• 文献检索
  • 文档翻译
  • 深度研究
  • 学术资讯
  • Suppr Zotero 插件Zotero 插件
  • 邀请有礼
  • 套餐&价格
  • 历史记录
应用&插件
Suppr Zotero 插件Zotero 插件浏览器插件Mac 客户端Windows 客户端微信小程序
定价
高级版会员购买积分包购买API积分包
服务
文献检索文档翻译深度研究API 文档MCP 服务
关于我们
关于 Suppr公司介绍联系我们用户协议隐私条款
关注我们

Suppr 超能文献

核心技术专利:CN118964589B侵权必究
粤ICP备2023148730 号-1Suppr @ 2026

文献检索

告别复杂PubMed语法,用中文像聊天一样搜索,搜遍4000万医学文献。AI智能推荐,让科研检索更轻松。

立即免费搜索

文件翻译

保留排版,准确专业,支持PDF/Word/PPT等文件格式,支持 12+语言互译。

免费翻译文档

深度研究

AI帮你快速写综述,25分钟生成高质量综述,智能提取关键信息,辅助科研写作。

立即免费体验

选定的革兰氏阴性海洋细菌的碳水化合物抗原的结构多样性。

The structural diversity of carbohydrate antigens of selected gram-negative marine bacteria.

机构信息

Pacific Institute of Bioorganic Chemistry, Far East Branch of the Russian Academy of Sciences, Vladivostok 690022, Russia.

Faculty of Life and Social Sciences, Swinburne University of Technology, PO Box 218, Hawthorn, Victoria 3122, Australia.

出版信息

Mar Drugs. 2011;9(10):1914-1954. doi: 10.3390/md9101914. Epub 2011 Oct 14.

DOI:10.3390/md9101914
PMID:22073003
原文链接:https://pmc.ncbi.nlm.nih.gov/articles/PMC3210612/
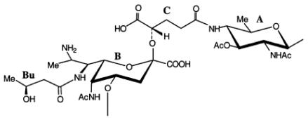
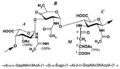
Abstract

Marine microorganisms have evolved for millions of years to survive in the environments characterized by one or more extreme physical or chemical parameters, e.g., high pressure, low temperature or high salinity. Marine bacteria have the ability to produce a range of biologically active molecules, such as antibiotics, toxins and antitoxins, antitumor and antimicrobial agents, and as a result, they have been a topic of research interest for many years. Among these biologically active molecules, the carbohydrate antigens, lipopolysaccharides (LPSs, O-antigens) found in cell walls of gram-negative marine bacteria, show great potential as candidates in the development of drugs to prevent septic shock due to their low virulence. The structural diversity of LPSs is thought to be a reflection of the ability for these bacteria to adapt to an array of habitats, protecting the cell from being compromised by exposure to harsh environmental stress factors. Over the last few years, the variety of structures of core oligosaccharides and O-specific polysaccharides from LPSs of marine microrganisms has been discovered. In this review, we discuss the most recently encountered structures that have been identified from bacteria belonging to the genera Aeromonas, Alteromonas, Idiomarina, Microbulbifer, Pseudoalteromonas, Plesiomonas and Shewanella of the Gammaproteobacteria phylum; Sulfitobacter and Loktanella of the Alphaproteobactera phylum and to the genera Arenibacter, Cellulophaga, Chryseobacterium, Flavobacterium, Flexibacter of the Cytophaga-Flavobacterium-Bacteroides phylum. Particular attention is paid to the particular chemical features of the LPSs, such as the monosaccharide type, non-sugar substituents and phosphate groups, together with some of the typifying traits of LPSs obtained from marine bacteria. A possible correlation is then made between such features and the environmental adaptations undertaken by marine bacteria.

摘要

海洋微生物经过数百万年的进化,已经能够在具有一个或多个极端物理或化学参数的环境中生存,例如高压、低温或高盐度。海洋细菌具有产生一系列生物活性分子的能力,例如抗生素、毒素和抗毒素、抗肿瘤和抗菌剂,因此多年来一直是研究的热点。在这些生物活性分子中,革兰氏阴性海洋细菌细胞壁中的碳水化合物抗原、脂多糖(LPSs、O-抗原)由于其低毒性,显示出作为开发预防败血症性休克药物的候选物的巨大潜力。LPSs 的结构多样性被认为反映了这些细菌适应各种栖息地的能力,使细胞免受暴露于恶劣环境应激因素的影响。在过去的几年中,已经发现了海洋微生物 LPS 核心寡糖和 O-特异性多糖的各种结构。在这篇综述中,我们讨论了从属于γ变形菌门的气单胞菌属、交替单胞菌属、微小杆菌属、假交替单胞菌属、波罗的海假单胞菌属、希瓦氏菌属和鞘氨醇单胞菌属;α变形菌门的硫杆菌属和洛特卡氏菌属以及 Arenibacter 属、噬纤维菌属、黄杆菌属、Flavobacterium 属和柔膜杆菌属的细菌中鉴定出的最新结构。特别关注 LPSs 的特殊化学特征,例如单糖类型、非糖取代基和磷酸基团,以及从海洋细菌中获得的 LPSs 的一些典型特征。然后,在 LPSs 获得的一些典型特征与海洋细菌所进行的环境适应之间建立了可能的相关性。

https://cdn.ncbi.nlm.nih.gov/pmc/blobs/4616/3210612/ee9da653da5c/marinedrugs-09-01914f3.jpg
https://cdn.ncbi.nlm.nih.gov/pmc/blobs/4616/3210612/b4d20721f5ea/marinedrugs-09-01914f1.jpg
https://cdn.ncbi.nlm.nih.gov/pmc/blobs/4616/3210612/026354ebbd7c/marinedrugs-09-01914f2.jpg
https://cdn.ncbi.nlm.nih.gov/pmc/blobs/4616/3210612/ee9da653da5c/marinedrugs-09-01914f3.jpg
https://cdn.ncbi.nlm.nih.gov/pmc/blobs/4616/3210612/b4d20721f5ea/marinedrugs-09-01914f1.jpg
https://cdn.ncbi.nlm.nih.gov/pmc/blobs/4616/3210612/026354ebbd7c/marinedrugs-09-01914f2.jpg
https://cdn.ncbi.nlm.nih.gov/pmc/blobs/4616/3210612/ee9da653da5c/marinedrugs-09-01914f3.jpg

相似文献

1
The structural diversity of carbohydrate antigens of selected gram-negative marine bacteria.选定的革兰氏阴性海洋细菌的碳水化合物抗原的结构多样性。
Mar Drugs. 2011;9(10):1914-1954. doi: 10.3390/md9101914. Epub 2011 Oct 14.
2
Molecular structure of endotoxins from Gram-negative marine bacteria: an update.革兰氏阴性海洋细菌内毒素的分子结构:最新进展。
Mar Drugs. 2007 Sep 19;5(3):85-112. doi: 10.3390/md503085.
3
Structures of polysaccharides and oligosaccharides of some Gram-negative marine Proteobacteria.一些革兰氏阴性海洋变形菌的多糖和寡糖结构
Carbohydr Res. 2003 Nov 14;338(23):2449-57. doi: 10.1016/j.carres.2003.06.004.
4
The outer membrane glycolipids of bacteria from cold environments: isolation, characterization, and biological activity.冷环境中细菌的外膜糖脂:分离、表征和生物活性。
FEMS Microbiol Ecol. 2019 Jul 1;95(7). doi: 10.1093/femsec/fiz094.
5
Pushing the Boundaries of Structural Heterogeneity with the Lipid A of Marine Bacteria Cellulophaga.利用海洋细菌纤维弧菌的脂多糖突破结构异质性的界限
Chembiochem. 2023 May 16;24(10):e202300183. doi: 10.1002/cbic.202300183. Epub 2023 Apr 21.
6
Marine Antibiotics 2020.海洋抗生素 2020.
Mar Drugs. 2021 Jun 21;19(6):351. doi: 10.3390/md19060351.
7
Gram-negative marine bacteria: structural features of lipopolysaccharides and their relevance for economically important diseases.革兰氏阴性海洋细菌:脂多糖的结构特征及其与经济上重要疾病的相关性。
Mar Drugs. 2014 Apr 30;12(5):2485-514. doi: 10.3390/md12052485.
8
Bacterial exopolysaccharides from extreme marine habitats: production, characterization and biological activities.极端海洋生境中的细菌胞外多糖:生产、特性和生物活性。
Mar Drugs. 2010 Jun 3;8(6):1779-802. doi: 10.3390/md8061779.
9
Isolation, phylogenetic analysis and screening of marine mollusc-associated bacteria for antimicrobial, hemolytic and surface activities.海洋软体动物相关细菌的分离、系统发育分析及抗菌、溶血和表面活性筛选
Microbiol Res. 2008;163(6):633-44. doi: 10.1016/j.micres.2006.10.001.
10
Inhibition of mouse liver cytochrome P-450 by gram-negative bacteria lipopolysaccharides.革兰氏阴性菌脂多糖对小鼠肝脏细胞色素P-450的抑制作用。
Arch Immunol Ther Exp (Warsz). 1996;44(1):39-44.

引用本文的文献

1
Structural characterization and mechanisms of macrophage immunomodulatory activity of a novel polysaccharide with a galactose backbone from the processed Polygonati Rhizoma.一种源自制黄精的具有半乳糖主链的新型多糖的结构表征及其巨噬细胞免疫调节活性机制
J Pharm Anal. 2024 Jul;14(7):100974. doi: 10.1016/j.jpha.2024.100974. Epub 2024 Mar 29.
2
Altering Microbiomes with Hydroxyapatite Nanoparticles: A Metagenomic Analysis.用羟基磷灰石纳米颗粒改变微生物群落:宏基因组分析
Materials (Basel). 2022 Aug 24;15(17):5824. doi: 10.3390/ma15175824.
3
Phylogenomic Insights into Distribution and Adaptation of Bdellovibrionota in Marine Waters.

本文引用的文献

1
Structure of the O-Specific polysaccharide from Shewanella japonica KMM 3601 containing 5,7-Diacetamido-3,5,7,9-tetradeoxy-D-glycero-D-talo-non-2-ulosonic acid.日本海栖热袍菌 KMM 3601 0-特异性多糖的结构,含有 5,7-二乙酰氨基-3,5,7,9-四脱氧-D-甘油-D-塔罗-壬-2-酮酸。
Biochemistry (Mosc). 2011 Jul;76(7):791-6. doi: 10.1134/S0006297911070091.
2
The complete structure of the core of the LPS from Plesiomonas shigelloides 302-73 and the identification of its O-antigen biological repeating unit.志贺邻单胞菌 302-73 脂多糖核心的完整结构及其 O-抗原生物重复单元的鉴定。
Carbohydr Res. 2010 Nov 22;345(17):2523-8. doi: 10.1016/j.carres.2010.09.007. Epub 2010 Sep 16.
3
对海水中蛭弧菌门分布与适应性的系统基因组学洞察
Microorganisms. 2021 Apr 3;9(4):757. doi: 10.3390/microorganisms9040757.
4
An Update on the Genus : Taxonomy, Epidemiology, and Pathogenicity.属的最新情况:分类学、流行病学及致病性
Microorganisms. 2020 Jan 17;8(1):129. doi: 10.3390/microorganisms8010129.
5
A Unique Sugar l-Perosamine (4-Amino-4,6-dideoxy-l-mannose) Is a Compound Building Two O-Chain Polysaccharides in the Lipopolysaccharide of Strain JCM 3968, Serogroup O6.一种独特的糖 l-岩藻糖(4-氨基-4,6-二脱氧-l-甘露糖)是 JCM 3968 株 O6 血清型脂多糖中两种 O-链多糖的结构单元。
Mar Drugs. 2019 Apr 28;17(5):254. doi: 10.3390/md17050254.
6
Reconstruction of the sialylation pathway in the ancestor of eukaryotes.真核生物祖先中唾液酸化途径的重建。
Sci Rep. 2018 Feb 13;8(1):2946. doi: 10.1038/s41598-018-20920-1.
7
Microdiversification of a Pelagic Polynucleobacter Species Is Mainly Driven by Acquisition of Genomic Islands from a Partially Interspecific Gene Pool.一种远洋多核杆菌物种的微多样化主要由从部分种间基因库中获取基因组岛驱动。
Appl Environ Microbiol. 2017 Jan 17;83(3). doi: 10.1128/AEM.02266-16. Print 2017 Feb 1.
8
Molecular and chemical analysis of the lipopolysaccharide from Aeromonas hydrophila strain AH-1 (Serotype O11).嗜水气单胞菌AH-1菌株(血清型O11)脂多糖的分子与化学分析
Mar Drugs. 2015 Apr 14;13(4):2233-49. doi: 10.3390/md13042233.
9
Homologous recombination is involved in the diversity of replacement flexible genomic islands in aquatic prokaryotes.同源重组参与水生原核生物可替换弹性基因组岛的多样性。
Front Genet. 2014 May 22;5:147. doi: 10.3389/fgene.2014.00147. eCollection 2014.
10
Structural studies of the lipopolysaccharide from the fish pathogen Aeromonas veronii strain Bs19, serotype O16.鱼类病原菌维氏气单胞菌Bs19菌株(血清型O16)脂多糖的结构研究
Mar Drugs. 2014 Mar 7;12(3):1298-316. doi: 10.3390/md12031298.
Structure of an acidic O-specific polysaccharide of the marine bacterium Pseudoalteromonas agarivorans KMM 232 (R-form).
海洋细菌 Pseudoalteromonas agarivorans KMM 232(R 型)酸性 O-特异性多糖的结构。
Biochemistry (Mosc). 2010 May;75(5):623-8. doi: 10.1134/s0006297910050123.
4
Structural investigation of bacterial lipopolysaccharides by mass spectrometry and tandem mass spectrometry.利用质谱和串联质谱技术对细菌脂多糖进行结构研究。
Mass Spectrom Rev. 2010 Jul-Aug;29(4):606-50. doi: 10.1002/mas.20258.
5
Against the rules: a marine bacterium, Loktanella rosea, possesses a unique lipopolysaccharide.违反常规:海洋细菌玫瑰色盐单胞菌拥有独特的脂多糖。
Glycobiology. 2010 May;20(5):586-93. doi: 10.1093/glycob/cwq008. Epub 2010 Jan 21.
6
The structure of the O-specific polysaccharide from the lipopolysaccharide of Aeromonas bestiarum strain 207.气单胞菌 207 株脂多糖 O-特异性多糖的结构。
Carbohydr Res. 2010 Mar 30;345(5):680-4. doi: 10.1016/j.carres.2009.12.030. Epub 2010 Jan 4.
7
Structure of a polysaccharide from the lipopolysaccharides of Vibrio vulnificus strains CECT 5198 and S3-I2-36, which is remarkably similar to the O-polysaccharide of Pseudoalteromonas rubra ATCC 29570.创伤弧菌菌株CECT 5198和S3-I2-36脂多糖中的一种多糖结构,其与红色假交替单胞菌ATCC 29570的O-多糖非常相似。
Carbohydr Res. 2009 Oct 12;344(15):2005-9. doi: 10.1016/j.carres.2009.06.035. Epub 2009 Jun 27.
8
Structure of a polysaccharide from the lipopolysaccharide of Vibrio vulnificus clinical isolate YJ016 containing 2-acetimidoylamino-2-deoxy-L-galacturonic acid.来自创伤弧菌临床分离株YJ016脂多糖的一种含有2-乙酰亚氨基氨基-2-脱氧-L-半乳糖醛酸的多糖结构。
Carbohydr Res. 2009 May 26;344(8):1009-13. doi: 10.1016/j.carres.2009.03.021. Epub 2009 Mar 24.
9
Structural analysis of the O-specific polysaccharide isolated from Plesiomonas shigelloides O51 lipopolysaccharide.从类志贺邻单胞菌O51脂多糖中分离出的O-特异性多糖的结构分析。
Carbohydr Res. 2009 May 12;344(7):894-900. doi: 10.1016/j.carres.2009.02.020. Epub 2009 Feb 28.
10
The elucidation of the structure of the core part of the LPS from Plesiomonas shigelloides serotype O17 expressing O-polysaccharide chain identical to the Shigella sonnei O-chain.对表达与宋内志贺氏菌O抗原链相同的O-多糖链的弗氏柠檬酸杆菌血清型O17脂多糖核心部分结构的阐明。
Carbohydr Res. 2008 Dec 8;343(18):3123-7. doi: 10.1016/j.carres.2008.09.017. Epub 2008 Sep 24.