Suppr超能文献

美国人口结构的变化:这对李斯特菌病的发病率和暴露情况意味着什么?

Changing US Population Demographics: What Does This Mean for Listeriosis Incidence and Exposure?

作者信息

Pohl Aurelie M, Pouillot Régis, Van Doren Jane M

机构信息

Center for Food Safety and Applied Nutrition , Food and Drug Administration, College Park, Maryland.

出版信息

Foodborne Pathog Dis. 2017 Sep;14(9):524-530. doi: 10.1089/fpd.2017.2297. Epub 2017 Jun 20.

Abstract

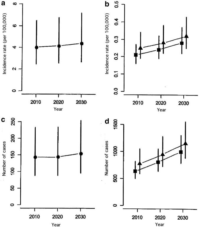
Listeria monocytogenes is an important cause of foodborne illness hospitalization, fetal loss, and death in the United States. Listeriosis incidence rate varies significantly among population subgroups with pregnant women, older persons, and the Hispanic population having increased relative risks compared with the other subpopulations. Using estimated rates of listeriosis per subpopulation based on FoodNet data from 2004 to 2009, we evaluate the expected number of cases and incidence rates of listeriosis in the US population and the pregnant women subpopulation as the demographic composition changes over time with respect to ethnicity, pregnancy status, and age distribution. If the incidence rate per subpopulation is held constant, the overall US population listeriosis incidence rate would increase from 0.25 per 100,000 (95% confidence interval [CI]: 0.19-0.34) in 2010 to 0.28 (95% CI: 0.22-0.38) in 2020 and 0.32 (95% CI: 0.25-0.43) in 2030, because of the changes in the population structure. Similarly, the pregnancy-associated incidence rate is expected to increase from 4.0 per 100,000 pregnant women (95% CI: 2.5-6.5) in 2010 to 4.1 (95% CI: 2.6-6.7) in 2020 and 4.4 (95% CI: 2.7-7.2) in 2030 as the proportion of Hispanic pregnant women increases. We further estimate that a reduction of 12% in the exposure of the US population to L. monocytogenes would be needed to maintain a constant incidence rate from 2010 to 2020 (current trend), assuming infectivity (strain virulence distribution and individual susceptibility) is unchanged. To reduce the overall US population incidence rate by one-third (Healthy People 2020 goal) would require a reduction in exposure (or infectivity) to L. monocytogenes of 48% over the same time period. Reduction/elimination in exposure of pregnant and Hispanic subpopulations alone could not meet this target. This information may be useful in setting public health targets, developing risk management options, and in interpreting trends in the public health burden of foodborne listeriosis in the United States.

摘要

在美国,单核细胞增生李斯特菌是食源性疾病导致住院、胎儿流产和死亡的一个重要原因。李斯特菌病的发病率在不同人群亚组中差异显著,孕妇、老年人和西班牙裔人群相比其他亚人群具有更高的相对风险。利用基于2004年至2009年食品网数据估算的各亚人群李斯特菌病发病率,我们评估了随着种族、妊娠状态和年龄分布等人口结构组成随时间变化,美国总体人群和孕妇亚人群中李斯特菌病的预期病例数和发病率。如果各亚人群的发病率保持不变,由于人口结构的变化,美国总体人群李斯特菌病发病率将从2010年的每10万人0.25例(95%置信区间[CI]:0.19 - 0.34)增至2020年的0.28例(95% CI:0.22 - 0.38)以及2030年的0.32例(95% CI:0.25 - 0.43)。同样,随着西班牙裔孕妇比例增加,与妊娠相关的发病率预计将从2010年每10万名孕妇4.0例(95% CI:2.5 - 6.5)增至2020年的4.1例(95% CI:2.6 - 6.7)以及2030年的4.4例(95% CI:2.7 - 7.2)。我们进一步估计,假设传染性(菌株毒力分布和个体易感性)不变,要使2010年至2020年(当前趋势)的发病率保持恒定,美国人群对单核细胞增生李斯特菌的暴露需减少12%。要将美国总体人群发病率降低三分之一(《健康人民2020》目标),则需要在同一时期将对单核细胞增生李斯特菌的暴露(或传染性)降低48%。仅减少孕妇和西班牙裔亚人群的暴露无法实现这一目标。这些信息对于设定公共卫生目标、制定风险管理方案以及解读美国食源性李斯特菌病公共卫生负担的趋势可能有用。

https://cdn.ncbi.nlm.nih.gov/pmc/blobs/c87d/5646752/24d7d8024b5e/fig-1.jpg

相似文献

1
Changing US Population Demographics: What Does This Mean for Listeriosis Incidence and Exposure?
Foodborne Pathog Dis. 2017 Sep;14(9):524-530. doi: 10.1089/fpd.2017.2297. Epub 2017 Jun 20.
6
Reduction in the incidence of invasive listeriosis in foodborne diseases active surveillance network sites, 1996-2003.
Clin Infect Dis. 2007 Feb 15;44(4):513-20. doi: 10.1086/511006. Epub 2007 Jan 8.
7
Listeria monocytogenes serotypes in human infections (Italy, 2000-2010).
Ann Ist Super Sanita. 2012;48(2):146-50. doi: 10.4415/ANN_12_02_07.
8
Pregnancy-associated listeriosis.
Epidemiol Infect. 2010 Oct;138(10):1503-9. doi: 10.1017/S0950268810000294. Epub 2010 Feb 17.

引用本文的文献

1
Megatrends and emerging issues: Impacts on food safety.
Compr Rev Food Sci Food Saf. 2025 May;24(3):e70170. doi: 10.1111/1541-4337.70170.
4
Maternal and obstetric outcomes of listeria pregnancy: insights from a national cohort.
J Matern Fetal Neonatal Med. 2022 Dec;35(25):10010-10016. doi: 10.1080/14767058.2022.2083494. Epub 2022 Jun 10.
5
Aging-Induced Dysbiosis of Gut Microbiota as a Risk Factor for Increased Infection.
Front Immunol. 2021 Apr 28;12:672353. doi: 10.3389/fimmu.2021.672353. eCollection 2021.

本文引用的文献

2
Navigating Microbiological Food Safety in the Era of Whole-Genome Sequencing.
Clin Microbiol Rev. 2016 Oct;29(4):837-57. doi: 10.1128/CMR.00056-16.
4
Trends in Reported Foodborne Illness in the United States; 1996-2013.
Risk Anal. 2016 Aug;36(8):1589-98. doi: 10.1111/risa.12530. Epub 2015 Dec 28.
6
Scoping the impact of changes in population age-structure on the future burden of foodborne disease in the Netherlands, 2020-2060.
Int J Environ Res Public Health. 2013 Jul 11;10(7):2888-96. doi: 10.3390/ijerph10072888.

文献AI研究员

20分钟写一篇综述,助力文献阅读效率提升50倍。

立即体验

用中文搜PubMed

大模型驱动的PubMed中文搜索引擎

马上搜索

文档翻译

学术文献翻译模型,支持多种主流文档格式。

立即体验