Suppr超能文献

黄酮类化合物的化学性质与生物活性:综述

Chemistry and biological activities of flavonoids: an overview.

作者信息

Kumar Shashank, Pandey Abhay K

机构信息

Department of Biochemistry, University of Allahabad, Allahabad 211002, India.

出版信息

ScientificWorldJournal. 2013 Dec 29;2013:162750. doi: 10.1155/2013/162750. eCollection 2013.

Abstract

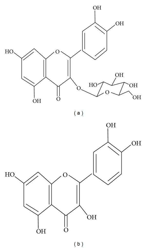
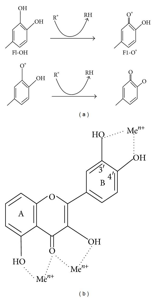
There has been increasing interest in the research on flavonoids from plant sources because of their versatile health benefits reported in various epidemiological studies. Since flavonoids are directly associated with human dietary ingredients and health, there is need to evaluate structure and function relationship. The bioavailability, metabolism, and biological activity of flavonoids depend upon the configuration, total number of hydroxyl groups, and substitution of functional groups about their nuclear structure. Fruits and vegetables are the main dietary sources of flavonoids for humans, along with tea and wine. Most recent researches have focused on the health aspects of flavonoids for humans. Many flavonoids are shown to have antioxidative activity, free radical scavenging capacity, coronary heart disease prevention, hepatoprotective, anti-inflammatory, and anticancer activities, while some flavonoids exhibit potential antiviral activities. In plant systems, flavonoids help in combating oxidative stress and act as growth regulators. For pharmaceutical purposes cost-effective bulk production of different types of flavonoids has been made possible with the help of microbial biotechnology. This review highlights the structural features of flavonoids, their beneficial roles in human health, and significance in plants as well as their microbial production.

摘要

由于各种流行病学研究报告了黄酮类化合物具有多种健康益处,因此对植物来源黄酮类化合物的研究兴趣与日俱增。由于黄酮类化合物与人类饮食成分和健康直接相关,因此有必要评估其结构与功能的关系。黄酮类化合物的生物利用度、代谢和生物活性取决于其构型、羟基总数以及其核结构上官能团的取代情况。水果和蔬菜是人类黄酮类化合物的主要饮食来源,茶和葡萄酒也是。最近的研究主要集中在黄酮类化合物对人类健康的影响方面。许多黄酮类化合物具有抗氧化活性、自由基清除能力、预防冠心病、保肝、抗炎和抗癌活性,而一些黄酮类化合物还具有潜在的抗病毒活性。在植物系统中,黄酮类化合物有助于抵抗氧化应激并充当生长调节剂。借助微生物生物技术,已实现了不同类型黄酮类化合物的经济高效批量生产。本综述重点介绍了黄酮类化合物的结构特征、它们在人类健康中的有益作用、在植物中的重要性以及它们的微生物生产。

https://cdn.ncbi.nlm.nih.gov/pmc/blobs/5d52/3891543/ddf696854bd3/TSWJ2013-162750.001.jpg

文献AI研究员

20分钟写一篇综述,助力文献阅读效率提升50倍。

立即体验

用中文搜PubMed

大模型驱动的PubMed中文搜索引擎

马上搜索

文档翻译

学术文献翻译模型,支持多种主流文档格式。

立即体验