(7):1459-63. doi: 10.1021/nl060765q.
6
Application of arsenazo III in the preparation and characterization of an albumin-linked, gadolinium-based macromolecular magnetic resonance contrast agent.偶氮胂III在白蛋白连接的钆基大分子磁共振造影剂的制备及表征中的应用。
J Neurosci Methods. 2006 Oct 30;157(2):238-45. doi: 10.1016/j.jneumeth.2006.05.013. Epub 2006 Jun 12.
7
Targeted drug delivery with dendrimers: comparison of the release kinetics of covalently conjugated drug and non-covalent drug inclusion complex.树枝状大分子的靶向药物递送:共价共轭药物与非共价药物包合物释放动力学的比较
Adv Drug Deliv Rev. 2005 Dec 14;57(15):2203-14. doi: 10.1016/j.addr.2005.09.014. Epub 2005 Nov 14.
8
Nano-sized MRI contrast agents with dendrimer cores.具有树枝状聚合物核心的纳米级磁共振成像造影剂。
Adv Drug Deliv Rev. 2005 Dec 14;57(15):2271-86. doi: 10.1016/j.addr.2005.09.016. Epub 2005 Nov 10.
9
Folate receptor-mediated drug targeting: from therapeutics to diagnostics.叶酸受体介导的药物靶向:从治疗到诊断
J Pharm Sci. 2005 Oct;94(10):2135-46. doi: 10.1002/jps.20457.
10
PAMAM dendrimer based macromolecules as improved contrast agents.基于聚酰胺-胺(PAMAM)树枝状大分子的大分子作为改进的造影剂。
Mol Pharm. 2005 Jul-Aug;2(4):302-11. doi: 10.1021/mp050019e.