Suppr超能文献

问卷调查中反映室内空气污染物暴露情况的问题能否预测自有住房中直接暴露测量值?

Do questions reflecting indoor air pollutant exposure from a questionnaire predict direct measure of exposure in owner-occupied houses?

机构信息

University of Toronto, Toronto, Ontario, Canada.

出版信息

Int J Environ Res Public Health. 2010 Aug;7(8):3270-97. doi: 10.3390/ijerph7083270. Epub 2010 Aug 23.

Abstract

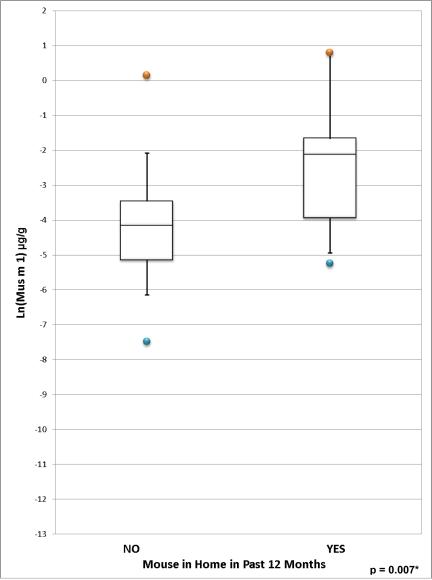
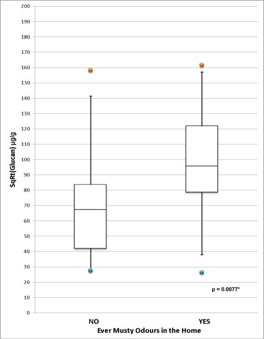
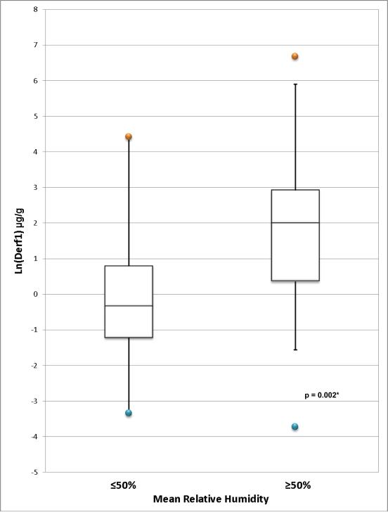
Home characteristic questions are used in epidemiological studies and clinical settings to assess potentially harmful exposures in the home. The objective of this study was to determine whether questionnaire-reported home characteristics can predict directly measured pollutants. Sixty home inspections were conducted on a subsample of the 2006 population-based Toronto Child Health Evaluation Questionnaire. Indoor/outdoor air and settled dust samples were analyzed. Mean Fel d 1 was higher (p < 0.0001) in homes with a cat (450.58 μg/g) versus without (22.28 μg/g). Mean indoor NO(2) was higher (p = 0.003) in homes with gas stoves (14.98 ppb) versus without (8.31 ppb). Self-reported musty odours predicted higher glucan levels (10554.37 μg/g versus 6308.58 μg/g, p = 0.0077). Der f 1 was predicted by the home's age, but not by reports of carpets, and was higher in homes with mean relative humidity > 50% (61.30 μg/g, versus 6.24 μg/g, p = 0.002). Self-reported presence of a cat, a gas stove, musty odours, mice, and the home's age and indoor relative humidity over 50% predicted measured indoor levels of cat allergens, NO(2), fungal glucan, mouse allergens and dust mite allergens, respectively. These results are helpful for understanding the significance of indoor exposures ascertained by self-reporting in large epidemiological studies and also in the clinical setting.

摘要

家庭特征问题常用于流行病学研究和临床环境,以评估家庭中潜在的有害暴露。本研究旨在确定问卷报告的家庭特征是否可以直接预测污染物。在基于人群的 2006 年多伦多儿童健康评估问卷的一个子样本中进行了 60 次家庭检查。分析了室内/室外空气和沉降灰尘样本。有猫(450.58μg/g)的家庭中 Fel d 1 平均值较高(p<0.0001),而没有猫(22.28μg/g)的家庭中 Fel d 1 平均值较低。使用煤气炉(14.98 ppb)的家庭中室内 NO2 平均值较高(p=0.003),而没有使用煤气炉(8.31 ppb)的家庭中室内 NO2 平均值较低。自我报告的霉味预测更高的葡聚糖水平(10554.37μg/g 比 6308.58μg/g,p=0.0077)。Der f 1 可由房屋的年龄预测,但不能由地毯的报告预测,并且在平均相对湿度>50%的家庭中更高(61.30μg/g 比 6.24μg/g,p=0.002)。自我报告的猫、煤气炉、霉味、老鼠的存在以及房屋的年龄和室内相对湿度超过 50%分别预测了室内猫过敏原、NO2、真菌葡聚糖、鼠过敏原和尘螨过敏原的测量水平。这些结果有助于理解在大型流行病学研究和临床环境中通过自我报告确定的室内暴露的意义。

https://cdn.ncbi.nlm.nih.gov/pmc/blobs/04d3/2954581/7f15f6e98a31/ijerph-07-03270f1.jpg

文献检索

告别复杂PubMed语法,用中文像聊天一样搜索,搜遍4000万医学文献。AI智能推荐,让科研检索更轻松。

立即免费搜索

文件翻译

保留排版,准确专业,支持PDF/Word/PPT等文件格式,支持 12+语言互译。

免费翻译文档

深度研究

AI帮你快速写综述,25分钟生成高质量综述,智能提取关键信息,辅助科研写作。

立即免费体验