Suppr超能文献

布氏杆菌病、钩端螺旋体病和 Q 热在喀麦隆的印度野牛中的血清学模式。

Serological patterns of brucellosis, leptospirosis and Q fever in Bos indicus cattle in Cameroon.

机构信息

The Roslin Institute at the Royal (Dick) School of Veterinary Studies, University of Edinburgh, Roslin Biocentre, Roslin, Midlothian, United Kingdom.

出版信息

PLoS One. 2010 Jan 21;5(1):e8623. doi: 10.1371/journal.pone.0008623.

Abstract

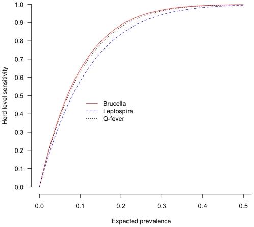
Brucellosis, leptospirosis and Q fever are important infections of livestock causing a range of clinical conditions including abortions and reduced fertility. In addition, they are all important zoonotic infections infecting those who work with livestock and those who consume livestock related products such as milk, producing non-specific symptoms including fever, that are often misdiagnosed and that can lead to severe chronic disease. This study used banked sera from the Adamawa Region of Cameroon to investigate the seroprevalences and distributions of seropositive animals and herds. A classical statistical and a multi-level prevalence modelling approach were compared. The unbiased estimates were 20% of herds were seropositive for Brucella spp. compared to 95% for Leptospira spp. and 68% for Q fever. The within-herd seroprevalences were 16%, 35% and 39% respectively. There was statistical evidence of clustering of seropositive brucellosis and Q fever herds. The modelling approach has the major advantage that estimates of seroprevalence can be adjusted for the sensitivity and specificity of the diagnostic test used and the multi-level structure of the sampling. The study found a low seroprevalence of brucellosis in the Adamawa Region compared to a high proportion of leptospirosis and Q fever seropositive herds. This represents a high risk to the human population as well as potentially having a major impact on animal health and productivity in the region.

摘要

布鲁氏菌病、钩端螺旋体病和 Q 热是重要的家畜传染病,可引起多种临床症状,包括流产和繁殖力下降。此外,这些疾病还会感染与家畜接触的人和食用与家畜相关产品(如牛奶)的人,导致非特异性症状(包括发热),这些症状经常被误诊,并可能导致严重的慢性疾病。本研究利用喀麦隆阿达马瓦地区的银行血清,调查了血清阳性动物和畜群的血清流行率和分布情况。比较了经典统计学和多层次流行率建模方法。无偏估计结果显示,20%的畜群对布鲁氏菌属呈血清阳性,而钩端螺旋体属的血清阳性率为 95%,Q 热的血清阳性率为 68%。畜群内的血清阳性率分别为 16%、35%和 39%。布鲁氏菌病和 Q 热血清阳性畜群存在统计学上的聚集证据。该建模方法的主要优点是,可以根据所用诊断试验的灵敏度和特异性以及采样的多层次结构来调整血清流行率的估计值。研究发现,与高比例的钩端螺旋体病和 Q 热血清阳性畜群相比,阿达马瓦地区的布鲁氏菌病血清流行率较低。这不仅对人类构成了高风险,而且可能对该地区的动物健康和生产力产生重大影响。

https://cdn.ncbi.nlm.nih.gov/pmc/blobs/6324/2809085/2a5502ea083f/pone.0008623.g001.jpg

文献AI研究员

20分钟写一篇综述,助力文献阅读效率提升50倍。

立即体验

用中文搜PubMed

大模型驱动的PubMed中文搜索引擎

马上搜索

文档翻译

学术文献翻译模型,支持多种主流文档格式。

立即体验