Suppr超能文献

蓝藻中提取的藻胆蛋白色素的定量分析——分光光度法和荧光分光光度法的评估

Quantitative analysis of extracted phycobilin pigments in cyanobacteria-an assessment of spectrophotometric and spectrofluorometric methods.

作者信息

Sobiechowska-Sasim Monika, Stoń-Egiert Joanna, Kosakowska Alicja

机构信息

Institute of Oceanology, Polish Academy of Sciences, P.O. box 148, Powstańców Warszawy 55, 81-712 Sopot, Poland.

出版信息

J Appl Phycol. 2014;26(5):2065-2074. doi: 10.1007/s10811-014-0244-3. Epub 2014 Feb 4.

Abstract

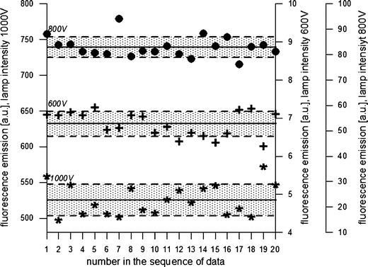
Phycobilins are an important group of pigments that through complementary chromatic adaptation optimize the light-harvesting process in phytoplankton cells, exhibiting great potential as cyanobacteria species biomarkers. In their extracted form, concentrations of these water-soluble molecules are not easily determined using the chromatographic methods well suited to solvent-soluble pigments. Insights regarding the quantitative spectroscopic analysis of extracted phycobilins also remain limited. Here, we present an in-depth study of two methods that utilize the spectral properties of phycobilins in aqueous extracts. The technical work was carried out using high-purity standards of phycocyanin, phycoerythrin, and allophycocyanin. Calibration parameters for the spectrofluorometer and spectrophotometer were established. This analysis indicated the possibility of detecting pigments in concentrations ranging from 0.001 to 10 μg cm. Fluorescence data revealed a reproducibility of 95 %. The differences in detection limits between the two methods enable the presence of phycobilins to be investigated and their amounts to be monitored from oligotrophic to eutrophic aquatic environments.

摘要

藻胆蛋白是一类重要的色素,通过互补色适应优化浮游植物细胞中的光捕获过程,作为蓝藻物种生物标志物具有巨大潜力。以提取形式存在时,这些水溶性分子的浓度不易用适用于溶剂溶性色素的色谱方法测定。关于提取的藻胆蛋白定量光谱分析的见解也仍然有限。在此,我们对两种利用藻胆蛋白在水提取物中的光谱特性的方法进行了深入研究。技术工作使用了藻蓝蛋白、藻红蛋白和别藻蓝蛋白的高纯度标准品。建立了荧光分光光度计和分光光度计的校准参数。该分析表明能够检测浓度范围为0.001至10μg/cm的色素。荧光数据显示重现性为95%。这两种方法检测限的差异使得能够在贫营养到富营养的水生环境中研究藻胆蛋白的存在并监测其含量。

https://cdn.ncbi.nlm.nih.gov/pmc/blobs/d8b1/4200375/7dd612e2ccc6/10811_2014_244_Fig1_HTML.jpg

文献检索

告别复杂PubMed语法,用中文像聊天一样搜索,搜遍4000万医学文献。AI智能推荐,让科研检索更轻松。

立即免费搜索

文件翻译

保留排版,准确专业,支持PDF/Word/PPT等文件格式,支持 12+语言互译。

免费翻译文档

深度研究

AI帮你快速写综述,25分钟生成高质量综述,智能提取关键信息,辅助科研写作。

立即免费体验