Suppr超能文献

眼压-角膜厚度测量法在非手术眼和准分子激光原位角膜磨镶术后眼测量校正眼压的有效性

Validity of Tono-pachymetry for Measuring Corrected Intraocular Pressure in Non-surgical and Post-photorefractive Keratectomy Eyes.

作者信息

Hahn In Kyun, Kim Jae Yong, Kim Myoung Joon, Tchah Hungwon, Moon Chan Hee

机构信息

Department of Ophthalmology, Asan Medical Center, University of Ulsan College of Medicine, Seoul, Korea.

Department of Ophthalmology, Asan Medical Center, University of Ulsan College of Medicine, Seoul, Korea.; Department of Ophthalmology, Aerospace Medical Center, Republic of Korea Air Force, Cheongju, Korea.

出版信息

Korean J Ophthalmol. 2017 Feb;31(1):44-51. doi: 10.3341/kjo.2017.31.1.44. Epub 2017 Feb 2.

Abstract

PURPOSE

To assess the validity of central corneal thickness (CCT) and corrected intraocular pressure (IOP) values obtained by tono-pachymetry in non-surgical and post-photorefractive keratectomy (PRK) eyes.

METHODS

For the study, 108 young healthy participants and 108 patients who had PRK were enrolled. Measurements were randomly performed by tono-pachymetry, ultrasonic (US) pachymetry, and Goldmann applanation tonometry (GAT). CCT measurement by tono-pachymetry was compared to that of US pachymetry. The corrected IOP value obtained by tono-pachymetry was compared to that obtained by US pachymetry and GAT. The corrected IOP from US pachymetry and GAT was calculated using the identical compensation formula built into the tono-pachymetry. Bland-Altman plot and paired -test were conducted to evaluate the between-method agreements.

RESULTS

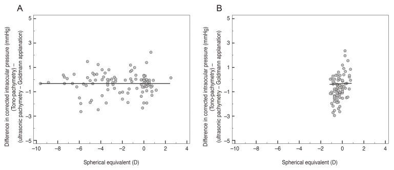
The mean CCT measurement using tono-pachymetry was significantly greater by 7.3 µm in non-surgical eyes ( < 0.001) and 17.8 µm in post-PRK eyes ( < 0.001) compared with US pachymetry. Differences were significant in both Bland-Altman plotand paired -test. The mean difference of corrected IOP values obtained by tono-pachymetry and calculated from measurements by US pachymetry and GAT was 0.33 ± 0.87 mmHg in non-surgical eyes and 0.57 ± 1.08 mmHg in post-PRK eyes. The differences in the Bland-Altman plot were not significant.

CONCLUSIONS

The CCT measurement determined using tono-pachymetrywas significantly thicker than that of US pachymetry. The difference in CCT was greater in post-PRK eyes than in non-surgical eyes. However, the corrected IOP value obtained by tono-pachymetry showed reasonable agreement with that calculated from US pachymetry and GAT measurements.

摘要

目的

评估在非手术眼和准分子激光原位角膜磨镶术(PRK)术后眼中,通过眼压-角膜厚度测量法获得的中央角膜厚度(CCT)和校正眼压(IOP)值的有效性。

方法

本研究纳入了108名年轻健康参与者和108名接受PRK手术的患者。通过眼压-角膜厚度测量法、超声(US)角膜测厚法和Goldmann压平眼压计(GAT)随机进行测量。将眼压-角膜厚度测量法测得的CCT与US角膜测厚法测得的结果进行比较。将眼压-角膜厚度测量法获得的校正IOP值与US角膜测厚法和GAT获得的结果进行比较。US角膜测厚法和GAT的校正IOP值使用眼压-角膜厚度测量法中内置的相同补偿公式进行计算。采用Bland-Altman图和配对检验来评估方法间的一致性。

结果

与US角膜测厚法相比,使用眼压-角膜厚度测量法测得的非手术眼平均CCT显著厚7.3 µm(P<0.001),PRK术后眼厚17.8 µm(P<0.001)。在Bland-Altman图和配对检验中差异均有统计学意义。眼压-角膜厚度测量法获得的校正IOP值与US角膜测厚法和GAT测量结果计算得出的值相比,非手术眼的平均差异为0.33±0.87 mmHg,PRK术后眼为0.57±1.08 mmHg。Bland-Altman图中的差异无统计学意义。

结论

使用眼压-角膜厚度测量法确定的CCT测量值显著厚于US角膜测厚法。PRK术后眼的CCT差异比非手术眼更大。然而,眼压-角膜厚度测量法获得的校正IOP值与US角膜测厚法和GAT测量结果计算得出的值显示出合理的一致性。

https://cdn.ncbi.nlm.nih.gov/pmc/blobs/fd0a/5327174/6d4e3be2a33d/kjo-31-44-g001.jpg

相似文献

1
Validity of Tono-pachymetry for Measuring Corrected Intraocular Pressure in Non-surgical and Post-photorefractive Keratectomy Eyes.
Korean J Ophthalmol. 2017 Feb;31(1):44-51. doi: 10.3341/kjo.2017.31.1.44. Epub 2017 Feb 2.
2
Tono-Pen versus Goldmann tonometry after excimer laser photorefractive keratectomy.
J Cataract Refract Surg. 1999 Apr;25(4):486-91. doi: 10.1016/s0886-3350(99)80044-3.
3
Intraocular pressure and photorefractive keratectomy: a comparison of three different tonometers.
Cornea. 2001 Jan;20(1):33-6. doi: 10.1097/00003226-200101000-00006.
5
A comparison between Goldmann applanation tonometry and dynamic contour tonometry after photorefractive keratectomy.
Graefes Arch Clin Exp Ophthalmol. 2013 Feb;251(2):603-8. doi: 10.1007/s00417-012-2142-1. Epub 2012 Sep 2.

引用本文的文献

本文引用的文献

3
Reliability of the non-contact tono-pachymeter Tonopachy NT-530P in healthy eyes.
Clin Exp Optom. 2013 May;96(3):286-94. doi: 10.1111/j.1444-0938.2012.00818.x. Epub 2013 Feb 18.
4
Central corneal thickness measurements: using an ultrasonic instrument and 4 optical instruments.
Cornea. 2011 Nov;30(11):1238-43. doi: 10.1097/ICO.0b013e3182152051.
5
Repeatability of intra-ocular pressure and central corneal thickness measurements provided by a non-contact method of tonometry and pachymetry.
Graefes Arch Clin Exp Ophthalmol. 2011 Mar;249(3):429-34. doi: 10.1007/s00417-010-1550-3. Epub 2010 Oct 28.
8
Effect of central corneal thickness, corneal curvature, and axial length on applanation tonometry.
Arch Ophthalmol. 2006 Apr;124(4):471-6. doi: 10.1001/archopht.124.4.471.
10
Central and peripheral corneal thickness measurement with Orbscan II and topographical ultrasound pachymetry.
J Cataract Refract Surg. 2003 Jan;29(1):125-32. doi: 10.1016/s0886-3350(02)01815-1.

文献AI研究员

20分钟写一篇综述,助力文献阅读效率提升50倍。

立即体验

用中文搜PubMed

大模型驱动的PubMed中文搜索引擎

马上搜索

文档翻译

学术文献翻译模型,支持多种主流文档格式。

立即体验