Suppr超能文献

表征阿波罗直接电子探测器的分辨率和通量。

Characterizing the resolution and throughput of the Apollo direct electron detector.

作者信息

Peng Ruizhi, Fu Xiaofeng, Mendez Joshua H, Randolph Peter S, Bammes Benjamin E, Stagg Scott M

机构信息

Institute of Molecular Biophysics, 91 Chieftain Way, Florida State University, Tallahassee, FL 32306, United States.

Department of Biological Sciences, 319 Stadium Drive, Tallahassee, FL 32306, United States.

出版信息

J Struct Biol X. 2022 Dec 5;7:100080. doi: 10.1016/j.yjsbx.2022.100080. eCollection 2023.

Abstract

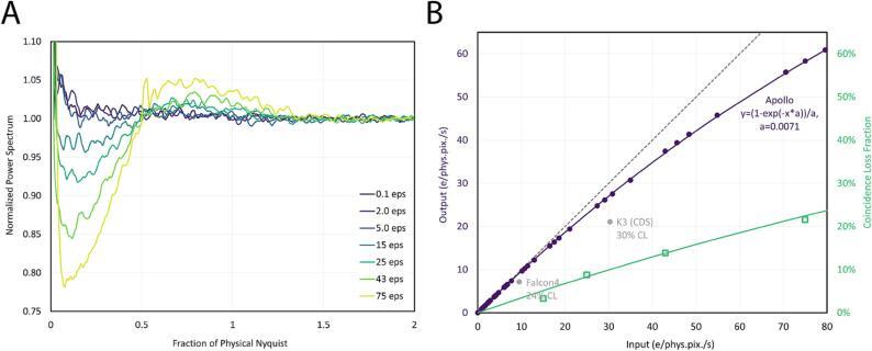
Advances in electron detection have been essential to the success of high-resolution cryo-EM structure determination. A new generation of direct electron detector called the Apollo, has been developed by Direct Electron. The Apollo uses a novel event-based MAPS detector custom designed for ultra-fast electron counting. We have evaluated this new camera, finding that it delivers high detective quantum efficiency (DQE) and low coincidence loss, enabling high-quality electron counting data acquisition at up to nearly 80 input electrons per pixel per second. We further characterized the performance of Apollo for single particle cryo-EM on real biological samples. Using mouse apoferritin, Apollo yielded better than 1.9 Å resolution reconstructions at all three tested dose rates from a half-day data collection session each. With longer collection time and improved specimen preparation, mouse apoferritin was reconstructed to 1.66 Å resolution. Applied to a more challenging small protein aldolase, we obtained a 2.24 Å resolution reconstruction. The high quality of the map indicates that the Apollo has sufficiently high DQE to reconstruct smaller proteins and complexes with high-fidelity. Our results demonstrate that the Apollo camera performs well across a broad range of dose rates and is capable of capturing high quality data that produce high-resolution reconstructions for large and small single particle samples.

摘要

电子检测技术的进步对于高分辨率冷冻电镜结构测定的成功至关重要。Direct Electron公司开发了一种名为Apollo的新一代直接电子探测器。Apollo使用了一种专门为超快速电子计数定制设计的基于事件的新型MAPS探测器。我们对这款新相机进行了评估,发现它具有高探测量子效率(DQE)和低符合损失,能够以每秒每像素近80个输入电子的速度采集高质量的电子计数数据。我们进一步对Apollo在真实生物样品上进行单颗粒冷冻电镜的性能进行了表征。使用小鼠脱铁铁蛋白,在每次为期半天的数据收集过程中,Apollo在所有三个测试剂量率下都获得了优于1.9 Å分辨率的重建结果。随着收集时间的延长和样品制备的改进,小鼠脱铁铁蛋白被重建到1.66 Å分辨率。应用于更具挑战性的小蛋白醛缩酶,我们获得了2.24 Å分辨率的重建结果。图谱的高质量表明Apollo具有足够高的DQE,能够以高保真度重建较小的蛋白质和复合物。我们的结果表明,Apollo相机在广泛的剂量率范围内表现良好,能够捕获高质量的数据,从而为大小单颗粒样品生成高分辨率的重建结果。

https://cdn.ncbi.nlm.nih.gov/pmc/blobs/39ec/9791170/1a81bce7b555/ga1.jpg

文献AI研究员

20分钟写一篇综述,助力文献阅读效率提升50倍。

立即体验

用中文搜PubMed

大模型驱动的PubMed中文搜索引擎

马上搜索

文档翻译

学术文献翻译模型,支持多种主流文档格式。

立即体验