Eddie Brian J, Wang Zheng, Hervey W Judson, Leary Dagmar H, Malanoski Anthony P, Tender Leonard M, Lin Baochuan, Strycharz-Glaven Sarah M
United States Naval Research Laboratory, Washington, DC, USA.
mSystems. 2017 Mar 28;2(2). doi: 10.1128/mSystems.00002-17. eCollection 2017 Mar-Apr.
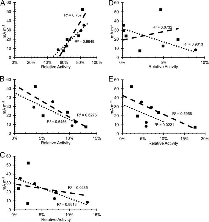
Biocathodes provide a stable electron source to drive reduction reactions in electrotrophic microbial electrochemical systems. Electroautotrophic biocathode communities may be more robust than monocultures in environmentally relevant settings, but some members are not easily cultivated outside the electrode environment. We previously used metagenomics and metaproteomics to propose a pathway for coupling extracellular electron transfer (EET) to carbon fixation in " Tenderia electrophaga," an uncultivated but dominant member of an electroautotrophic biocathode community. Here we validate and refine this proposed pathway using metatranscriptomics of replicate aerobic biocathodes poised at the growth potential level of 310 mV and the suboptimal 470 mV (versus the standard hydrogen electrode). At both potentials, transcripts were more abundant from " Tenderia electrophaga" than from any other constituent, and its relative activity was positively correlated with current. Several genes encoding key components of the proposed " Tenderia electrophaga" EET pathway were more highly expressed at 470 mV, consistent with a need for cells to acquire more electrons to obtain the same amount of energy as at 310 mV. These included , encoding a homolog of a protein known to be involved in iron oxidation. Mean expression of all CO fixation-related genes is 0.27 log-fold higher at 310 mV, indicating that reduced energy availability at 470 mV decreased CO fixation. Our results substantiate the claim that " Tenderia electrophaga" is the key electroautotroph, which will help guide further development of this community for microbial electrosynthesis. Bacteria that directly use electrodes as metabolic electron donors (biocathodes) have been proposed for applications ranging from microbial electrosynthesis to advanced bioelectronics for cellular communication with machines. However, just as we understand very little about oxidation of analogous natural insoluble electron donors, such as iron oxide, the organisms and extracellular electron transfer (EET) pathways underlying the electrode-cell direct electron transfer processes are almost completely unknown. Biocathodes are a stable biofilm cultivation platform to interrogate both the rate and mechanism of EET using electrochemistry and to study the electroautotrophic organisms that catalyze these reactions. Here we provide new evidence supporting the hypothesis that the uncultured bacterium " Tenderia electrophaga" directly couples extracellular electron transfer to CO fixation. Our results provide insight into developing biocathode technology, such as microbial electrosynthesis, as well as advancing our understanding of chemolithoautotrophy.
生物阴极提供了一个稳定的电子源,以驱动电营养微生物电化学系统中的还原反应。在与环境相关的环境中,电自养生物阴极群落可能比单一培养物更具稳健性,但有些成员在电极环境之外不易培养。我们之前利用宏基因组学和宏蛋白质组学,为 “嗜电柔膜菌”(一种未培养但在电自养生物阴极群落中占主导地位的成员)中细胞外电子转移(EET)与碳固定的耦合提出了一条途径。在这里,我们使用处于310 mV生长电位水平和次优的470 mV(相对于标准氢电极)的重复好氧生物阴极的宏转录组学,对这一提出的途径进行验证和完善。在这两个电位下,“嗜电柔膜菌” 的转录本都比任何其他成分的转录本更丰富,并且其相对活性与电流呈正相关。在470 mV时,几个编码所提出的 “嗜电柔膜菌” EET途径关键成分的基因表达更高,这与细胞需要获取更多电子以获得与310 mV时相同能量的需求一致。这些基因包括编码一种已知参与铁氧化的蛋白质同源物的基因。所有与CO固定相关基因的平均表达在310 mV时高0.27对数倍,表明470 mV时能量可用性降低导致CO固定减少。我们的结果证实了 “嗜电柔膜菌” 是关键电自养生物的说法,这将有助于指导该群落用于微生物电合成的进一步发展。直接将电极用作代谢电子供体(生物阴极)的细菌已被提出用于从微生物电合成到用于与机器进行细胞通信的先进生物电子学等各种应用。然而,正如我们对类似的天然不溶性电子供体(如氧化铁)的氧化了解甚少一样,电极 - 细胞直接电子转移过程背后的生物体和细胞外电子转移(EET)途径几乎完全未知。生物阴极是一个稳定的生物膜培养平台,可利用电化学研究EET的速率和机制,并研究催化这些反应的电自养生物。在这里,我们提供了新的证据支持未培养细菌 “嗜电柔膜菌” 将细胞外电子转移直接与CO固定耦合的假设。我们的结果为开发生物阴极技术(如微生物电合成)提供了见解,同时也增进了我们对化能自养的理解。