Suppr超能文献

电子显微镜中电子面积探测器的探测量子效率

Detective quantum efficiency of electron area detectors in electron microscopy.

作者信息

McMullan G, Chen S, Henderson R, Faruqi A R

机构信息

MRC Laboratory of Molecular Biology, Hills Road, Cambridge CB20QH, UK.

出版信息

Ultramicroscopy. 2009 Aug;109(9):1126-43. doi: 10.1016/j.ultramic.2009.04.002. Epub 2009 May 7.

Abstract

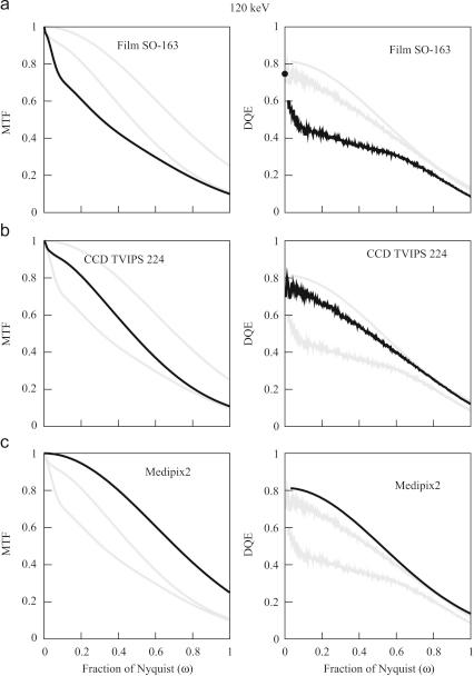
Recent progress in detector design has created the need for a careful side-by-side comparison of the modulation transfer function (MTF) and resolution-dependent detective quantum efficiency (DQE) of existing electron detectors with those of detectors based on new technology. We present MTF and DQE measurements for four types of detector: Kodak SO-163 film, TVIPS 224 charge coupled device (CCD) detector, the Medipix2 hybrid pixel detector, and an experimental direct electron monolithic active pixel sensor (MAPS) detector. Film and CCD performance was measured at 120 and 300 keV, while results are presented for the Medipix2 at 120 keV and for the MAPS detector at 300 keV. In the case of film, the effects of electron backscattering from both the holder and the plastic support have been investigated. We also show that part of the response of the emulsion in film comes from light generated in the plastic support. Computer simulations of film and the MAPS detector have been carried out and show good agreement with experiment. The agreement enables us to conclude that the DQE of a backthinned direct electron MAPS detector is likely to be equal to, or better than, that of film at 300 keV.

摘要

探测器设计方面的最新进展使得有必要对现有电子探测器与基于新技术的探测器的调制传递函数(MTF)和分辨率相关的探测量子效率(DQE)进行仔细的并排比较。我们展示了四种探测器的MTF和DQE测量结果:柯达SO-163胶片、TVIPS 224电荷耦合器件(CCD)探测器、Medipix2混合像素探测器以及一种实验性的直接电子单片有源像素传感器(MAPS)探测器。胶片和CCD的性能在120 keV和300 keV下进行了测量,而Medipix2在120 keV下以及MAPS探测器在300 keV下的测量结果也已给出。对于胶片,研究了来自支架和塑料支撑体的电子背散射效应。我们还表明,胶片中乳剂的部分响应来自塑料支撑体中产生的光。已对胶片和MAPS探测器进行了计算机模拟,模拟结果与实验结果吻合良好。这种吻合使我们能够得出结论,在300 keV时,背减薄直接电子MAPS探测器的DQE可能等于或优于胶片的DQE。

https://cdn.ncbi.nlm.nih.gov/pmc/blobs/55b7/2864625/a25a60d49efa/gr1.jpg

文献AI研究员

20分钟写一篇综述,助力文献阅读效率提升50倍。

立即体验

用中文搜PubMed

大模型驱动的PubMed中文搜索引擎

马上搜索

文档翻译

学术文献翻译模型,支持多种主流文档格式。

立即体验