Suppr超能文献

在60°C或70°C洗涤纺织品后接着进行滚筒烘干的去污水平。

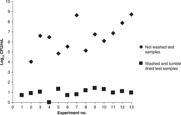
Level of decontamination after washing textiles at 60°C or 70°C followed by tumble drying.

作者信息

Tano Eva, Melhus Asa

机构信息

Department of Medical Sciences/Section of Clinical Bacteriology, Uppsala University, Uppsala, Sweden;

Department of Medical Sciences/Section of Clinical Bacteriology, Uppsala University, Uppsala, Sweden.

出版信息

Infect Ecol Epidemiol. 2014 Nov 11;4:24314. doi: 10.3402/iee.v4.24314. eCollection 2014.

Abstract

BACKGROUND

Several major outbreaks in healthcare facilities have occurred with the emergence of multi-resistant bacteria. A possible route for dissemination is the hospital textiles and inadequate laundering of them. The aim of this study was to develop an easy-to-use method for simulating the laundering process of hospital textiles, and thereafter apply the method when evaluating the decontaminating efficacy of two different washing temperatures.

METHODS

The laundering process, including tumble drying, took place at two professional laundries. Enterococcus faecium was used as bioindicator.

RESULTS

The results showed that a lowering of the washing temperature from 70°C to 60°C did not affect the decontamination efficacy; the washing cycle alone reduced the number of bacteria with 3-5 log10 CFU, whereas the following tumble drying reduced the bacterial numbers with another 3-4 log10 CFU, yielding the same final result independent of washing temperature. Without tumble drying, there was an obvious risk of adding non-fermenting gram-negative bacteria to the fabric. These bacteria originated from the washing cycle.

CONCLUSION

A simple method to simulate hospital laundering was developed. To save energy, it is possible to use a washing temperature of 60°C, but the washing cycle should be followed by tumble drying, and the whole laundering process needs to be monitored to maintain sufficient textile hygiene.

摘要

背景

随着多重耐药菌的出现,医疗机构发生了几起重大疫情。医院纺织品及其洗涤不充分可能是传播途径之一。本研究的目的是开发一种易于使用的方法来模拟医院纺织品的洗涤过程,然后在评估两种不同洗涤温度的去污效果时应用该方法。

方法

洗涤过程,包括滚筒烘干,在两家专业洗衣店进行。粪肠球菌用作生物指示剂。

结果

结果表明,洗涤温度从70°C降至60°C并不影响去污效果;仅洗涤周期就能使细菌数量减少3-5个对数10 CFU,而随后的滚筒烘干又能使细菌数量减少3-4个对数10 CFU,无论洗涤温度如何,最终结果相同。不进行滚筒烘干时,织物明显有添加非发酵革兰氏阴性菌的风险。这些细菌源自洗涤周期。

结论

开发了一种模拟医院洗涤的简单方法。为了节约能源,可以使用60°C的洗涤温度,但洗涤周期后应进行滚筒烘干,并且需要对整个洗涤过程进行监测,以保持足够的纺织品卫生。

https://cdn.ncbi.nlm.nih.gov/pmc/blobs/4a9a/4229498/16d73fad7487/IEE-4-24314-g001.jpg

相似文献

1
Level of decontamination after washing textiles at 60°C or 70°C followed by tumble drying.
Infect Ecol Epidemiol. 2014 Nov 11;4:24314. doi: 10.3402/iee.v4.24314. eCollection 2014.
3
Impact of wash cycle time, temperature and detergent formulation on the hygiene effectiveness of domestic laundering.
J Appl Microbiol. 2014 Dec;117(6):1787-97. doi: 10.1111/jam.12647. Epub 2014 Oct 13.
4
Efficacy of laundering and tumble-drying in reducing microbial contamination of wastewater treatment plant worker coveralls.
Am J Infect Control. 2019 May;47(5):527-533. doi: 10.1016/j.ajic.2018.11.007. Epub 2018 Dec 18.
5
Killing of fabric-associated bacteria in hospital laundry by low-temperature washing.
J Infect Dis. 1984 Jan;149(1):48-57. doi: 10.1093/infdis/149.1.48.
6
The impact of fabric conditioning products and lint filter pore size on airborne microfiber pollution arising from tumble drying.
PLoS One. 2022 Apr 6;17(4):e0265912. doi: 10.1371/journal.pone.0265912. eCollection 2022.
7
Effectiveness of low-temperature domestic laundry on the decontamination of healthcare workers' uniforms.
Infect Control Hosp Epidemiol. 2011 Nov;32(11):1103-8. doi: 10.1086/662183. Epub 2011 Sep 20.
8
Laundering of hospital staff uniforms at home.
J Hosp Infect. 2006 Jan;62(1):89-93. doi: 10.1016/j.jhin.2005.06.002. Epub 2005 Oct 7.
9
Effect of water temperature on bacterial killing in laundry.
Infect Control. 1987 May;8(5):204-9. doi: 10.1017/s0195941700065954.
10
Laundry hygiene-how to get more than clean.
J Appl Microbiol. 2017 May;122(5):1124-1133. doi: 10.1111/jam.13402. Epub 2017 Feb 15.

引用本文的文献

1
Demonstration of a Home Laundering Method for Cloth Facepieces to Achieve Hygienic and Sustainable Reuse.
New Solut. 2025 Aug;35(2):173-187. doi: 10.1177/10482911251334843. Epub 2025 May 8.
2
Unravelling the hidden side of laundry: malodour, microbiome and pathogenome.
BMC Biol. 2025 Feb 10;23(1):40. doi: 10.1186/s12915-025-02147-5.
4
Optimal home and hospital laundering of reusable surgical scrubs: Systematic literature review.
Health SA. 2023 May 16;28:2097. doi: 10.4102/hsag.v28i0.2097. eCollection 2023.
5
Virucidal Efficacy of Laundering.
Pathogens. 2022 Aug 31;11(9):993. doi: 10.3390/pathogens11090993.
6
Current Understanding of Ultraviolet-C Decontamination of N95 Filtering Facepiece Respirators.
Appl Biosaf. 2021 Jun 1;26(2):90-102. doi: 10.1089/apb.20.0051. Epub 2021 Jun 2.
9
Biological and Chemical Processes that Lead to Textile Malodour Development.
Microorganisms. 2020 Oct 31;8(11):1709. doi: 10.3390/microorganisms8111709.
10
Textile Masks and Surface Covers-A Spray Simulation Method and a "Universal Droplet Reduction Model" Against Respiratory Pandemics.
Front Med (Lausanne). 2020 May 27;7:260. doi: 10.3389/fmed.2020.00260. eCollection 2020.

本文引用的文献

1
Summertime Bacillus cereus colonization of hospital newborns traced to contaminated, laundered linen.
J Hosp Infect. 2013 Oct;85(2):149-54. doi: 10.1016/j.jhin.2013.06.001. Epub 2013 Aug 6.
3
The potential impact of washing machines on laundry malodour generation.
Lett Appl Microbiol. 2013 Apr;56(4):299-306. doi: 10.1111/lam.12050. Epub 2013 Feb 22.
4
Hospital textiles, are they a possible vehicle for healthcare-associated infections?
Int J Environ Res Public Health. 2012 Sep 14;9(9):3330-43. doi: 10.3390/ijerph9093330.
6
Hot and steamy: outbreak of Bacillus cereus in Singapore associated with construction work and laundry practices.
J Hosp Infect. 2012 Aug;81(4):224-30. doi: 10.1016/j.jhin.2012.04.022. Epub 2012 Jun 15.
7
Moraxella species are primarily responsible for generating malodor in laundry.
Appl Environ Microbiol. 2012 May;78(9):3317-24. doi: 10.1128/AEM.07816-11. Epub 2012 Feb 24.
8
Determining the disinfection of textiles in compressed carbon dioxide using various indicator microbes.
J Appl Microbiol. 2012 Mar;112(3):475-84. doi: 10.1111/j.1365-2672.2011.05216.x. Epub 2012 Jan 17.
9
Effectiveness of low-temperature domestic laundry on the decontamination of healthcare workers' uniforms.
Infect Control Hosp Epidemiol. 2011 Nov;32(11):1103-8. doi: 10.1086/662183. Epub 2011 Sep 20.
10
Decontamination of laundry at low temperature with CuWB50, a novel copper-based biocidal compound.
Am J Infect Control. 2009 Aug;37(6):478-83. doi: 10.1016/j.ajic.2008.10.033. Epub 2009 Feb 12.

文献AI研究员

20分钟写一篇综述,助力文献阅读效率提升50倍。

立即体验

用中文搜PubMed

大模型驱动的PubMed中文搜索引擎

马上搜索

文档翻译

学术文献翻译模型,支持多种主流文档格式。

立即体验