Suppr超能文献

来自海洋来源的绿孢链霉菌的硫代孢菌素A-C、噻嗪和噻唑衍生物。

Thiasporines A-C, thiazine and thiazole derivatives from a marine-derived Actinomycetospora chlora.

作者信息

Fu Peng, MacMillan John B

机构信息

Department of Biochemistry, University of Texas Southwestern Medical Center at Dallas, Dallas, Texas 75390, United States.

出版信息

J Nat Prod. 2015 Mar 27;78(3):548-51. doi: 10.1021/np500929z. Epub 2015 Jan 13.

Abstract

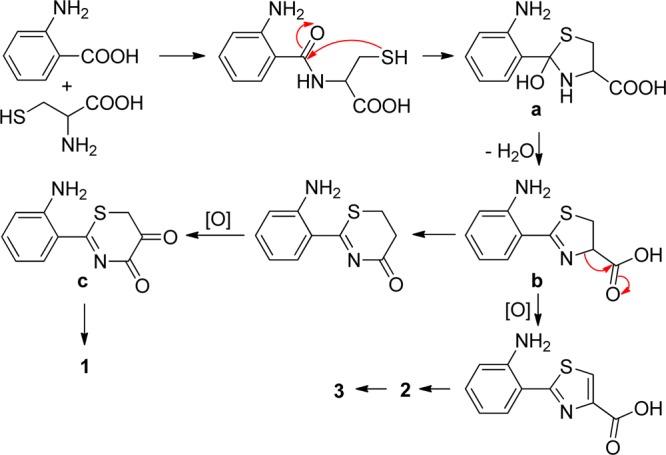
Thiasporine A (1), the first natural product with a 5-hydroxy-4H-1,3-thiazin-4-one moiety, along with two new thiazole derivatives, thiasporines B and C (2 and 3), were isolated from the marine-derived Actinomycetospora chlora SNC-032. The structures of 1-3 were established on the basis of comprehensive spectroscopic analysis and chemical methods. Thiasporine A showed cytotoxicity against the non-small-cell lung cancer cell line H2122 with an IC50 value of 5.4 μM.

摘要

硫代孢菌素A(1)是首个含有5-羟基-4H-1,3-噻嗪-4-酮部分的天然产物,与两种新的噻唑衍生物硫代孢菌素B和C(2和3)一起,从海洋来源的绿产放线孢菌SNC-032中分离得到。通过综合光谱分析和化学方法确定了1-3的结构。硫代孢菌素A对非小细胞肺癌细胞系H2122显示出细胞毒性,IC50值为5.4 μM。

https://cdn.ncbi.nlm.nih.gov/pmc/blobs/8633/4380196/6c2cb18a0104/np-2014-00929z_0003.jpg

文献AI研究员

20分钟写一篇综述,助力文献阅读效率提升50倍。

立即体验

用中文搜PubMed

大模型驱动的PubMed中文搜索引擎

马上搜索

文档翻译

学术文献翻译模型,支持多种主流文档格式。

立即体验