Launay Jacques, Dunbar Robin I M
Department of Experimental Psychology, University of Oxford, Oxford, United Kingdom.
PLoS One. 2015 Jun 8;10(6):e0129688. doi: 10.1371/journal.pone.0129688. eCollection 2015.
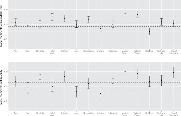
Homophily, the tendency for individuals to associate with those who are most similar to them, has been well documented. However, the influence of different kinds of similarity (e.g. relating to age, music taste, ethical views) in initial preferences for a stranger have not been compared. In the current study, we test for a relationship between sharing a variety of traits (i.e. having different kinds of similarity) with a stranger and the perceived likeability of that stranger. In two online experiments, participants were introduced to a series of virtual partners with whom they shared traits, and subsequently carried out activities designed to measure positivity directed towards those partners. Greater numbers of shared traits led to linearly increasing ratings of partner likeability and ratings on the Inclusion of Other in Self scale. We identified several consistent predictors of these two measures: shared taste in music, religion and ethical views. These kinds of trait are likely to be judged as correlates of personality or social group, and may therefore be used as proxies of more in-depth information about a person who might be socially more relevant.
同质性,即个体倾向于与和自己最相似的人交往,这一点已有充分记载。然而,不同类型的相似性(如年龄、音乐品味、道德观念方面的相似性)对陌生人初始偏好的影响尚未得到比较。在当前的研究中,我们测试了与陌生人共享各种特征(即具有不同类型的相似性)和对该陌生人的感知好感度之间的关系。在两项在线实验中,向参与者介绍了一系列与他们共享特征的虚拟伙伴,随后开展了旨在测量对这些伙伴的积极态度的活动。共享特征的数量越多,对伙伴的好感度评分以及自我接纳他人量表上的评分就呈线性增加。我们确定了这两项测量的几个一致预测因素:音乐品味、宗教信仰和道德观念方面的共享特征。这类特征可能会被视为个性或社会群体的相关因素,因此可以用作关于一个在社交方面可能更具相关性的人的更深入信息的代理指标。