• 文献检索
  • 文档翻译
  • 深度研究
  • 学术资讯
  • Suppr Zotero 插件Zotero 插件
  • 邀请有礼
  • 套餐&价格
  • 历史记录
应用&插件
Suppr Zotero 插件Zotero 插件浏览器插件Mac 客户端Windows 客户端微信小程序
定价
高级版会员购买积分包购买API积分包
服务
文献检索文档翻译深度研究API 文档MCP 服务
关于我们
关于 Suppr公司介绍联系我们用户协议隐私条款
关注我们

Suppr 超能文献

核心技术专利:CN118964589B侵权必究
粤ICP备2023148730 号-1Suppr @ 2026

文献检索

告别复杂PubMed语法,用中文像聊天一样搜索,搜遍4000万医学文献。AI智能推荐,让科研检索更轻松。

立即免费搜索

文件翻译

保留排版,准确专业,支持PDF/Word/PPT等文件格式,支持 12+语言互译。

免费翻译文档

深度研究

AI帮你快速写综述,25分钟生成高质量综述,智能提取关键信息,辅助科研写作。

立即免费体验

-1°C下北极海水中分散油的生物降解

Biodegradation of dispersed oil in Arctic seawater at -1°C.

作者信息

McFarlin Kelly M, Prince Roger C, Perkins Robert, Leigh Mary Beth

机构信息

Institute of Arctic Biology, University of Alaska Fairbanks, Fairbanks, Alaska, United States of America.

ExxonMobil Biomedical Sciences, Inc., Annandale, New Jersey, United States of America.

出版信息

PLoS One. 2014 Jan 8;9(1):e84297. doi: 10.1371/journal.pone.0084297. eCollection 2014.

DOI:10.1371/journal.pone.0084297
PMID:24416211
原文链接:https://pmc.ncbi.nlm.nih.gov/articles/PMC3885550/
Abstract

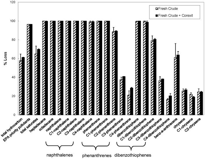
As offshore oil and gas exploration expands in the Arctic, it is important to expand the scientific understanding of arctic ecology and environmental impact to mitigate operational risks. Understanding the fate of oil in arctic seawater is a key factor for consideration. Here we report the chemical loss due to the biodegradation of Alaska North Slope (ANS) crude oil that would occur in the water column following the successful dispersion of a surface oil slick. Primary biodegradation and mineralization were measured in mesocosms containing Arctic seawater collected from the Chukchi Sea, Alaska, incubated at -1°C. Indigenous microorganisms degraded both fresh and weathered oil, in both the presence and absence of Corexit 9500, with oil losses ranging from 46-61% and up to 11% mineralization over 60 days. When tested alone, 14% of 50 ppm Corexit 9500 was mineralized within 60 days. Our study reveals that microorganisms indigenous to Arctic seawater are capable of performing extensive biodegradation of chemically and physically dispersed oil at an environmentally relevant temperature (-1°C) without any additional nutrients.

摘要

随着北极地区海上油气勘探的扩大,扩大对北极生态和环境影响的科学认识以降低运营风险至关重要。了解北极海水中石油的归宿是一个关键的考虑因素。在此,我们报告了阿拉斯加北坡(ANS)原油在水面油膜成功分散后在水柱中因生物降解而导致的化学损失。在含有从阿拉斯加楚科奇海采集的北极海水的中宇宙中,于-1°C下培养,测量了初级生物降解和矿化情况。本地微生物在有和没有Corexit 9500的情况下,都能降解新鲜和风化的油,在60天内油损失率为46%-61%,矿化率高达11%。单独测试时,50 ppm的Corexit 9500在60天内有14%被矿化。我们的研究表明,北极海水的本地微生物能够在环境相关温度(-1°C)下对化学和物理分散的油进行广泛的生物降解,无需任何额外的营养物质。

https://cdn.ncbi.nlm.nih.gov/pmc/blobs/9ff9/3885550/d5da96294550/pone.0084297.g005.jpg
https://cdn.ncbi.nlm.nih.gov/pmc/blobs/9ff9/3885550/9e74d336a01e/pone.0084297.g001.jpg
https://cdn.ncbi.nlm.nih.gov/pmc/blobs/9ff9/3885550/a47ee1c5b489/pone.0084297.g002.jpg
https://cdn.ncbi.nlm.nih.gov/pmc/blobs/9ff9/3885550/a6c82c8429f7/pone.0084297.g003.jpg
https://cdn.ncbi.nlm.nih.gov/pmc/blobs/9ff9/3885550/8376f5dd9e2a/pone.0084297.g004.jpg
https://cdn.ncbi.nlm.nih.gov/pmc/blobs/9ff9/3885550/d5da96294550/pone.0084297.g005.jpg
https://cdn.ncbi.nlm.nih.gov/pmc/blobs/9ff9/3885550/9e74d336a01e/pone.0084297.g001.jpg
https://cdn.ncbi.nlm.nih.gov/pmc/blobs/9ff9/3885550/a47ee1c5b489/pone.0084297.g002.jpg
https://cdn.ncbi.nlm.nih.gov/pmc/blobs/9ff9/3885550/a6c82c8429f7/pone.0084297.g003.jpg
https://cdn.ncbi.nlm.nih.gov/pmc/blobs/9ff9/3885550/8376f5dd9e2a/pone.0084297.g004.jpg
https://cdn.ncbi.nlm.nih.gov/pmc/blobs/9ff9/3885550/d5da96294550/pone.0084297.g005.jpg

相似文献

1
Biodegradation of dispersed oil in Arctic seawater at -1°C.-1°C下北极海水中分散油的生物降解
PLoS One. 2014 Jan 8;9(1):e84297. doi: 10.1371/journal.pone.0084297. eCollection 2014.
2
The Interactive Effects of Crude Oil and Corexit 9500 on Their Biodegradation in Arctic Seawater.原油和科雷希特 9500 在北极海水中的生物降解的交互作用。
Appl Environ Microbiol. 2020 Oct 15;86(21). doi: 10.1128/AEM.01194-20.
3
The primary biodegradation of dispersed crude oil in the sea.海水中分散原油的初步生物降解。
Chemosphere. 2013 Jan;90(2):521-6. doi: 10.1016/j.chemosphere.2012.08.020. Epub 2012 Sep 8.
4
Assessment of crude oil biodegradation in arctic seashore sediments: effects of temperature, salinity, and crude oil concentration.北极海岸沉积物中原油生物降解的评估:温度、盐度和原油浓度的影响
Environ Sci Pollut Res Int. 2016 Aug;23(15):14881-8. doi: 10.1007/s11356-016-6601-9. Epub 2016 Apr 13.
5
Microbial communities in seawater from an Arctic and a temperate Norwegian fjord and their potentials for biodegradation of chemically dispersed oil at low seawater temperatures.北极和挪威温带峡湾海水中的微生物群落及其在低温海水条件下生物降解化学分散油的潜力。
Mar Pollut Bull. 2018 Apr;129(1):308-317. doi: 10.1016/j.marpolbul.2018.02.024. Epub 2018 Mar 23.
6
Biodegradation of weathered crude oil in seawater with frazil ice.海冰中海油的生物降解。
Mar Pollut Bull. 2020 May;154:111090. doi: 10.1016/j.marpolbul.2020.111090. Epub 2020 Apr 6.
7
Biodegradation of weathered crude oil by microbial communities in solid and melted sea ice.微生物群落对固态和融化态海冰中风化原油的生物降解作用。
Mar Pollut Bull. 2021 Nov;172:112823. doi: 10.1016/j.marpolbul.2021.112823. Epub 2021 Aug 27.
8
Biodegradation of Crude Oil and Corexit 9500 in Arctic Seawater.北极海水中原油和Corexit 9500的生物降解
Front Microbiol. 2018 Aug 6;9:1788. doi: 10.3389/fmicb.2018.01788. eCollection 2018.
9
Biodegradation-mediated alterations in acute toxicity of water-accommodated fraction and single crude oil components in cold seawater.在冷水环境中,生物降解介导的水容纳部分和单一原油成分急性毒性的变化。
Chemosphere. 2018 Aug;204:87-91. doi: 10.1016/j.chemosphere.2018.04.032. Epub 2018 Apr 6.
10
Biodegradation of dispersed Macondo oil in seawater at low temperature and different oil droplet sizes.低温及不同油滴尺寸条件下,马孔多分散油在海水中的生物降解作用。
Mar Pollut Bull. 2015 Apr 15;93(1-2):144-52. doi: 10.1016/j.marpolbul.2015.02.006. Epub 2015 Mar 5.

引用本文的文献

1
Oil spill surface washing agents and chemical herders drive microbial community structure impacting biodegradation.溢油表面清洗剂和化学集油剂会驱动微生物群落结构,进而影响生物降解。
Appl Environ Microbiol. 2025 May 21;91(5):e0233424. doi: 10.1128/aem.02334-24. Epub 2025 Apr 22.
2
Isolation and characterization of thermotolerant hydrocarbon degrading bacteria which sustained the activity at extreme salinity and high osmotic conditions.耐盐和高渗条件下具有活性的耐热烃降解菌的分离与特性研究
Mol Biol Res Commun. 2025;14(1):37-46. doi: 10.22099/mbrc.2024.49747.1946.
3
High Arctic seawater and coastal soil microbiome co-occurrence and composition structure and their potential hydrocarbon biodegradation.

本文引用的文献

1
A protocol for assessing the effectiveness of oil spill dispersants in stimulating the biodegradation of oil.一项评估溢油分散剂在促进石油生物降解方面有效性的方案。
Environ Sci Pollut Res Int. 2014;21(16):9506-10. doi: 10.1007/s11356-013-2053-7. Epub 2013 Aug 13.
2
Lab tests on the biodegradation of chemically dispersed oil should consider the rapid dilution that occurs at sea.实验室测试化学分散油的生物降解时应考虑到在海洋中发生的快速稀释。
Mar Pollut Bull. 2013 Aug 15;73(1):314-8. doi: 10.1016/j.marpolbul.2013.06.005. Epub 2013 Jun 27.
3
Microbial Response to the MC-252 Oil and Corexit 9500 in the Gulf of Mexico.
北极高纬度地区海水与沿海土壤微生物群落的共生关系、组成结构及其潜在的烃类生物降解作用
ISME Commun. 2024 Jul 16;4(1):ycae100. doi: 10.1093/ismeco/ycae100. eCollection 2024 Jan.
4
Crude Oil Degradation in Temperatures Below the Freezing Point by Bacteria from Hydrocarbon-Contaminated Arctic Soils and the Genome Analysis of sp. AR_OL41.来自受烃污染北极土壤的细菌对低于冰点温度下原油的降解及菌株AR_OL41的基因组分析
Microorganisms. 2023 Dec 30;12(1):79. doi: 10.3390/microorganisms12010079.
5
Impacts of dispersants on microbial communities and ecological systems.分散剂对微生物群落和生态系统的影响。
Appl Microbiol Biotechnol. 2023 Feb;107(4):1095-1106. doi: 10.1007/s00253-022-12332-z. Epub 2023 Jan 17.
6
Metatranscriptomic shifts suggest shared biodegradation pathways for Corexit 9500 components and crude oil in Arctic seawater.元转录组学变化表明,Corexit 9500 成分和北极海水中的原油具有共同的生物降解途径。
Environ Microbiol Rep. 2023 Feb;15(1):51-59. doi: 10.1111/1758-2229.13127. Epub 2022 Sep 29.
7
Dispersants as an oil spill clean-up technique in the marine environment: A review.海洋环境中作为溢油清理技术的分散剂:综述
Heliyon. 2022 Aug 10;8(8):e10153. doi: 10.1016/j.heliyon.2022.e10153. eCollection 2022 Aug.
8
Predicting Primary Biodegradation of Petroleum Hydrocarbons in Aquatic Systems: Integrating System and Molecular Structure Parameters using a Novel Machine-Learning Framework.预测水生系统中石油烃的初次生物降解:利用新型机器学习框架整合系统和分子结构参数。
Environ Toxicol Chem. 2022 Jun;41(6):1359-1369. doi: 10.1002/etc.5328. Epub 2022 Apr 29.
9
Mesopelagic microbial community dynamics in response to increasing oil and Corexit 9500 concentrations.对增加的石油和 Corexit 9500 浓度的中层带微生物群落动态的响应。
PLoS One. 2022 Feb 23;17(2):e0263420. doi: 10.1371/journal.pone.0263420. eCollection 2022.
10
Metagenomic and Metatranscriptomic Responses of Chemical Dispersant Application during a Marine Dilbit Spill.在海洋稀释溢油事件中,化学分散剂应用的宏基因组学和宏转录组学响应。
Appl Environ Microbiol. 2022 Mar 8;88(5):e0215121. doi: 10.1128/aem.02151-21. Epub 2022 Jan 12.
微生物对墨西哥湾 MC-252 油和科雷希特 9500 的响应。
Front Microbiol. 2012 Oct 11;3:357. doi: 10.3389/fmicb.2012.00357. eCollection 2012.
4
The primary biodegradation of dispersed crude oil in the sea.海水中分散原油的初步生物降解。
Chemosphere. 2013 Jan;90(2):521-6. doi: 10.1016/j.chemosphere.2012.08.020. Epub 2012 Sep 8.
5
Deep-sea bacteria enriched by oil and dispersant from the Deepwater Horizon spill.从深海地平线溢油事件中富集的深海细菌及分散剂。
Environ Microbiol. 2012 Sep;14(9):2405-16. doi: 10.1111/j.1462-2920.2012.02780.x. Epub 2012 May 23.
6
17.alpha.(H)-21.beta.(H)-hopane as a conserved internal marker for estimating the biodegradation of crude oil.17α(H)-21β(H)-藿烷作为估算原油生物降解程度的保守内部标志物。
Environ Sci Technol. 1994 Jan 1;28(1):142-5. doi: 10.1021/es00050a019.
7
First evidence of mineralization of petroleum asphaltenes by a strain of Neosartorya fischeri.首例石油沥青质矿化作用的证据来自于弗吉尼亚曲霉的一个菌株。
Microb Biotechnol. 2011 Sep;4(5):663-72. doi: 10.1111/j.1751-7915.2011.00269.x. Epub 2011 May 30.
8
Kinetic modeling and half life study on bioremediation of crude oil dispersed by Corexit 9500.生物修复分散在 Corexit 9500 中的原油的动力学建模和半衰期研究。
J Hazard Mater. 2011 Jan 30;185(2-3):1027-31. doi: 10.1016/j.jhazmat.2010.10.009. Epub 2010 Oct 30.
9
Deep-sea oil plume enriches indigenous oil-degrading bacteria.深海油迹使土著石油降解菌更加丰富。
Science. 2010 Oct 8;330(6001):204-8. doi: 10.1126/science.1195979. Epub 2010 Aug 24.
10
Evaluating crude oil chemical dispersion efficacy in a flow-through wave tank under regular non-breaking wave and breaking wave conditions.在规则非破碎波和破碎波条件下,在流通式波浪水槽中评估原油化学分散效果。
Mar Pollut Bull. 2009 May;58(5):735-44. doi: 10.1016/j.marpolbul.2008.12.014. Epub 2009 Jan 20.