• 文献检索
  • 文档翻译
  • 深度研究
  • 学术资讯
  • Suppr Zotero 插件Zotero 插件
  • 邀请有礼
  • 套餐&价格
  • 历史记录
应用&插件
Suppr Zotero 插件Zotero 插件浏览器插件Mac 客户端Windows 客户端微信小程序
定价
高级版会员购买积分包购买API积分包
服务
文献检索文档翻译深度研究API 文档MCP 服务
关于我们
关于 Suppr公司介绍联系我们用户协议隐私条款
关注我们

Suppr 超能文献

核心技术专利:CN118964589B侵权必究
粤ICP备2023148730 号-1Suppr @ 2026

文献检索

告别复杂PubMed语法,用中文像聊天一样搜索,搜遍4000万医学文献。AI智能推荐,让科研检索更轻松。

立即免费搜索

文件翻译

保留排版,准确专业,支持PDF/Word/PPT等文件格式,支持 12+语言互译。

免费翻译文档

深度研究

AI帮你快速写综述,25分钟生成高质量综述,智能提取关键信息,辅助科研写作。

立即免费体验

人类禁食与癌症治疗:病例系列报告。

Fasting and cancer treatment in humans: A case series report.

作者信息

Safdie Fernando M, Dorff Tanya, Quinn David, Fontana Luigi, Wei Min, Lee Changhan, Cohen Pinchas, Longo Valter D

机构信息

Andrus Gerontology Center and Department of Biological Sciences, University of Southern California, Los Angeles, CA 90089, USA.

出版信息

Aging (Albany NY). 2009 Dec 31;1(12):988-1007. doi: 10.18632/aging.100114.

DOI:10.18632/aging.100114
PMID:20157582
原文链接:https://pmc.ncbi.nlm.nih.gov/articles/PMC2815756/
Abstract

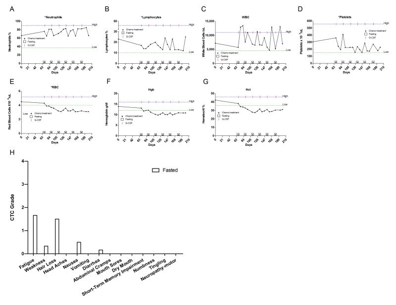
Short-term fasting (48 hours) was shown to be effective in protecting normal cells and mice but not cancer cells against high dose chemotherapy, termed Differential Stress Resistance (DSR), but the feasibility and effect of fasting in cancer patients undergoing chemotherapy is unknown. Here we describe 10 cases in which patients diagnosed with a variety of malignancies had voluntarily fasted prior to (48-140 hours) and/or following (5-56 hours) chemotherapy. None of these patients, who received an average of 4 cycles of various chemotherapy drugs in combination with fasting, reported significant side effects caused by the fasting itself other than hunger and lightheadedness. Chemotherapy associated toxicity was graded according to the Common Terminology Criteria for Adverse Events (CTCAE) of the National Cancer Institute (NCI). The six patients who underwent chemotherapy with or without fasting reported a reduction in fatigue, weakness, and gastrointestinal side effects while fasting. In those patients whose cancer progression could be assessed, fasting did not prevent the chemotherapy-induced reduction of tumor volume or tumor markers. Although the 10 cases presented here suggest that fasting in combination with chemotherapy is feasible, safe, and has the potential to ameliorate side effects caused by chemotherapies, they are not meant to establish practice guidelines for patients undergoing chemotherapy. Only controlled-randomized clinical trials will determine the effect of fasting on clinical outcomes including quality of life and therapeutic index.

摘要

短期禁食(48小时)已被证明能有效保护正常细胞和小鼠免受高剂量化疗的影响,但对癌细胞无效,这被称为差异应激抵抗(DSR),但禁食对接受化疗的癌症患者的可行性和效果尚不清楚。在此,我们描述了10例被诊断患有各种恶性肿瘤的患者,他们在化疗前(48 - 140小时)和/或化疗后(5 - 56小时)自愿禁食。这些患者平均接受了4个周期的各种化疗药物联合禁食治疗,除了饥饿和头晕外,没有报告禁食本身引起的显著副作用。化疗相关毒性根据美国国立癌症研究所(NCI)的不良事件通用术语标准(CTCAE)进行分级。6例接受化疗时禁食或不禁食的患者报告,在禁食期间疲劳、虚弱和胃肠道副作用有所减轻。在那些癌症进展可以评估的患者中,禁食并未阻止化疗引起的肿瘤体积或肿瘤标志物的减少。尽管这里呈现的10个病例表明禁食与化疗联合是可行、安全的,并且有可能改善化疗引起的副作用,但它们并非旨在为接受化疗的患者制定实践指南。只有对照随机临床试验才能确定禁食对包括生活质量和治疗指数在内的临床结果的影响。

https://cdn.ncbi.nlm.nih.gov/pmc/blobs/2289/2815756/39ec92b68959/aging-01-988-g011.jpg
https://cdn.ncbi.nlm.nih.gov/pmc/blobs/2289/2815756/0faa42bf9b6f/aging-01-988-g001.jpg
https://cdn.ncbi.nlm.nih.gov/pmc/blobs/2289/2815756/d4256f5f1c36/aging-01-988-g002.jpg
https://cdn.ncbi.nlm.nih.gov/pmc/blobs/2289/2815756/fee7f9d81301/aging-01-988-g003.jpg
https://cdn.ncbi.nlm.nih.gov/pmc/blobs/2289/2815756/3d65bfc29dd2/aging-01-988-g004.jpg
https://cdn.ncbi.nlm.nih.gov/pmc/blobs/2289/2815756/0eff06a8b78f/aging-01-988-g005.jpg
https://cdn.ncbi.nlm.nih.gov/pmc/blobs/2289/2815756/9b219c31ea9f/aging-01-988-g006.jpg
https://cdn.ncbi.nlm.nih.gov/pmc/blobs/2289/2815756/ea442caec59a/aging-01-988-g007.jpg
https://cdn.ncbi.nlm.nih.gov/pmc/blobs/2289/2815756/78ffe73f5f34/aging-01-988-g008.jpg
https://cdn.ncbi.nlm.nih.gov/pmc/blobs/2289/2815756/3d4e3295a7d9/aging-01-988-g009.jpg
https://cdn.ncbi.nlm.nih.gov/pmc/blobs/2289/2815756/86b5c143d768/aging-01-988-g010.jpg
https://cdn.ncbi.nlm.nih.gov/pmc/blobs/2289/2815756/39ec92b68959/aging-01-988-g011.jpg
https://cdn.ncbi.nlm.nih.gov/pmc/blobs/2289/2815756/0faa42bf9b6f/aging-01-988-g001.jpg
https://cdn.ncbi.nlm.nih.gov/pmc/blobs/2289/2815756/d4256f5f1c36/aging-01-988-g002.jpg
https://cdn.ncbi.nlm.nih.gov/pmc/blobs/2289/2815756/fee7f9d81301/aging-01-988-g003.jpg
https://cdn.ncbi.nlm.nih.gov/pmc/blobs/2289/2815756/3d65bfc29dd2/aging-01-988-g004.jpg
https://cdn.ncbi.nlm.nih.gov/pmc/blobs/2289/2815756/0eff06a8b78f/aging-01-988-g005.jpg
https://cdn.ncbi.nlm.nih.gov/pmc/blobs/2289/2815756/9b219c31ea9f/aging-01-988-g006.jpg
https://cdn.ncbi.nlm.nih.gov/pmc/blobs/2289/2815756/ea442caec59a/aging-01-988-g007.jpg
https://cdn.ncbi.nlm.nih.gov/pmc/blobs/2289/2815756/78ffe73f5f34/aging-01-988-g008.jpg
https://cdn.ncbi.nlm.nih.gov/pmc/blobs/2289/2815756/3d4e3295a7d9/aging-01-988-g009.jpg
https://cdn.ncbi.nlm.nih.gov/pmc/blobs/2289/2815756/86b5c143d768/aging-01-988-g010.jpg
https://cdn.ncbi.nlm.nih.gov/pmc/blobs/2289/2815756/39ec92b68959/aging-01-988-g011.jpg

相似文献

1
Fasting and cancer treatment in humans: A case series report.人类禁食与癌症治疗:病例系列报告。
Aging (Albany NY). 2009 Dec 31;1(12):988-1007. doi: 10.18632/aging.100114.
2
Fasting and differential chemotherapy protection in patients.禁食和差异化化疗保护患者。
Cell Cycle. 2010 Nov 15;9(22):4474-6. doi: 10.4161/cc.9.22.13954.
3
Impact of modified short-term fasting and its combination with a fasting supportive diet during chemotherapy on the incidence and severity of chemotherapy-induced toxicities in cancer patients - a controlled cross-over pilot study.改良短期禁食及其与化疗期间禁食支持饮食相结合对癌症患者化疗诱导毒性的发生率和严重程度的影响——一项对照交叉先导研究。
BMC Cancer. 2020 Jun 22;20(1):578. doi: 10.1186/s12885-020-07041-7.
4
Ramucirumab plus pembrolizumab in patients with previously treated advanced non-small-cell lung cancer, gastro-oesophageal cancer, or urothelial carcinomas (JVDF): a multicohort, non-randomised, open-label, phase 1a/b trial.雷莫芦单抗联合帕博利珠单抗治疗既往治疗的晚期非小细胞肺癌、胃食管交界处癌或尿路上皮癌患者(JVDF):一项多队列、非随机、开放标签、1a/1b 期临床试验。
Lancet Oncol. 2019 Aug;20(8):1109-1123. doi: 10.1016/S1470-2045(19)30458-9. Epub 2019 Jul 10.
5
Short-term fasting accompanying chemotherapy as a supportive therapy in gynecological cancer: protocol for a multicenter randomized controlled clinical trial.短期禁食联合化疗作为妇科恶性肿瘤支持治疗的多中心随机对照临床研究方案。
Trials. 2020 Oct 15;21(1):854. doi: 10.1186/s13063-020-04700-9.
6
Safety and activity of alisertib, an investigational aurora kinase A inhibitor, in patients with breast cancer, small-cell lung cancer, non-small-cell lung cancer, head and neck squamous-cell carcinoma, and gastro-oesophageal adenocarcinoma: a five-arm phase 2 study.alisertib 是一种新型的 Aurora 激酶 A 抑制剂,在乳腺癌、小细胞肺癌、非小细胞肺癌、头颈部鳞状细胞癌和胃食管腺癌患者中的安全性和活性:一项五臂 2 期研究。
Lancet Oncol. 2015 Apr;16(4):395-405. doi: 10.1016/S1470-2045(15)70051-3. Epub 2015 Feb 27.
7
First-line treatment of advanced epidermal growth factor receptor (EGFR) mutation positive non-squamous non-small cell lung cancer.晚期表皮生长因子受体(EGFR)突变阳性非鳞状非小细胞肺癌的一线治疗
Cochrane Database Syst Rev. 2016 May 25(5):CD010383. doi: 10.1002/14651858.CD010383.pub2.
8
The effects of short-term fasting on quality of life and tolerance to chemotherapy in patients with breast and ovarian cancer: a randomized cross-over pilot study.短期禁食对乳腺癌和卵巢癌患者生活质量和化疗耐受性的影响:一项随机交叉先导研究。
BMC Cancer. 2018 Apr 27;18(1):476. doi: 10.1186/s12885-018-4353-2.
9
Symptomatic toxicities experienced during anticancer treatment: agreement between patient and physician reporting in three randomized trials.抗癌治疗期间出现的有症状毒性:三项随机试验中患者报告和医生报告的一致性。
J Clin Oncol. 2015 Mar 10;33(8):910-5. doi: 10.1200/JCO.2014.57.9334. Epub 2015 Jan 26.
10
Adjuvant sequential chemotherapy and radiotherapy in uterine papillary serous carcinoma.子宫浆液性乳头状癌的辅助序贯化疗与放疗
Gynecol Oncol. 2005 Apr;97(1):171-7. doi: 10.1016/j.ygyno.2005.01.001.

引用本文的文献

1
Integrative Approaches to Prostate Disease Management: Nutrition, Exercise, and Lifestyle Modifications.前列腺疾病管理的综合方法:营养、运动与生活方式调整
Am J Mens Health. 2025 May-Jun;19(3):15579883251344571. doi: 10.1177/15579883251344571. Epub 2025 Jun 23.
2
The Role of Intermittent Fasting in the Activation of Autophagy Processes in the Context of Cancer Diseases.间歇性禁食在癌症疾病背景下自噬过程激活中的作用。
Int J Mol Sci. 2025 May 15;26(10):4742. doi: 10.3390/ijms26104742.
3
Evaluating the role of dietary interventions in reducing chemotherapy toxicities in cancer patients: a systematic review.

本文引用的文献

1
Caloric restriction delays disease onset and mortality in rhesus monkeys.热量限制可延缓恒河猴疾病的发作和死亡。
Science. 2009 Jul 10;325(5937):201-4. doi: 10.1126/science.1173635.
2
Turning anti-ageing genes against cancer.利用抗衰老基因对抗癌症。
Nat Rev Mol Cell Biol. 2008 Nov;9(11):903-10. doi: 10.1038/nrm2526.
3
Prostate cancer: moving forward by reinventing the wheel...but this time it is round.前列腺癌:通过重新发明轮子不断前进……但这次轮子是圆的。
评估饮食干预在降低癌症患者化疗毒性中的作用:一项系统综述。
J Cancer Surviv. 2025 Mar 22. doi: 10.1007/s11764-025-01777-6.
4
Dietary Restrictions and Cancer Prevention: State of the Art.饮食限制与癌症预防:最新进展
Nutrients. 2025 Jan 29;17(3):503. doi: 10.3390/nu17030503.
5
Fasting mimicking diet during neo-adjuvant chemotherapy in breast cancer patients: a randomized controlled trial study.乳腺癌患者新辅助化疗期间的模拟禁食饮食:一项随机对照试验研究。
Front Nutr. 2024 Dec 4;11:1483707. doi: 10.3389/fnut.2024.1483707. eCollection 2024.
6
European Association for the Study of Obesity (EASO) Position Statement on Medical Nutrition Therapy for the Management of Individuals with Overweight or Obesity and Cancer.欧洲肥胖研究协会(EASO)关于医学营养疗法用于超重或肥胖个体及癌症患者管理的立场声明。
Obes Facts. 2025;18(1):86-105. doi: 10.1159/000542155. Epub 2024 Oct 30.
7
Molecular signaling and clinical implications in the human aging-cancer cycle.人类衰老-癌症循环中的分子信号传导及其临床意义。
Semin Cancer Biol. 2024 Nov;106-107:28-42. doi: 10.1016/j.semcancer.2024.08.003. Epub 2024 Aug 26.
8
Cancer Prevention and Treatment Based on Lifestyles.基于生活方式的癌症预防与治疗。
Cancer Treat Res. 2024;191:245-279. doi: 10.1007/978-3-031-55622-7_10.
9
Effect of short-term fasting on the cisplatin activity in human oral squamous cell carcinoma cell line HN5 and chemotherapy side effects.短期禁食对人口腔鳞状细胞癌细胞系 HN5 中顺铂活性及化疗副作用的影响。
BMC Cancer. 2024 Aug 9;24(1):989. doi: 10.1186/s12885-024-12752-2.
10
International consensus on fasting terminology.禁食术语的国际共识。
Cell Metab. 2024 Aug 6;36(8):1779-1794.e4. doi: 10.1016/j.cmet.2024.06.013. Epub 2024 Jul 25.
J Clin Oncol. 2008 Oct 1;26(28):4535-6. doi: 10.1200/JCO.2008.18.3145. Epub 2008 Jul 14.
4
Starvation-dependent differential stress resistance protects normal but not cancer cells against high-dose chemotherapy.饥饿依赖性差异抗逆性保护正常细胞而非癌细胞免受高剂量化疗的影响。
Proc Natl Acad Sci U S A. 2008 Jun 17;105(24):8215-20. doi: 10.1073/pnas.0708100105. Epub 2008 Mar 31.
5
Conserved and tissue-specific genic and physiologic responses to caloric restriction and altered IGFI signaling in mitotic and postmitotic tissues.有丝分裂和有丝分裂后组织中对热量限制和胰岛素样生长因子I(IGFI)信号改变的保守且组织特异性的基因和生理反应。
Annu Rev Nutr. 2007;27:193-217. doi: 10.1146/annurev.nutr.27.061406.093743.
6
Aging, adiposity, and calorie restriction.衰老、肥胖与热量限制。
JAMA. 2007 Mar 7;297(9):986-94. doi: 10.1001/jama.297.9.986.
7
Alternate day calorie restriction improves clinical findings and reduces markers of oxidative stress and inflammation in overweight adults with moderate asthma.隔日热量限制可改善中度哮喘超重成年人的临床症状,并降低氧化应激和炎症指标。
Free Radic Biol Med. 2007 Mar 1;42(5):665-74. doi: 10.1016/j.freeradbiomed.2006.12.005. Epub 2006 Dec 14.
8
Nutrition and physical activity during and after cancer treatment: an American Cancer Society guide for informed choices.癌症治疗期间及之后的营养与身体活动:美国癌症协会明智选择指南
CA Cancer J Clin. 2006 Nov-Dec;56(6):323-53. doi: 10.3322/canjclin.56.6.323.
9
Long-term calorie restriction is highly effective in reducing the risk for atherosclerosis in humans.长期热量限制对降低人类动脉粥样硬化风险非常有效。
Proc Natl Acad Sci U S A. 2004 Apr 27;101(17):6659-63. doi: 10.1073/pnas.0308291101. Epub 2004 Apr 19.
10
Endoplasmic reticulum chaperone protein GRP78 protects cells from apoptosis induced by topoisomerase inhibitors: role of ATP binding site in suppression of caspase-7 activation.内质网伴侣蛋白GRP78保护细胞免受拓扑异构酶抑制剂诱导的凋亡:ATP结合位点在抑制半胱天冬酶-7激活中的作用
J Biol Chem. 2003 Jun 6;278(23):20915-24. doi: 10.1074/jbc.M212328200. Epub 2003 Mar 28.