• 文献检索
  • 文档翻译
  • 深度研究
  • 学术资讯
  • Suppr Zotero 插件Zotero 插件
  • 邀请有礼
  • 套餐&价格
  • 历史记录
应用&插件
Suppr Zotero 插件Zotero 插件浏览器插件Mac 客户端Windows 客户端微信小程序
定价
高级版会员购买积分包购买API积分包
服务
文献检索文档翻译深度研究API 文档MCP 服务
关于我们
关于 Suppr公司介绍联系我们用户协议隐私条款
关注我们

Suppr 超能文献

核心技术专利:CN118964589B侵权必究
粤ICP备2023148730 号-1Suppr @ 2026

文献检索

告别复杂PubMed语法,用中文像聊天一样搜索,搜遍4000万医学文献。AI智能推荐,让科研检索更轻松。

立即免费搜索

文件翻译

保留排版,准确专业,支持PDF/Word/PPT等文件格式,支持 12+语言互译。

免费翻译文档

深度研究

AI帮你快速写综述,25分钟生成高质量综述,智能提取关键信息,辅助科研写作。

立即免费体验

从山茶花茎内生真菌拟盘多毛孢中分离得到的发酵液中的两个新的氧杂孢酮衍生物。

Two new oxysporone derivatives from the fermentation broth of the endophytic plant fungus Pestalotiopsis karstenii isolated from stems of Camellia sasanqua.

机构信息

Key Laboratory of Medicinal Chemistry and Molecular Diagnosis of Ministry of Education, Baoding 071002, China.

出版信息

Molecules. 2012 Jul 17;17(7):8554-60. doi: 10.3390/molecules17078554.

DOI:10.3390/molecules17078554
PMID:22805506
原文链接:https://pmc.ncbi.nlm.nih.gov/articles/PMC6268523/
Abstract

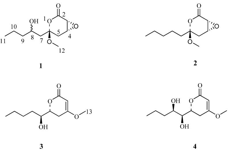
Two new oxysporone derivatives, pestalrone A (1) and pestalrone B (2), along with two known structurally related compounds 3, 4, were from the fermentation broth of the endophytic plant fungus Pestalotiopsis karstenii isolated from stems of Camellia sasanqua. Their structures and relative configurations were elucidated by extensive spectroscopic analysis and comparison of chemical shifts with related known compounds. Compound 2 exhibited significant activities agains HeLa, HepG2 and U-251 with IC₅₀ values of 12.6, 31.7 and 5.4 µg/mL, respectively.

摘要

两种新的氧杂孢酮衍生物,pestalrone A(1)和 pestalrone B(2),以及两种已知的结构相关化合物 3、4,是从内生植物真菌 Pestalotiopsis karstenii 的发酵液中分离得到的,该真菌分离自山茶花的茎。通过广泛的光谱分析和与相关已知化合物的化学位移比较,确定了它们的结构和相对构型。化合物 2 对 HeLa、HepG2 和 U-251 表现出显著的活性,IC₅₀ 值分别为 12.6、31.7 和 5.4 µg/mL。

https://cdn.ncbi.nlm.nih.gov/pmc/blobs/af31/6268523/d1f8cd0e820a/molecules-17-08554-g002.jpg
https://cdn.ncbi.nlm.nih.gov/pmc/blobs/af31/6268523/609bceba6b1b/molecules-17-08554-g001.jpg
https://cdn.ncbi.nlm.nih.gov/pmc/blobs/af31/6268523/d1f8cd0e820a/molecules-17-08554-g002.jpg
https://cdn.ncbi.nlm.nih.gov/pmc/blobs/af31/6268523/609bceba6b1b/molecules-17-08554-g001.jpg
https://cdn.ncbi.nlm.nih.gov/pmc/blobs/af31/6268523/d1f8cd0e820a/molecules-17-08554-g002.jpg

相似文献

1
Two new oxysporone derivatives from the fermentation broth of the endophytic plant fungus Pestalotiopsis karstenii isolated from stems of Camellia sasanqua.从山茶花茎内生真菌拟盘多毛孢中分离得到的发酵液中的两个新的氧杂孢酮衍生物。
Molecules. 2012 Jul 17;17(7):8554-60. doi: 10.3390/molecules17078554.
2
Two new compounds from the plant endophytic fungus Pestalotiopsis versicolor.来自植物内生真菌杂色拟盘多毛孢的两种新化合物。
J Asian Nat Prod Res. 2015;17(4):333-7. doi: 10.1080/10286020.2014.961918. Epub 2014 Oct 7.
3
Bioactive ambuic acid congeners from endophytic fungus Pestalotiopsis trachicarpicola SC-J551.来自内生真菌棕榈疫霉SC-J551的生物活性安布酸类似物。
J Antibiot (Tokyo). 2024 Jan;77(1):21-29. doi: 10.1038/s41429-023-00674-3. Epub 2023 Nov 13.
4
New spiral γ-lactone enantiomers from the plant endophytic fungus Pestalotiopsis foedan.植物内生真菌 Pestalotiopsis foedan 中新型螺旋 γ-内酯对映异构体。
Molecules. 2013 Feb 11;18(2):2236-42. doi: 10.3390/molecules18022236.
5
Dihydroberkleasmin A: a new eremophilane sesquiterpenoid from the fermentation broth of the plant endophytic fungus Pestalotiopsis photiniae.二氢柏克利素 A:一种从植物内生真菌拟盘多毛孢发酵液中分离得到的新的半日花烷倍半萜。
Molecules. 2011 Feb 23;16(2):1910-6. doi: 10.3390/molecules16021910.
6
Isoprenylated chromone derivatives from the plant endophytic fungus Pestalotiopsis fici.来自植物内生真菌榕树拟盘多毛孢的异戊烯基化色酮衍生物。
J Nat Prod. 2009 Aug;72(8):1482-6. doi: 10.1021/np900308s.
7
A New Metabolite with a Unique 4-Pyranone-γ-Lactam-1,4-Thiazine Moiety from a Hawaiian-Plant Associated Fungus.一种来自与夏威夷植物相关真菌的具有独特 4-吡喃酮-γ-内酰胺-1,4-噻嗪部分的新代谢物。
Org Lett. 2015 Jul 17;17(14):3556-9. doi: 10.1021/acs.orglett.5b01650. Epub 2015 Jun 24.
8
Two new secondary metabolites from a mangrove-derived fungus Cladosporium sp. JJM22.从一种源自红树林的真菌枝孢菌属JJM22中分离出的两种新的次生代谢产物。
Nat Prod Res. 2019 Jan;33(1):34-40. doi: 10.1080/14786419.2018.1431634. Epub 2018 Feb 1.
9
2H-pyran-2-one and 2H-furan-2-one derivatives from the plant endophytic fungus Pestalotiopsis fici.植物内生真菌 Pestalotiopsis fici 中的 2H-吡喃-2-酮和 2H-呋喃-2-酮衍生物。
Chem Biodivers. 2013 Nov;10(11):2007-13. doi: 10.1002/cbdv.201200361.
10
Two new pyrone derivatives from the plant endophytic fungus Exserohilum sp.从植物内生真菌突脐孢属真菌中分离得到的两种新的吡喃酮衍生物
Nat Prod Commun. 2014 Oct;9(10):1497-8.

引用本文的文献

1
The Identification and Role of the Key Mycotoxin of Causing Leaf Spot Disease of .引起[植物名称]叶斑病的关键霉菌毒素的鉴定及其作用
J Fungi (Basel). 2023 Dec 13;9(12):1194. doi: 10.3390/jof9121194.
2
Diversity: Species, Dispositions, Secondary Metabolites, and Bioactivities.多样性:物种、性状、次生代谢产物和生物活性。
Molecules. 2022 Nov 21;27(22):8088. doi: 10.3390/molecules27228088.
3
Overview of Bioactive Fungal Secondary Metabolites: Cytotoxic and Antimicrobial Compounds.生物活性真菌次生代谢产物概述:细胞毒性和抗菌化合物

本文引用的文献

1
Photipyrones A and B, new pyrone derivatives from the plant endophytic fungus Pestalotiopsis photiniae.光吡喃酮A和B,源自植物内生真菌石楠拟盘多毛孢的新型吡喃酮衍生物。
J Antibiot (Tokyo). 2012 May;65(5):271-3. doi: 10.1038/ja.2012.14. Epub 2012 Mar 14.
2
The taxonomy, biology and chemistry of the fungal Pestalotiopsis genus.真菌拟盘多毛孢属的分类学、生物学和化学。
Nat Prod Rep. 2012 Jun;29(6):622-41. doi: 10.1039/c2np00073c. Epub 2012 Jan 17.
3
Multihydroxylation of ursolic acid by Pestalotiopsis microspora isolated from the medicinal plant Huperzia serrata.
Antibiotics (Basel). 2022 Nov 11;11(11):1604. doi: 10.3390/antibiotics11111604.
4
Putative Anticancer Compounds from Plant-Derived Endophytic Fungi: A Review.植物源内生真菌的潜在抗癌化合物:综述。
Molecules. 2022 Jan 4;27(1):296. doi: 10.3390/molecules27010296.
5
Secondary Metabolites Produced by an Endophytic Fungus Pestalotiopsis microspora.由内生真菌小孢拟盘多毛孢产生的次生代谢产物。
Nat Prod Bioprospect. 2019 Dec;9(6):411-417. doi: 10.1007/s13659-019-00225-0. Epub 2019 Nov 15.
6
Endophytic fungi from the branches of Camellia taliensis (W. W. Smith) Melchior, a widely distributed wild tea plant.分布广泛的野生茶树——厚叶山茶(W. W. Smith)枝条上的内生真菌。
World J Microbiol Biotechnol. 2019 Jul 9;35(7):113. doi: 10.1007/s11274-019-2686-x.
从药用植物蛇足石杉中分离出的微小毛孢霉对熊果酸的多羟基化作用。
Fitoterapia. 2011 Oct;82(7):1057-61. doi: 10.1016/j.fitote.2011.06.009. Epub 2011 Jul 2.
4
Virgatolides A-C, benzannulated spiroketals from the plant endophytic fungus Pestalotiopsis virgatula. Virgatolides A-C,来自植物内生真菌拟青霉的苯并稠合螺缩酮。
Org Lett. 2011 May 20;13(10):2670-3. doi: 10.1021/ol200770k. Epub 2011 Apr 15.
5
Pestalotiopamide E, a new amide from the endophytic fungus Pestalotiopsis sp.盘多毛孢酰胺E,一种来自内生真菌盘多毛孢属菌株的新型酰胺
J Asian Nat Prod Res. 2011 Apr;13(4):373-6. doi: 10.1080/10286020.2011.554829.
6
Dihydroberkleasmin A: a new eremophilane sesquiterpenoid from the fermentation broth of the plant endophytic fungus Pestalotiopsis photiniae.二氢柏克利素 A:一种从植物内生真菌拟盘多毛孢发酵液中分离得到的新的半日花烷倍半萜。
Molecules. 2011 Feb 23;16(2):1910-6. doi: 10.3390/molecules16021910.
7
Pestaloquinols A and B, isoprenylated epoxyquinols from Pestalotiopsis sp.杀虫醌醇 A 和 B,来自 Pestalotiopsis sp 的异戊烯基环氧倍半萜
J Nat Prod. 2011 Feb 25;74(2):286-91. doi: 10.1021/np100723t. Epub 2011 Feb 8.
8
Pestalactams A-C: novel caprolactams from the endophytic fungus Pestalotiopsis sp.佩氏多毛孢中的新型己内酰胺化合物:佩氏菌素 A-C
Org Biomol Chem. 2010 Apr 21;8(8):1785-90. doi: 10.1039/b924169h.
9
Endophytes as sources of bioactive products.作为生物活性产物来源的内生菌。
Microbes Infect. 2003 May;5(6):535-44. doi: 10.1016/s1286-4579(03)00073-x.
10
Endophytic taxol-producing fungi from bald cypress, Taxodium distichum.来自落羽杉(Taxodium distichum)的产紫杉醇内生真菌。
Microbiology (Reading). 1996 Aug;142 ( Pt 8):2223-6. doi: 10.1099/13500872-142-8-2223.