Stelmach-Mardas Marta, Rodacki Tomasz, Dobrowolska-Iwanek Justyna, Brzozowska Anna, Walkowiak Jarosław, Wojtanowska-Krosniak Agnieszka, Zagrodzki Paweł, Bechthold Angela, Mardas Marcin, Boeing Heiner
Department of Epidemiology, German Institute of Human Nutrition Potsdam-Rehbrücke, Nuthetal 14558, Germany.
Department of Pediatric Gastroenterology and Metabolic Diseases, Poznan University of Medical Sciences, Poznań 60-572, Poland.
Nutrients. 2016 Apr 20;8(4):229. doi: 10.3390/nu8040229.
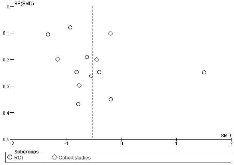
Regulating the energy density of food could be used as a novel approach for successful body weight reduction in clinical practice. The aim of this study was to conduct a systemic review of the literature on the relationship between food energy density and body weight changes in obese adults to obtain solid evidence supporting this approach. The search process was based on the selection of publications in the English language listed in public databases. A meta-analysis was performed to combine individual study results. Thirteen experimental and observational studies were identified and included in the final analysis. The analyzed populations consist of 3628 individuals aged 18 to 66 years. The studies varied greatly in terms of study populations, study design and applied dietary approaches. The meta-analysis revealed a significant association between low energy density foods and body weight reduction, i.e., -0.53 kg when low energy density foods were eaten (95% CI: -0.88, -0.19). In conclusions, this study adds evidence which supports the energy density of food as a simple but effective measure to manage weight in the obese with the aim of weight reduction.
调节食物的能量密度可作为临床实践中成功减轻体重的一种新方法。本研究的目的是对关于肥胖成年人食物能量密度与体重变化之间关系的文献进行系统综述,以获得支持该方法的确凿证据。检索过程基于从公共数据库中筛选列出的英文出版物。进行了荟萃分析以合并个体研究结果。共识别出13项实验性和观察性研究并纳入最终分析。分析的人群包括3628名年龄在18至66岁之间的个体。这些研究在研究人群、研究设计和应用的饮食方法方面差异很大。荟萃分析显示低能量密度食物与体重减轻之间存在显著关联,即食用低能量密度食物时体重减轻0.53千克(95%置信区间:-0.88,-0.19)。总之,本研究补充了证据,支持将食物能量密度作为一种简单而有效的措施来管理肥胖者的体重以实现减重目的。