Suppr超能文献

视网膜静脉阻塞的基线特征和危险因素:韩国 RVO 研究组的一项研究。

Baseline characteristics and risk factors of retinal vein occlusion: a study by the Korean RVO Study Group.

机构信息

Department of Ophthalmology, Asan Medical Center, University of Ulsan College of Medicine, Seoul, Korea.

出版信息

J Korean Med Sci. 2013 Jan;28(1):136-44. doi: 10.3346/jkms.2013.28.1.136. Epub 2013 Jan 8.

Abstract

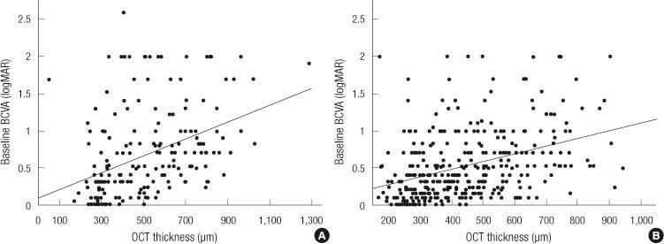
We investigated the demographic characteristics and risk factors of Korean patients with naÏve central or branch retinal vein occlusion (CRVO or BRVO). This study enrolled 41 clinical sites throughout Korea and included 557 consecutive patients with retinal vein occlusion (RVO) from May through November 2010. A total of 557 patients with new-onset RVO participated in this study. Two hundred and three (36.4%) patients were diagnosed with CRVO and 354 (63.6%) patients were diagnosed with BRVO. Comparisons between the two groups showed that the prevalence of diabetes mellitus was significantly higher in CRVO patients and hypertension was significantly higher in BRVO patients (P = 0.001 and 0.002, respectively). Poor baseline visual acuity was significantly associated with female and old age in BRVO patients (P = 0.002 and 0.013, respectively), whereas the wide intraretinal hemorrhage (CRVO, P = 0.029; BRVO, P < 0.001) and the macular ischemia (CRVO, P < 0.001; BRVO, P < 0.001) were associated with both groups. The study results show the clinical features of RVO in Korean patients. Hypertension is strongly associated with BRVO and diabetes mellitus is more strongly associated with CRVO in Korean patients with RVO. As the first nationwide study performed by the Korean Retinal Society, the results of this study can be applied to future studies on RVO.

摘要

我们调查了韩国初发中心性或分支性视网膜静脉阻塞(CRVO 或 BRVO)患者的人口统计学特征和危险因素。本研究共纳入韩国 41 个临床中心,纳入了 2010 年 5 月至 11 月期间的 557 例连续的视网膜静脉阻塞(RVO)患者。共有 557 例新发 RVO 患者参与了本研究。其中 203 例(36.4%)诊断为 CRVO,354 例(63.6%)诊断为 BRVO。两组间比较显示,CRVO 患者中糖尿病的患病率显著较高,BRVO 患者中高血压的患病率显著较高(分别为 P = 0.001 和 0.002)。BRVO 患者中,基线视力较差与女性和年龄较大显著相关(分别为 P = 0.002 和 0.013),而广泛视网膜内出血(CRVO,P = 0.029;BRVO,P < 0.001)和黄斑缺血(CRVO,P < 0.001;BRVO,P < 0.001)与两组均相关。本研究结果显示了韩国 RVO 患者的临床特征。在韩国 RVO 患者中,高血压与 BRVO 强烈相关,而糖尿病与 CRVO 更强烈相关。作为韩国视网膜学会进行的第一项全国性研究,本研究的结果可应用于未来的 RVO 研究。

https://cdn.ncbi.nlm.nih.gov/pmc/blobs/b7db/3546092/fde4189e1b2b/jkms-28-136-g001.jpg

文献AI研究员

20分钟写一篇综述,助力文献阅读效率提升50倍。

立即体验

用中文搜PubMed

大模型驱动的PubMed中文搜索引擎

马上搜索

文档翻译

学术文献翻译模型,支持多种主流文档格式。

立即体验