Dipartimento di Chimica delle Sostanze Naturali, Università degli Studi di Napoli Federico II, Via D. Montesano 49, I-80131 Napoli, Italy.
Molecules. 2012 Nov 26;17(12):14002-14. doi: 10.3390/molecules171214002.
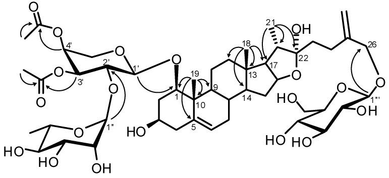
Two new furostanol saponins 1–2 and three new sulphated glycosides 3a,b and 4 were isolated from the underground parts of Ruscus aculeatus L., along with four known furostanol and one spirostanol saponins 5–9 and three free sterols. All of the structures have been elucidated on the basis of spectroscopic data 1D and 2D NMR experiments, MS spectra and GC analyses.
从菝葜地下部分中分离得到了两种新的呋甾醇皂苷 1-2 和三种新的硫酸化糖苷 3a、b 和 4,以及四种已知的呋甾醇和一种螺甾醇皂苷 5-9 和三种游离甾醇。所有结构均基于光谱数据 1D 和 2D NMR 实验、MS 光谱和 GC 分析进行阐明。