Suppr超能文献

不同观点:黑猩猩能进行二级视角采择吗?

Differing views: Can chimpanzees do Level 2 perspective-taking?

作者信息

Karg Katja, Schmelz Martin, Call Josep, Tomasello Michael

机构信息

Department of Psychology, Max Planck Institute for Evolutionary Anthropology, Leipzig, Germany.

School of Psychology and Neuroscience, University of St Andrews, St Andrews, UK.

出版信息

Anim Cogn. 2016 May;19(3):555-64. doi: 10.1007/s10071-016-0956-7. Epub 2016 Feb 6.

Abstract

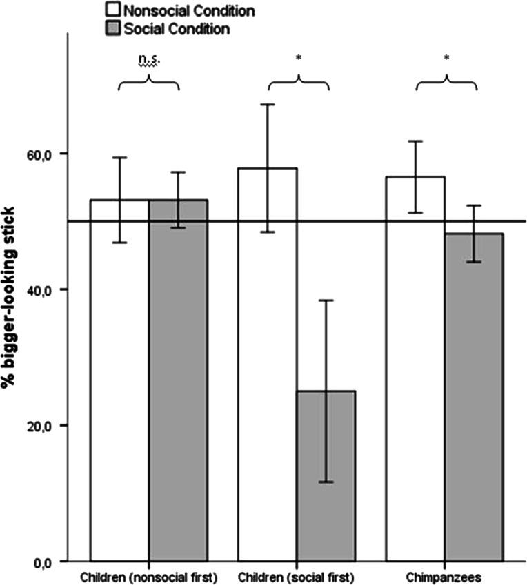
Although chimpanzees understand what others may see, it is unclear whether they understand how others see things (Level 2 perspective-taking). We investigated whether chimpanzees can predict the behavior of a conspecific which is holding a mistaken perspective that differs from their own. The subject competed with a conspecific over two food sticks. While the subject could see that both were the same size, to the competitor one appeared bigger than the other. In a previously established game, the competitor chose one stick in private first and the subject chose thereafter, without knowing which of the sticks was gone. Chimpanzees and 6-year-old children chose the 'riskier' stick (that looked bigger to the competitor) significantly less in the game than in a nonsocial control. Children chose randomly in the control, thus showing Level 2 perspective-taking skills; in contrast, chimpanzees had a preference for the 'riskier' stick here, rendering it possible that they attributed their own preference to the competitor to predict her choice. We thus run a follow-up in which chimpanzees did not have a preference in the control. Now, they also chose randomly in the game. We conclude that chimpanzees solved the task by attributing their own preference to the other, while children truly understood the other's mistaken perspective.

摘要

虽然黑猩猩明白其他个体可能看到什么,但它们是否理解其他个体如何看待事物(二级视角采择)尚不清楚。我们调查了黑猩猩是否能够预测持有与自己不同错误视角的同种个体的行为。实验对象与一个同种个体竞争两根食物棒。虽然实验对象能看到两根食物棒大小相同,但对竞争者来说,其中一根看起来比另一根更大。在之前设定的游戏中,竞争者先私下选择一根食物棒,然后实验对象在不知道哪根食物棒被拿走的情况下进行选择。黑猩猩和6岁儿童在游戏中选择“风险更高”的食物棒(对竞争者来说看起来更大的那根)的次数明显少于非社交控制实验。儿童在控制实验中随机选择,从而表现出二级视角采择能力;相比之下,黑猩猩在这里更倾向于选择“风险更高”的食物棒,这表明它们可能将自己的偏好归因于竞争者来预测其选择。因此,我们进行了一项后续实验,在控制实验中黑猩猩没有偏好。现在,它们在游戏中也随机选择。我们得出结论,黑猩猩通过将自己的偏好归因于其他个体来解决任务,而儿童真正理解了其他个体的错误视角。

https://cdn.ncbi.nlm.nih.gov/pmc/blobs/052e/4824821/03116b74c2d7/10071_2016_956_Fig1_HTML.jpg

相似文献

1
Differing views: Can chimpanzees do Level 2 perspective-taking?
Anim Cogn. 2016 May;19(3):555-64. doi: 10.1007/s10071-016-0956-7. Epub 2016 Feb 6.
2
Chimpanzees predict that a competitor's preference will match their own.
Biol Lett. 2013 Feb 23;9(1):20120829. doi: 10.1098/rsbl.2012.0829.
3
Chimpanzees deceive a human competitor by hiding.
Cognition. 2006 Oct;101(3):495-514. doi: 10.1016/j.cognition.2005.01.011. Epub 2006 Jan 17.
4
Chimpanzees strategically manipulate what others can see.
Anim Cogn. 2015 Sep;18(5):1069-76. doi: 10.1007/s10071-015-0875-z. Epub 2015 May 12.
5
Chimpanzees (Pan troglodytes) know what can be seen from where.
Anim Cogn. 2009 Mar;12(2):317-31. doi: 10.1007/s10071-008-0192-x. Epub 2008 Oct 7.
6
Chimpanzees know that others make inferences.
Proc Natl Acad Sci U S A. 2011 Feb 15;108(7):3077-9. doi: 10.1073/pnas.1000469108. Epub 2011 Jan 31.
7
Inferences about guessing and knowing by chimpanzees (Pan troglodytes).
J Comp Psychol. 1990 Sep;104(3):203-10. doi: 10.1037/0735-7036.104.3.203.
8
Chimpanzees do not take into account what others can hear in a competitive situation.
Anim Cogn. 2008 Jan;11(1):175-8. doi: 10.1007/s10071-007-0097-0. Epub 2007 Jun 9.
9
Chimpanzees really know what others can see in a competitive situation.
Anim Cogn. 2007 Oct;10(4):439-48. doi: 10.1007/s10071-007-0088-1. Epub 2007 Apr 11.

引用本文的文献

2
Domain-specific inferences about conspecifics' skills by chimpanzees.
Sci Rep. 2024 Sep 23;14(1):21996. doi: 10.1038/s41598-024-73340-9.
3
Understanding the neural bases of bodily self-consciousness: recent achievements and main challenges.
Front Integr Neurosci. 2023 Jun 19;17:1145924. doi: 10.3389/fnint.2023.1145924. eCollection 2023.
4
Canine perspective-taking.
Anim Cogn. 2023 Jan;26(1):275-298. doi: 10.1007/s10071-022-01736-z. Epub 2023 Jan 11.
5
The psychological foundations of reputation-based cooperation.
Philos Trans R Soc Lond B Biol Sci. 2021 Nov 22;376(1838):20200287. doi: 10.1098/rstb.2020.0287. Epub 2021 Oct 4.
6
A review of research in primate sanctuaries.
Biol Lett. 2020 Apr;16(4):20200033. doi: 10.1098/rsbl.2020.0033. Epub 2020 Apr 1.
7
In what sense are dogs special? Canine cognition in comparative context.
Learn Behav. 2018 Dec;46(4):335-363. doi: 10.3758/s13420-018-0349-7.
8
Chimpanzees gesture to humans in mirrors: using reflection to dissociate seeing from line of gaze.
Anim Behav. 2018 Jan;135:239-249. doi: 10.1016/j.anbehav.2017.11.014. Epub 2017 Dec 26.
9
Apes track false beliefs but might not understand them.
Learn Behav. 2018 Mar;46(1):3-4. doi: 10.3758/s13420-017-0288-8.

本文引用的文献

1
Chimpanzees strategically manipulate what others can see.
Anim Cogn. 2015 Sep;18(5):1069-76. doi: 10.1007/s10071-015-0875-z. Epub 2015 May 12.
3
Chimpanzees predict that a competitor's preference will match their own.
Biol Lett. 2013 Feb 23;9(1):20120829. doi: 10.1098/rsbl.2012.0829.
4
Wild chimpanzees inform ignorant group members of danger.
Curr Biol. 2012 Jan 24;22(2):142-6. doi: 10.1016/j.cub.2011.11.053. Epub 2011 Dec 29.
5
How does it look? Level 2 perspective-taking at 36 months of age.
Child Dev. 2011 Mar-Apr;82(2):661-73. doi: 10.1111/j.1467-8624.2010.01571.x. Epub 2011 Mar 9.
6
Chimpanzees know that others make inferences.
Proc Natl Acad Sci U S A. 2011 Feb 15;108(7):3077-9. doi: 10.1073/pnas.1000469108. Epub 2011 Jan 31.
7
False-belief understanding in infants.
Trends Cogn Sci. 2010 Mar;14(3):110-8. doi: 10.1016/j.tics.2009.12.006. Epub 2010 Jan 27.
8
Do great apes use emotional expressions to infer desires?
Dev Sci. 2009 Sep;12(5):688-98. doi: 10.1111/j.1467-7687.2008.00802.x.
9
Reaching around barriers: the performance of the great apes and 3-5-year-old children.
Anim Cogn. 2010 Mar;13(2):273-85. doi: 10.1007/s10071-009-0265-5. Epub 2009 Aug 4.
10
A competitive nonverbal false belief task for children and apes.
Dev Sci. 2009 Jul;12(4):521-35. doi: 10.1111/j.1467-7687.2008.00793.x.

文献AI研究员

20分钟写一篇综述,助力文献阅读效率提升50倍。

立即体验

用中文搜PubMed

大模型驱动的PubMed中文搜索引擎

马上搜索

文档翻译

学术文献翻译模型,支持多种主流文档格式。

立即体验