Osaka University of Pharmaceutical Sciences, 4-20-1 Nasahara, Takatsuki, Osaka 569-1094, Japan.
Mar Drugs. 2009 Jul 13;7(3):314-30. doi: 10.3390/md7030314.
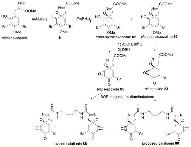
Because of the highly unique structures of marine natural products, there are many examples of structures that were originally proposed based on spectral analyses but later proven incorrect. In many cases, the total syntheses of the originally proposed structures of marine natural products has confirmed their incorrectness and the subsequent total syntheses of the newly proposed structures proved the revised structures. This review will show such cases appearing after 2005 and demonstrate how the true structures were elucidated.
由于海洋天然产物具有高度独特的结构,因此有许多最初基于光谱分析提出但后来被证明是错误的结构的例子。在许多情况下,对海洋天然产物最初提出的结构的全合成证实了它们的不正确性,随后对新提出的结构的全合成证明了修订后的结构。这篇综述将展示 2005 年以后出现的此类情况,并展示如何阐明真实结构。