• 文献检索
  • 文档翻译
  • 深度研究
  • 学术资讯
  • Suppr Zotero 插件Zotero 插件
  • 邀请有礼
  • 套餐&价格
  • 历史记录
应用&插件
Suppr Zotero 插件Zotero 插件浏览器插件Mac 客户端Windows 客户端微信小程序
定价
高级版会员购买积分包购买API积分包
服务
文献检索文档翻译深度研究API 文档MCP 服务
关于我们
关于 Suppr公司介绍联系我们用户协议隐私条款
关注我们

Suppr 超能文献

核心技术专利:CN118964589B侵权必究
粤ICP备2023148730 号-1Suppr @ 2026

文献检索

告别复杂PubMed语法,用中文像聊天一样搜索,搜遍4000万医学文献。AI智能推荐,让科研检索更轻松。

立即免费搜索

文件翻译

保留排版,准确专业,支持PDF/Word/PPT等文件格式,支持 12+语言互译。

免费翻译文档

深度研究

AI帮你快速写综述,25分钟生成高质量综述,智能提取关键信息,辅助科研写作。

立即免费体验

通过定量聚合酶链反应对七个中国民族的粪便微生物群进行特征分析。

Characterization of fecal microbiota across seven Chinese ethnic groups by quantitative polymerase chain reaction.

作者信息

Kwok Lai-yu, Zhang Jiachao, Guo Zhuang, Gesudu Qimu, Zheng Yi, Qiao Jianmin, Huo Dongxue, Zhang Heping

机构信息

Key Laboratory of Dairy Biotechnology and Bioengineering, Education Ministry of P. R. China, Department of Food Science and Engineering, Inner Mongolia Agricultural University, Hohhot, Inner Mongolia, P. R. China.

出版信息

PLoS One. 2014 Apr 3;9(4):e93631. doi: 10.1371/journal.pone.0093631. eCollection 2014.

DOI:10.1371/journal.pone.0093631
PMID:24699404
原文链接:https://pmc.ncbi.nlm.nih.gov/articles/PMC3974763/
Abstract

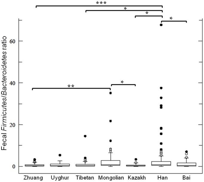
The human gut microbiota consists of complex microbial communities, which possibly play crucial roles in physiological functioning and health maintenance. China has evolved into a multicultural society consisting of the major ethnic group, Han, and 55 official ethnic minority groups. Nowadays, these minority groups inhabit in different Chinese provinces and some of them still keep their unique culture and lifestyle. Currently, only limited data are available on the gut microbiota of these Chinese ethnic groups. In this study, 10 major fecal bacterial groups of 314 healthy individuals from 7 Chinese ethnic origins were enumerated by quantitative polymerase chain reaction. Our data confirmed that the selected bacterial groups were common to all 7 surveyed ethnicities, but the amount of the individual bacterial groups varied to different degree. By principal component and canonical variate analyses of the 314 individuals or the 91 Han subjects, no distinct group clustering pattern was observed. Nevertheless, weak differences were noted between the Han and Zhuang from other ethnic minority groups, and between the Heilongjiang Hans from those of the other provinces. Thus, our results suggest that the ethnic origin may contribute to shaping the human gut microbiota.

摘要

人类肠道微生物群由复杂的微生物群落组成,这些群落可能在生理功能和健康维持中发挥关键作用。中国已发展成为一个多元文化社会,主要民族为汉族,还有55个法定少数民族。如今,这些少数民族居住在中国不同省份,其中一些仍保留着独特的文化和生活方式。目前,关于这些中国少数民族肠道微生物群的数据有限。在本研究中,通过定量聚合酶链反应对来自7个中国民族的314名健康个体的10种主要粪便细菌群进行了计数。我们的数据证实,所选细菌群在所有7个被调查民族中都很常见,但各个细菌群的数量在不同程度上有所差异。通过对314名个体或91名汉族受试者进行主成分分析和典型变量分析,未观察到明显的群体聚类模式。然而,汉族与其他少数民族中的壮族之间,以及黑龙江省汉族与其他省份汉族之间存在细微差异。因此,我们的结果表明,民族起源可能有助于塑造人类肠道微生物群。

https://cdn.ncbi.nlm.nih.gov/pmc/blobs/892d/3974763/c1dd3acf3546/pone.0093631.g005.jpg
https://cdn.ncbi.nlm.nih.gov/pmc/blobs/892d/3974763/96a79f6d6833/pone.0093631.g001.jpg
https://cdn.ncbi.nlm.nih.gov/pmc/blobs/892d/3974763/05481bdf3aa0/pone.0093631.g002.jpg
https://cdn.ncbi.nlm.nih.gov/pmc/blobs/892d/3974763/0eb396d1d481/pone.0093631.g003.jpg
https://cdn.ncbi.nlm.nih.gov/pmc/blobs/892d/3974763/546c5cec0c9a/pone.0093631.g004.jpg
https://cdn.ncbi.nlm.nih.gov/pmc/blobs/892d/3974763/c1dd3acf3546/pone.0093631.g005.jpg
https://cdn.ncbi.nlm.nih.gov/pmc/blobs/892d/3974763/96a79f6d6833/pone.0093631.g001.jpg
https://cdn.ncbi.nlm.nih.gov/pmc/blobs/892d/3974763/05481bdf3aa0/pone.0093631.g002.jpg
https://cdn.ncbi.nlm.nih.gov/pmc/blobs/892d/3974763/0eb396d1d481/pone.0093631.g003.jpg
https://cdn.ncbi.nlm.nih.gov/pmc/blobs/892d/3974763/546c5cec0c9a/pone.0093631.g004.jpg
https://cdn.ncbi.nlm.nih.gov/pmc/blobs/892d/3974763/c1dd3acf3546/pone.0093631.g005.jpg

相似文献

1
Characterization of fecal microbiota across seven Chinese ethnic groups by quantitative polymerase chain reaction.通过定量聚合酶链反应对七个中国民族的粪便微生物群进行特征分析。
PLoS One. 2014 Apr 3;9(4):e93631. doi: 10.1371/journal.pone.0093631. eCollection 2014.
2
Chinese gut microbiota and its associations with staple food type, ethnicity, and urbanization.中国肠道微生物群及其与主食类型、民族和城市化的关联。
NPJ Biofilms Microbiomes. 2021 Sep 6;7(1):71. doi: 10.1038/s41522-021-00245-0.
3
Comparative analyses of fecal microbiota in Tibetan and Chinese Han living at low or high altitude by barcoded 454 pyrosequencing.通过条形码454焦磷酸测序对生活在高海拔或低海拔地区的藏族和汉族人群粪便微生物群进行比较分析。
Sci Rep. 2015 Oct 7;5:14682. doi: 10.1038/srep14682.
4
The Core and Distinction of the Gut Microbiota in Chinese Populations across Geography and Ethnicity.中国不同地域和民族人群肠道微生物群的核心与差异
Microorganisms. 2020 Oct 14;8(10):1579. doi: 10.3390/microorganisms8101579.
5
Comparative analyses of fecal microbiota in Chinese isolated Yao population, minority Zhuang and rural Han by 16sRNA sequencing.基于 16sRNA 测序的中国瑶族隔离人群、壮族少数民族和农村汉族人群粪便微生物组的比较分析。
Sci Rep. 2018 Jan 18;8(1):1142. doi: 10.1038/s41598-017-17851-8.
6
Geographical separation and ethnic origin influence the human gut microbial composition: a meta-analysis from a Malaysian perspective.地理隔离和民族起源影响人类肠道微生物组成:来自马来西亚视角的荟萃分析。
Microb Genom. 2021 Aug;7(8). doi: 10.1099/mgen.0.000619.
7
Comparative analysis of type 2 diabetes-associated gut microbiota between Han and Mongolian people.汉族与蒙古族 2 型糖尿病患者肠道微生物的比较分析。
J Microbiol. 2021 Jul;59(7):693-701. doi: 10.1007/s12275-021-0454-8. Epub 2021 May 15.
8
Depicting the composition of gut microbiota in a population with varied ethnic origins but shared geography.描绘具有不同种族起源但具有相同地理位置的人群的肠道微生物群落组成。
Nat Med. 2018 Oct;24(10):1526-1531. doi: 10.1038/s41591-018-0160-1. Epub 2018 Aug 27.
9
[Gut microbiota in Tibetan, Mongolian and Zhuang children aged 10-12 years old in 2016].2016年10至12岁藏族、蒙古族和壮族儿童的肠道微生物群
Wei Sheng Yan Jiu. 2022 May;51(3):411-416. doi: 10.19813/j.cnki.weishengyanjiu.2022.03.011.
10
Molecular Characterization Of Fecal Microbiota Of Healthy Chinese Tobacco Smoker Subjects In Shaanxi Province, Xi'an China.中国陕西省西安市健康中国烟草吸烟者粪便微生物群的分子特征
J Ayub Med Coll Abbottabad. 2017 Jan-Mar;29(1):3-7.

引用本文的文献

1
Peptidoglycan derived from and suppress TLR2/1-mediated inflammation in bovine endometrial epithelial cells.源自[具体内容]和[具体内容]的肽聚糖可抑制牛子宫内膜上皮细胞中TLR2/1介导的炎症反应。
Front Immunol. 2025 Jun 18;16:1622307. doi: 10.3389/fimmu.2025.1622307. eCollection 2025.
2
Advancements in analytical methods for studying the human gut microbiome.研究人类肠道微生物群的分析方法进展
J Biol Methods. 2024 Nov 18;12(1):e99010038. doi: 10.14440/jbm.2024.0050. eCollection 2025.
3
Influence of ethnic origin on the clinical characteristics and intestinal flora of irritable bowel syndrome: a prospective study between Han and Tibetan patients.

本文引用的文献

1
Probiotics and prebiotics and health in ageing populations.益生菌和益生元与老龄化人口的健康。
Maturitas. 2013 May;75(1):44-50. doi: 10.1016/j.maturitas.2013.02.004. Epub 2013 Mar 11.
2
Human gut microbiome viewed across age and geography.人类肠道微生物组在年龄和地理上的差异。
Nature. 2012 May 9;486(7402):222-7. doi: 10.1038/nature11053.
3
The microbiome as a human organ.微生物组作为人类的一个器官。
民族起源对肠易激综合征临床特征及肠道菌群的影响:汉族与藏族患者的前瞻性研究
Front Med (Lausanne). 2024 Apr 4;11:1359962. doi: 10.3389/fmed.2024.1359962. eCollection 2024.
4
Nutritional and Physiological Properties of : In Vitro Study Using Fecal Fermentation and Intestinal Integrity Models.:使用粪便发酵和肠道完整性模型的体外研究的营养与生理特性
Nutrients. 2024 Feb 21;16(5):588. doi: 10.3390/nu16050588.
5
evaluation of an innovative synbiotics on stage IIIb-IV chronic kidney disease patients.对创新型合生元制剂用于IIIb-IV期慢性肾病患者的评估。
Front Nutr. 2023 Jun 15;10:1215836. doi: 10.3389/fnut.2023.1215836. eCollection 2023.
6
Bioactive nutraceuticals oligo-lactic acid and fermented soy extract alleviate cognitive decline in mice in part anti-neuroinflammation and modulation of gut microbiota.生物活性营养物质低聚乳酸和发酵大豆提取物可部分通过抗神经炎症和调节肠道微生物群来缓解小鼠的认知衰退。
Front Nutr. 2023 Mar 9;10:1116278. doi: 10.3389/fnut.2023.1116278. eCollection 2023.
7
Migration effects on the intestinal microbiota of Tibetans.迁移对藏族人群肠道微生物群的影响。
PeerJ. 2021 Oct 18;9:e12036. doi: 10.7717/peerj.12036. eCollection 2021.
8
Compositional distinction of gut microbiota between Han Chinese and Tibetan populations with liver cirrhosis.汉族和藏族肝硬化患者肠道微生物群的组成差异
PeerJ. 2021 Sep 15;9:e12142. doi: 10.7717/peerj.12142. eCollection 2021.
9
Natural Supplements for COVID19-Background, Rationale, and Clinical Trials.COVID19 天然补充剂:背景、原理和临床试验。
J Evid Based Integr Med. 2021 Jan-Dec;26:2515690X211036875. doi: 10.1177/2515690X211036875.
10
Chronic oral exposure to pesticides and their consequences on metabolic regulation: role of the microbiota.慢性口服暴露于农药及其对代谢调节的影响:微生物组的作用。
Eur J Nutr. 2021 Dec;60(8):4131-4149. doi: 10.1007/s00394-021-02548-6. Epub 2021 Apr 10.
Clin Microbiol Infect. 2012 Jul;18 Suppl 4:2-4. doi: 10.1111/j.1469-0691.2012.03916.x.
4
Molecular methods to measure intestinal bacteria: a review.测量肠道细菌的分子方法:综述
J AOAC Int. 2012 Jan-Feb;95(1):5-23. doi: 10.5740/jaoacint.sge_inglis.
5
The impact of the gut microbiota on human health: an integrative view.肠道微生物群对人类健康的影响:综合观点。
Cell. 2012 Mar 16;148(6):1258-70. doi: 10.1016/j.cell.2012.01.035.
6
Gut matters: microbe-host interactions in allergic diseases.肠道问题:过敏性疾病中的微生物-宿主相互作用。
J Allergy Clin Immunol. 2012 Jun;129(6):1452-9. doi: 10.1016/j.jaci.2011.12.993. Epub 2012 Feb 8.
7
The currently used commercial DNA-extraction methods give different results of clostridial and actinobacterial populations derived from human fecal samples.目前使用的商业 DNA 提取方法从人类粪便样本中得到的梭菌属和放线菌属种群的结果不同。
FEMS Microbiol Ecol. 2012 Mar;79(3):697-708. doi: 10.1111/j.1574-6941.2011.01257.x. Epub 2011 Dec 13.
8
The microbiome and rheumatoid arthritis.微生物组与类风湿关节炎。
Nat Rev Rheumatol. 2011 Aug 23;7(10):569-78. doi: 10.1038/nrrheum.2011.121.
9
The active human gut microbiota differs from the total microbiota.人体肠道活跃微生物群与总微生物群不同。
PLoS One. 2011;6(7):e22448. doi: 10.1371/journal.pone.0022448. Epub 2011 Jul 28.
10
Comparative analysis of Korean human gut microbiota by barcoded pyrosequencing.基于条码焦磷酸测序的韩国人体肠道微生物多样性的比较分析
PLoS One. 2011;6(7):e22109. doi: 10.1371/journal.pone.0022109. Epub 2011 Jul 29.