Suppr超能文献

光合碳同化的多基因操作提高了烟草的二氧化碳固定能力和生物量产量。

Multigene manipulation of photosynthetic carbon assimilation increases CO2 fixation and biomass yield in tobacco.

作者信息

Simkin Andrew J, McAusland Lorna, Headland Lauren R, Lawson Tracy, Raines Christine A

机构信息

School of Biological Sciences, Wivenhoe Park, University of Essex, Colchester CO4 3SQ, UK.

School of Biological Sciences, Wivenhoe Park, University of Essex, Colchester CO4 3SQ, UK

出版信息

J Exp Bot. 2015 Jul;66(13):4075-90. doi: 10.1093/jxb/erv204. Epub 2015 May 8.

Abstract

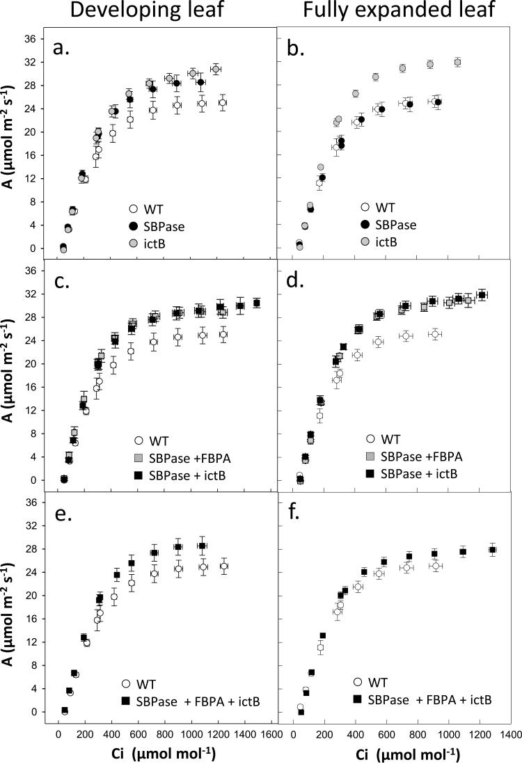
Over the next 40 years it has been estimated that a 50% increase in the yield of grain crops such as wheat and rice will be required to meet the food and fuel demands of the increasing world population. Transgenic tobacco plants have been generated with altered combinations of sedoheptulose-1,7-bisphosphatase, fructose-1,6-bisphosphate aldolase, and the cyanobacterial putative-inorganic carbon transporter B, ictB, of which have all been identified as targets to improve photosynthesis based on empirical studies. It is shown here that increasing the levels of the three proteins individually significantly increases the rate of photosynthetic carbon assimilation, leaf area, and biomass yield. Furthermore, the daily integrated measurements of photosynthesis showed that mature plants fixed between 12-19% more CO2 than the equivalent wild-type plants. Further enhancement of photosynthesis and yield was observed when sedoheptulose-1,7-bisphosphatase, fructose-1,6-bisphosphate aldolase, and ictB were over-expressed together in the same plant. These results demonstrate the potential for the manipulation of photosynthesis, using multigene-stacking approaches, to increase crop yields.

摘要

据估计,在未来40年里,小麦和水稻等谷物作物的产量需要提高50%,才能满足不断增长的世界人口对食物和燃料的需求。已培育出转基因烟草植株,其磷酸景天庚酮糖-1,7-二磷酸酶、果糖-1,6-二磷酸醛缩酶和蓝藻假定无机碳转运体B(ictB)的组合发生了改变,基于实证研究,这些均已被确定为改善光合作用的靶点。本文表明,单独提高这三种蛋白质的水平可显著提高光合碳同化速率、叶面积和生物量产量。此外,光合作用的每日综合测量表明,成熟植株固定的二氧化碳比同等野生型植株多12%-19%。当磷酸景天庚酮糖-1,7-二磷酸酶、果糖-1,6-二磷酸醛缩酶和ictB在同一植株中共同过表达时,观察到光合作用和产量进一步提高。这些结果证明了利用多基因叠加方法调控光合作用以提高作物产量的潜力。

https://cdn.ncbi.nlm.nih.gov/pmc/blobs/35be/4473996/2d73186a4328/exbotj_erv204_f0001.jpg

文献AI研究员

20分钟写一篇综述,助力文献阅读效率提升50倍。

立即体验

用中文搜PubMed

大模型驱动的PubMed中文搜索引擎

马上搜索

文档翻译

学术文献翻译模型,支持多种主流文档格式。

立即体验