Westerlund Jessica, Graff Pål, Bryngelsson Ing-Liss, Westberg Håkan, Eriksson Kåre, Löfstedt Håkan
Department of Occupational and Environmental Medicine, Faculty of Medicine and Health, Örebro University, SE-701 85 Örebro, Sweden; Department of Clinical Medicine, School of Health Sciences, Örebro University, SE-701 85 Örebro, Sweden;
Department of Occupational and Environmental Medicine, Faculty of Medicine and Health, Örebro University, SE-701 85 Örebro, Sweden;
Ann Occup Hyg. 2015 Oct;59(8):1074-84. doi: 10.1093/annhyg/mev045. Epub 2015 Jul 7.
Chlorination is a method commonly used to keep indoor swimming pool water free from pathogens. However, chlorination of swimming pools produces several potentially hazardous by-products as the chlorine reacts with nitrogen containing organic matter. Up till now, exposure assessments in indoor swimming pools have relied on stationary measurements at the poolside, used as a proxy for personal exposure. However, measurements at fixed locations are known to differ from personal exposure.
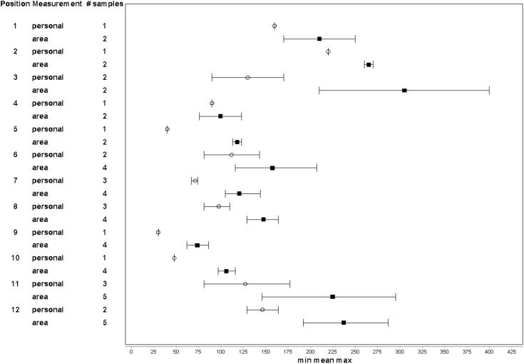
Eight public swimming pool facilities in four Swedish cities were included in this survey. Personal and stationary sampling was performed during day or evening shift. Samplers were placed at different fixed positions around the pool facilities, at ~1.5 m above the floor level and 0-1 m from the poolside. In total, 52 personal and 110 stationary samples of trichloramine and 51 personal and 109 stationary samples of trihalomethanes, were collected.
The average concentration of trichloramine for personal sampling was 71 µg m(-3), ranging from 1 to 240 µg m(-3) and for stationary samples 179 µg m(-3), ranging from 1 to 640 µg m(-3). The air concentrations of chloroform were well below the occupational exposure limit (OEL). For the linear regression analysis and prediction of personal exposure to trichloramine from stationary sampling, only data from personal that spent >50% of their workday in the pool area were included. The linear regression analysis showed a correlation coefficient (r2) of 0.693 and a significant regression coefficient β of 0.621; (95% CI = 0.329-0.912, P = 0.001).
The trichloramine exposure levels determined in this study were well below the recommended air concentration level of 500 µg m(-3); a WHO reference value based on stationary sampling. Our regression data suggest a relation between personal exposure and area sampling of 1:2, implying an OEL of 250 µg m(-3) based on personal sampling.
氯化是一种常用于保持室内游泳池水无病原体的方法。然而,游泳池氯化过程中,氯与含氮有机物反应会产生几种潜在有害的副产物。到目前为止,室内游泳池的暴露评估依赖于池边的固定测量,以此作为个人暴露的替代指标。然而,已知固定位置的测量结果与个人暴露情况不同。
本调查纳入了瑞典四个城市的八个公共游泳池设施。在白天或夜班期间进行个人和固定采样。采样器放置在泳池设施周围不同的固定位置,距离地面约1.5米,距离池边0 - 1米。总共收集了52份个人和110份固定的三氯胺样本,以及51份个人和109份固定的三卤甲烷样本。
个人采样的三氯胺平均浓度为71微克/立方米,范围为1至240微克/立方米;固定样本的平均浓度为179微克/立方米,范围为1至640微克/立方米。氯仿的空气浓度远低于职业暴露限值(OEL)。对于从固定采样进行个人三氯胺暴露的线性回归分析和预测,仅纳入了在泳池区域工作时间超过工作日50%的个人数据。线性回归分析显示相关系数(r2)为0.693,显著回归系数β为0.621;(95%置信区间 = 0.329 - 0.912,P = 0.001)。
本研究确定的三氯胺暴露水平远低于基于固定采样的世界卫生组织参考值500微克/立方米的推荐空气浓度水平。我们的回归数据表明个人暴露与区域采样之间的关系为1:2,这意味着基于个人采样的职业暴露限值为250微克/立方米。