• 文献检索
  • 文档翻译
  • 深度研究
  • 学术资讯
  • Suppr Zotero 插件Zotero 插件
  • 邀请有礼
  • 套餐&价格
  • 历史记录
应用&插件
Suppr Zotero 插件Zotero 插件浏览器插件Mac 客户端Windows 客户端微信小程序
定价
高级版会员购买积分包购买API积分包
服务
文献检索文档翻译深度研究API 文档MCP 服务
关于我们
关于 Suppr公司介绍联系我们用户协议隐私条款
关注我们

Suppr 超能文献

核心技术专利:CN118964589B侵权必究
粤ICP备2023148730 号-1Suppr @ 2026

文献检索

告别复杂PubMed语法,用中文像聊天一样搜索,搜遍4000万医学文献。AI智能推荐,让科研检索更轻松。

立即免费搜索

文件翻译

保留排版,准确专业,支持PDF/Word/PPT等文件格式,支持 12+语言互译。

免费翻译文档

深度研究

AI帮你快速写综述,25分钟生成高质量综述,智能提取关键信息,辅助科研写作。

立即免费体验

气候对肯尼亚难民营呼吸道合胞病毒感染发病率的影响:非高斯时间序列分析

Effect of climate on incidence of respiratory syncytial virus infections in a refugee camp in Kenya: A non-Gaussian time-series analysis.

作者信息

Nyoka Raymond, Omony Jimmy, Mwalili Samuel M, Achia Thomas N O, Gichangi Anthony, Mwambi Henry

机构信息

School of Mathematics, Statistics and Computer Science, University of KwaZulu- Natal, Scottsville, South Africa.

Molecular Genetics Department, University of Groningen, Groningen, Netherlands.

出版信息

PLoS One. 2017 Jun 1;12(6):e0178323. doi: 10.1371/journal.pone.0178323. eCollection 2017.

DOI:10.1371/journal.pone.0178323
PMID:28570627
原文链接:https://pmc.ncbi.nlm.nih.gov/articles/PMC5453485/
Abstract

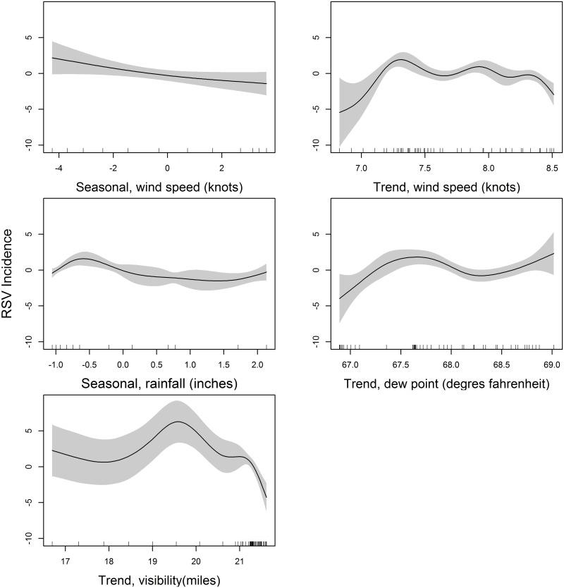
Respiratory syncytial virus (RSV) is one of the major causes of acute lower respiratory tract infections (ALRTI) in children. Children younger than 1 year are the most susceptible to RSV infection. RSV infections occur seasonally in temperate climate regions. Based on RSV surveillance and climatic data, we developed statistical models that were assessed and compared to predict the relationship between weather and RSV incidence among refugee children younger than 5 years in Dadaab refugee camp in Kenya. Most time-series analyses rely on the assumption of Gaussian-distributed data. However, surveillance data often do not have a Gaussian distribution. We used a generalized linear model (GLM) with a sinusoidal component over time to account for seasonal variation and extended it to a generalized additive model (GAM) with smoothing cubic splines. Climatic factors were included as covariates in the models before and after timescale decompositions, and the results were compared. Models with decomposed covariates fit RSV incidence data better than those without. The Poisson GAM with decomposed covariates of climatic factors fit the data well and had a higher explanatory and predictive power than GLM. The best model predicted the relationship between atmospheric conditions and RSV infection incidence among children younger than 5 years. This knowledge helps public health officials to prepare for, and respond more effectively to increasing RSV incidence in low-resource regions or communities.

摘要

呼吸道合胞病毒(RSV)是儿童急性下呼吸道感染(ALRTI)的主要病因之一。1岁以下儿童最易感染RSV。在温带气候地区,RSV感染呈季节性发生。基于RSV监测和气候数据,我们开发了统计模型,并对其进行评估和比较,以预测肯尼亚达达布难民营5岁以下难民儿童的天气与RSV发病率之间的关系。大多数时间序列分析依赖于数据呈高斯分布的假设。然而,监测数据往往不具有高斯分布。我们使用了一个随时间具有正弦成分的广义线性模型(GLM)来考虑季节变化,并将其扩展为具有平滑立方样条的广义相加模型(GAM)。在时间尺度分解前后,气候因素作为协变量纳入模型,并对结果进行比较。协变量分解后的模型比未分解的模型更能拟合RSV发病率数据。气候因素协变量分解后的泊松GAM能很好地拟合数据,并且比GLM具有更高的解释力和预测力。最佳模型预测了5岁以下儿童的大气条件与RSV感染发病率之间的关系。这些知识有助于公共卫生官员为资源匮乏地区或社区RSV发病率的上升做好准备,并更有效地做出应对。

https://cdn.ncbi.nlm.nih.gov/pmc/blobs/f57f/5453485/a2a2d4de1451/pone.0178323.g004.jpg
https://cdn.ncbi.nlm.nih.gov/pmc/blobs/f57f/5453485/1dfcb883821b/pone.0178323.g001.jpg
https://cdn.ncbi.nlm.nih.gov/pmc/blobs/f57f/5453485/de5a06106295/pone.0178323.g002.jpg
https://cdn.ncbi.nlm.nih.gov/pmc/blobs/f57f/5453485/5dc6594c8d0c/pone.0178323.g003.jpg
https://cdn.ncbi.nlm.nih.gov/pmc/blobs/f57f/5453485/a2a2d4de1451/pone.0178323.g004.jpg
https://cdn.ncbi.nlm.nih.gov/pmc/blobs/f57f/5453485/1dfcb883821b/pone.0178323.g001.jpg
https://cdn.ncbi.nlm.nih.gov/pmc/blobs/f57f/5453485/de5a06106295/pone.0178323.g002.jpg
https://cdn.ncbi.nlm.nih.gov/pmc/blobs/f57f/5453485/5dc6594c8d0c/pone.0178323.g003.jpg
https://cdn.ncbi.nlm.nih.gov/pmc/blobs/f57f/5453485/a2a2d4de1451/pone.0178323.g004.jpg

相似文献

1
Effect of climate on incidence of respiratory syncytial virus infections in a refugee camp in Kenya: A non-Gaussian time-series analysis.气候对肯尼亚难民营呼吸道合胞病毒感染发病率的影响:非高斯时间序列分析
PLoS One. 2017 Jun 1;12(6):e0178323. doi: 10.1371/journal.pone.0178323. eCollection 2017.
2
Respiratory syncytial virus circulation in seven countries with Global Disease Detection Regional Centers.呼吸道合胞病毒在全球疾病监测区域中心的七个国家的传播情况。
J Infect Dis. 2013 Dec 15;208 Suppl 3:S246-54. doi: 10.1093/infdis/jit515.
3
Time series non-Gaussian Bayesian bivariate model applied to data on HMPV and RSV: a case of Dadaab in Kenya.应用于 HMPV 和 RSV 数据的时间序列非高斯贝叶斯双变量模型:肯尼亚达达阿布的案例。
BMC Public Health. 2019 Jun 24;19(1):807. doi: 10.1186/s12889-019-7036-2.
4
Examining strain diversity and phylogeography in relation to an unusual epidemic pattern of respiratory syncytial virus (RSV) in a long-term refugee camp in Kenya.研究肯尼亚一个长期难民营中呼吸道合胞病毒(RSV)异常流行模式与菌株多样性和系统地理学的关系。
BMC Infect Dis. 2014 Apr 1;14:178. doi: 10.1186/1471-2334-14-178.
5
Temporal characteristics of respiratory syncytial virus infection in children and its correlation with climatic factors at a public pediatric hospital in Suzhou.苏州市某公立儿童医院儿童呼吸道合胞病毒感染的时间特征及其与气象因素的相关性。
J Clin Virol. 2013 Dec;58(4):666-70. doi: 10.1016/j.jcv.2013.09.027. Epub 2013 Oct 9.
6
Epidemiology of respiratory viral infections in two long-term refugee camps in Kenya, 2007-2010.2007-2010 年肯尼亚两个长期难民营中的呼吸道病毒感染的流行病学。
BMC Infect Dis. 2012 Jan 17;12:7. doi: 10.1186/1471-2334-12-7.
7
Meteorological factors affecting respiratory syncytial virus infection: A time-series analysis.气象因素对呼吸道合胞病毒感染的影响:时间序列分析。
Pediatr Pulmonol. 2020 Mar;55(3):713-718. doi: 10.1002/ppul.24629. Epub 2020 Jan 7.
8
National burden estimates of hospitalisations for acute lower respiratory infections due to respiratory syncytial virus in young children in 2019 among 58 countries: a modelling study.2019 年 58 个国家因呼吸道合胞病毒导致的急性下呼吸道感染而住院的 5 岁以下儿童的国家负担估计:一项建模研究。
Lancet Respir Med. 2021 Feb;9(2):175-185. doi: 10.1016/S2213-2600(20)30322-2. Epub 2020 Sep 21.
9
Estimates of the national burden of respiratory syncytial virus in Kenyan children aged under 5 years, 2010-2018.2010-2018 年肯尼亚 5 岁以下儿童呼吸道合胞病毒全国负担估计。
BMC Med. 2023 Mar 31;21(1):122. doi: 10.1186/s12916-023-02787-w.
10
Global, regional, and national disease burden estimates of acute lower respiratory infections due to respiratory syncytial virus in children younger than 5 years in 2019: a systematic analysis.2019 年全球、区域和国家因呼吸道合胞病毒导致 5 岁以下儿童急性下呼吸道感染的疾病负担估计:系统分析。
Lancet. 2022 May 28;399(10340):2047-2064. doi: 10.1016/S0140-6736(22)00478-0. Epub 2022 May 19.

引用本文的文献

1
Nonlinear and Multidelayed Effects of Meteorological Drivers on Human Respiratory Syncytial Virus Infection in Japan.气象驱动因素对日本人类呼吸道合胞病毒感染的非线性和多延迟效应
Viruses. 2023 Sep 12;15(9):1914. doi: 10.3390/v15091914.
2
Air quality, meteorological variability and pediatric respiratory syncytial virus infections in Singapore.空气质量、气象变化与新加坡小儿呼吸道合胞病毒感染。
Sci Rep. 2023 Jan 18;13(1):1001. doi: 10.1038/s41598-022-26184-0.
3
Climate Change and African Migrant Health.气候变化与非洲移民健康

本文引用的文献

1
Challenges and opportunities in developing respiratory syncytial virus therapeutics.开发呼吸道合胞病毒治疗方法的挑战与机遇。
J Infect Dis. 2015 Mar 15;211 Suppl 1(Suppl 1):S1-S20. doi: 10.1093/infdis/jiu828.
2
Respiratory syncytial virus infection and bronchiolitis.呼吸道合胞病毒感染与细支气管炎
Pediatr Rev. 2014 Dec;35(12):519-30. doi: 10.1542/pir.35-12-519.
3
Examining strain diversity and phylogeography in relation to an unusual epidemic pattern of respiratory syncytial virus (RSV) in a long-term refugee camp in Kenya.
Int J Environ Res Public Health. 2022 Dec 15;19(24):16867. doi: 10.3390/ijerph192416867.
4
Transmission of Respiratory Syncytial Virus genotypes in Cali, Colombia.哥伦比亚卡利呼吸道合胞病毒基因型的传播。
Influenza Other Respir Viruses. 2021 Jul;15(4):521-528. doi: 10.1111/irv.12833. Epub 2021 Apr 8.
5
Shifts in the epidemic season of human respiratory syncytial virus associated with inbound overseas travelers and meteorological conditions in Japan, 2014-2017: An ecological study.2014-2017 年日本与入境海外旅行者和气象条件相关的人呼吸道合胞病毒流行季节变化:一项生态学研究。
PLoS One. 2021 Mar 25;16(3):e0248932. doi: 10.1371/journal.pone.0248932. eCollection 2021.
6
Meteorological drivers of respiratory syncytial virus infections in Singapore.新加坡呼吸道合胞病毒感染的气象驱动因素。
Sci Rep. 2020 Nov 24;10(1):20469. doi: 10.1038/s41598-020-76888-4.
7
Time series non-Gaussian Bayesian bivariate model applied to data on HMPV and RSV: a case of Dadaab in Kenya.应用于 HMPV 和 RSV 数据的时间序列非高斯贝叶斯双变量模型:肯尼亚达达阿布的案例。
BMC Public Health. 2019 Jun 24;19(1):807. doi: 10.1186/s12889-019-7036-2.
研究肯尼亚一个长期难民营中呼吸道合胞病毒(RSV)异常流行模式与菌株多样性和系统地理学的关系。
BMC Infect Dis. 2014 Apr 1;14:178. doi: 10.1186/1471-2334-14-178.
4
Clinical and epidemiologic features of respiratory syncytial virus.呼吸道合胞病毒的临床和流行病学特征。
Curr Top Microbiol Immunol. 2013;372:39-57. doi: 10.1007/978-3-642-38919-1_2.
5
Respiratory syncytial virus circulation in seven countries with Global Disease Detection Regional Centers.呼吸道合胞病毒在全球疾病监测区域中心的七个国家的传播情况。
J Infect Dis. 2013 Dec 15;208 Suppl 3:S246-54. doi: 10.1093/infdis/jit515.
6
Latitudinal variations in seasonal activity of influenza and respiratory syncytial virus (RSV): a global comparative review.流感和呼吸道合胞病毒(RSV)季节性活动的纬度变化:全球比较综述。
PLoS One. 2013;8(2):e54445. doi: 10.1371/journal.pone.0054445. Epub 2013 Feb 14.
7
Respiratory syncytial virus infection in infants and correlation with meteorological factors and air pollutants.婴儿呼吸道合胞病毒感染与气象因素及空气污染物的相关性。
Ital J Pediatr. 2013 Jan 11;39(1):1. doi: 10.1186/1824-7288-39-1.
8
Epidemiology and seasonality of respiratory viral infections in hospitalized children in Kuala Lumpur, Malaysia: a retrospective study of 27 years.马来西亚吉隆坡住院儿童呼吸道病毒感染的流行病学和季节性:27 年回顾性研究。
BMC Pediatr. 2012 Mar 20;12:32. doi: 10.1186/1471-2431-12-32.
9
A frequentist approach to estimating the force of infection for a respiratory disease using repeated measurement data from a birth cohort.使用来自出生队列的重复测量数据估计呼吸道疾病感染力度的频率派方法。
Stat Methods Med Res. 2011 Oct;20(5):551-70. doi: 10.1177/0962280210385749.
10
Distributed Lag Linear and Non-Linear Models in R: The Package dlnm.R语言中的分布滞后线性和非线性模型:dlnm软件包
J Stat Softw. 2011 Jul;43(8):1-20.