• 文献检索
  • 文档翻译
  • 深度研究
  • 学术资讯
  • Suppr Zotero 插件Zotero 插件
  • 邀请有礼
  • 套餐&价格
  • 历史记录
应用&插件
Suppr Zotero 插件Zotero 插件浏览器插件Mac 客户端Windows 客户端微信小程序
定价
高级版会员购买积分包购买API积分包
服务
文献检索文档翻译深度研究API 文档MCP 服务
关于我们
关于 Suppr公司介绍联系我们用户协议隐私条款
关注我们

Suppr 超能文献

核心技术专利:CN118964589B侵权必究
粤ICP备2023148730 号-1Suppr @ 2026

文献检索

告别复杂PubMed语法,用中文像聊天一样搜索,搜遍4000万医学文献。AI智能推荐,让科研检索更轻松。

立即免费搜索

文件翻译

保留排版,准确专业,支持PDF/Word/PPT等文件格式,支持 12+语言互译。

免费翻译文档

深度研究

AI帮你快速写综述,25分钟生成高质量综述,智能提取关键信息,辅助科研写作。

立即免费体验

脂肪组织来源间充质干细胞联合传统治疗对一只患有肝皮肤综合征犬的长期管理

Long-Term Management with Adipose Tissue-Derived Mesenchymal Stem Cells and Conventional Treatment in a Dog with Hepatocutaneous Syndrome.

作者信息

Nam A, Han S-M, Go D-M, Kim D-Y, Seo K-W, Youn H-Y

机构信息

Department of Veterinary Internal Medicine, College of Veterinary Medicine, Seoul National University, Seoul, Korea.

Department of Veterinary Pathology, College of Veterinary Medicine, Seoul National University, Seoul, Korea.

出版信息

J Vet Intern Med. 2017 Sep;31(5):1514-1519. doi: 10.1111/jvim.14798. Epub 2017 Aug 7.

DOI:10.1111/jvim.14798
PMID:28782844
原文链接:https://pmc.ncbi.nlm.nih.gov/articles/PMC5598886/
Abstract

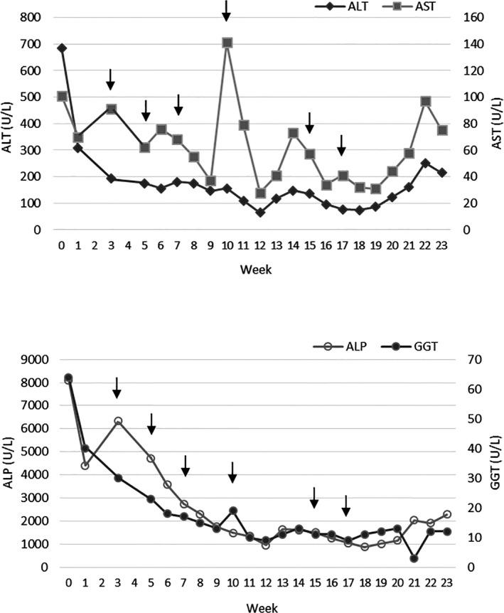
Hepatocutaneous syndrome (HS) is an uncommon skin disorder that occurs in conjunction with liver disease and is diagnosed based on decreased plasma concentrations of amino acids and the histopathology of skin lesions. The survival period generally is <6 months. A 10-year-old castrated male Maltese dog was presented for evaluation of lethargy, polyuria, polydipsia, and skin lesions including alopecia, erythema, and crusts. Based on increased liver enzyme activity, low plasma amino acid concentrations, and findings from liver cytology and skin biopsy, the dog was diagnosed with HS. In addition to administration of antioxidants, hepatoprotective agents, and amino acids IV, allogenic adipose tissue-derived mesenchymal stem cells were infused 46 times over a 30-month period: 8 times directly into the liver parenchyma guided by ultrasonography and the remainder of the times into peripheral veins. After commencing stem cell therapy, the dog's hair re-grew and the skin lesions disappeared or became smaller. During ongoing management, the patient suddenly presented with anorexia and uncontrolled vomiting, and severe azotemia was observed. The dog died despite intensive care. On necropsy, severe liver fibrosis and superficial necrolytic dermatitis were observed. The dog survived for 32 months after diagnosis. A combination of amino acid and stem cell therapy may be beneficial for patients with HS.

摘要

肝皮肤综合征(HS)是一种与肝脏疾病相关的罕见皮肤疾病,其诊断基于血浆氨基酸浓度降低和皮肤病变的组织病理学检查。生存期一般小于6个月。一只10岁去势雄性马尔济斯犬因嗜睡、多尿、多饮以及包括脱毛、红斑和结痂在内的皮肤病变前来就诊。基于肝酶活性升高、血浆氨基酸浓度降低以及肝脏细胞学和皮肤活检结果,该犬被诊断为HS。除静脉注射抗氧化剂、保肝药物和氨基酸外,在30个月内共46次输注同种异体脂肪组织来源的间充质干细胞:8次在超声引导下直接注入肝实质,其余经外周静脉注入。开始干细胞治疗后,犬的毛发重新生长,皮肤病变消失或变小。在后续治疗过程中,该犬突然出现厌食和无法控制的呕吐,且观察到严重氮质血症。尽管进行了重症护理,该犬仍死亡。尸检时,观察到严重肝纤维化和浅表坏死性皮肤炎。该犬在诊断后存活了32个月。氨基酸和干细胞联合治疗可能对HS患者有益。

https://cdn.ncbi.nlm.nih.gov/pmc/blobs/8aa9/5598886/5fa3c4a58db6/JVIM-31-1514-g006.jpg
https://cdn.ncbi.nlm.nih.gov/pmc/blobs/8aa9/5598886/8a1d294a2d34/JVIM-31-1514-g001.jpg
https://cdn.ncbi.nlm.nih.gov/pmc/blobs/8aa9/5598886/2e66eff33d1c/JVIM-31-1514-g002.jpg
https://cdn.ncbi.nlm.nih.gov/pmc/blobs/8aa9/5598886/8657c03d7f07/JVIM-31-1514-g003.jpg
https://cdn.ncbi.nlm.nih.gov/pmc/blobs/8aa9/5598886/d98e54d03311/JVIM-31-1514-g004.jpg
https://cdn.ncbi.nlm.nih.gov/pmc/blobs/8aa9/5598886/8a8d36ec61b0/JVIM-31-1514-g005.jpg
https://cdn.ncbi.nlm.nih.gov/pmc/blobs/8aa9/5598886/5fa3c4a58db6/JVIM-31-1514-g006.jpg
https://cdn.ncbi.nlm.nih.gov/pmc/blobs/8aa9/5598886/8a1d294a2d34/JVIM-31-1514-g001.jpg
https://cdn.ncbi.nlm.nih.gov/pmc/blobs/8aa9/5598886/2e66eff33d1c/JVIM-31-1514-g002.jpg
https://cdn.ncbi.nlm.nih.gov/pmc/blobs/8aa9/5598886/8657c03d7f07/JVIM-31-1514-g003.jpg
https://cdn.ncbi.nlm.nih.gov/pmc/blobs/8aa9/5598886/d98e54d03311/JVIM-31-1514-g004.jpg
https://cdn.ncbi.nlm.nih.gov/pmc/blobs/8aa9/5598886/8a8d36ec61b0/JVIM-31-1514-g005.jpg
https://cdn.ncbi.nlm.nih.gov/pmc/blobs/8aa9/5598886/5fa3c4a58db6/JVIM-31-1514-g006.jpg

相似文献

1
Long-Term Management with Adipose Tissue-Derived Mesenchymal Stem Cells and Conventional Treatment in a Dog with Hepatocutaneous Syndrome.脂肪组织来源间充质干细胞联合传统治疗对一只患有肝皮肤综合征犬的长期管理
J Vet Intern Med. 2017 Sep;31(5):1514-1519. doi: 10.1111/jvim.14798. Epub 2017 Aug 7.
2
Hepatocutaneous syndrome in Shih Tzus: 31 cases (1996-2014).西施犬的肝皮肤综合征:31例(1996 - 2014年)
J Am Vet Med Assoc. 2016 Apr 1;248(7):802-13. doi: 10.2460/javma.248.7.802.
3
Hepatic ultrasonography and pathological findings in dogs with hepatocutaneous syndrome: new concepts.患有肝皮肤综合征犬的肝脏超声检查及病理结果:新概念
J Vet Intern Med. 1995 Nov-Dec;9(6):399-404. doi: 10.1111/j.1939-1676.1995.tb03300.x.
4
CTLA4 overexpressing adipose tissue-derived mesenchymal stem cell therapy in a dog with steroid-refractory pemphigus foliaceus.在一只患有类固醇难治性落叶型天疱疮的犬中进行过表达细胞毒性T淋巴细胞相关抗原4的脂肪组织来源间充质干细胞治疗。
BMC Vet Res. 2015 Mar 6;11:49. doi: 10.1186/s12917-015-0371-3.
5
Approach to the Diagnosis of Hepatocutaneous Syndrome in Dogs: A Retrospective Study and Literature Review.犬肝性皮肤病综合征的诊断方法:一项回顾性研究和文献综述。
J Am Anim Hosp Assoc. 2021 Jan 1;57(1):15-25. doi: 10.5326/JAAHA-MS-7072.
6
Pathology in practice. Superficial necrolytic dermatitis and nodular hepatopathy (lesions consistent with hepatocutaneous syndrome).实践中的病理学。浅表坏死性皮肤病和结节性肝病(病变符合肝皮肤综合征)。
J Am Vet Med Assoc. 2011 Feb 15;238(4):445-7. doi: 10.2460/javma.238.4.445.
7
Superficial necrolytic dermatitis (necrolytic migratory erythema) in dogs.犬浅表性坏死性皮炎(坏死性游走性红斑)
Vet Pathol. 1993 Jan;30(1):75-81. doi: 10.1177/030098589303000110.
8
Characterization of aminoaciduria and hypoaminoacidemia in dogs with hepatocutaneous syndrome.患有肝皮肤综合征的犬氨基酸尿症和低氨基酸血症的特征
Am J Vet Res. 2017 Jun;78(6):735-744. doi: 10.2460/ajvr.78.6.735.
9
Safety and efficacy of allogeneic adipose tissue-derived mesenchymal stem cells for treatment of dogs with inflammatory bowel disease: Endoscopic and histological outcomes.同种异体脂肪组织间充质干细胞治疗犬炎症性肠病的安全性和有效性:内镜及组织学结果
Vet J. 2015 Dec;206(3):391-7. doi: 10.1016/j.tvjl.2015.07.023. Epub 2015 Jul 23.
10
Glucagon-producing pancreatic endocrine tumors in two dogs with superficial necrolytic dermatitis.两只患有浅表坏死性皮肤炎的犬只身上的胰高血糖素分泌性胰腺内分泌肿瘤。
J Am Vet Med Assoc. 1990 Dec 15;197(12):1619-22.

引用本文的文献

1
Plasma amino acid profiles of dogs with the hepatocutaneous syndrome and dogs with other chronic liver diseases.患有肝皮肤综合征的犬类与患有其他慢性肝病的犬类的血浆氨基酸谱。
J Vet Intern Med. 2025 Jan-Feb;39(1):e17285. doi: 10.1111/jvim.17285.
2
Non-Invasive Paraclinical Diagnosis of Hepatocutaneous Syndrome in a Dog.犬皮肤综合征的非侵入性临床辅助诊断
Life (Basel). 2024 Jul 8;14(7):853. doi: 10.3390/life14070853.
3
Pulmonary passage of canine adipose tissue-derived mesenchymal stem cells through intravenous transplantation in mouse model.

本文引用的文献

1
Canine adipose tissue-derived mesenchymal stem cells ameliorate severe acute pancreatitis by regulating T cells in rats.犬脂肪组织来源的间充质干细胞通过调节大鼠T细胞改善重症急性胰腺炎。
J Vet Sci. 2016 Dec 30;17(4):539-548. doi: 10.4142/jvs.2016.17.4.539.
2
Pro-apoptotic and Growth-inhibitory Effect of IFN-β-Overexpressing Canine Adipose Tissue-derived Mesenchymal Stem Cells Against Melanoma Cells.过表达IFN-β的犬脂肪组织来源间充质干细胞对黑色素瘤细胞的促凋亡和生长抑制作用
Anticancer Res. 2015 Sep;35(9):4749-56.
3
Scintigraphic tracking of mesenchymal stem cells after portal, systemic intravenous and splenic administration in healthy beagle dogs.
犬脂肪组织来源间充质干细胞经静脉移植在小鼠模型中的肺内迁移。
J Vet Sci. 2024 May;25(3):e36. doi: 10.4142/jvs.23300.
4
Mesenchymal Stromal Cells Derived from Canine Adipose Tissue: Evaluation of the Effect of Different Shipping Vehicles Used for Clinical Administration.犬脂肪来源间充质基质细胞:用于临床给药的不同运输载体效果评估。
Int J Mol Sci. 2024 Mar 18;25(6):3426. doi: 10.3390/ijms25063426.
5
The Pivotal Role of Stem Cells in Veterinary Regenerative Medicine and Tissue Engineering.干细胞在兽医再生医学和组织工程中的关键作用。
Vet Sci. 2022 Nov 21;9(11):648. doi: 10.3390/vetsci9110648.
6
Treatment and outcomes of dogs with hepatocutaneous syndrome or hepatocutaneous-associated hepatopathy.具有肝胆综合征或肝胆相关肝病犬的治疗和预后。
J Vet Intern Med. 2022 Jan;36(1):106-115. doi: 10.1111/jvim.16323. Epub 2021 Nov 25.
7
Scintigraphic tracking of Technetium-labelled equine peripheral blood-derived mesenchymal stem cells after intravenous, intramuscular, and subcutaneous injection in healthy dogs.静脉内、肌肉内和皮下注射经锝标记的马外周血源性间充质干细胞后在健康犬中的闪烁显像追踪。
Stem Cell Res Ther. 2021 Jul 13;12(1):393. doi: 10.1186/s13287-021-02457-9.
8
Stem Cells in Veterinary Medicine-Current State and Treatment Options.兽医学中的干细胞——现状与治疗选择
Front Vet Sci. 2020 May 29;7:278. doi: 10.3389/fvets.2020.00278. eCollection 2020.
9
Challenges of stem cell therapies in companion animal practice.伴侣动物医疗中干细胞疗法面临的挑战。
J Vet Sci. 2020 May;21(3):e42. doi: 10.4142/jvs.2020.21.e42.
10
The Potential of Mesenchymal Stem Cells to Treat Systemic Inflammation in Horses.间充质干细胞治疗马匹全身炎症的潜力。
Front Vet Sci. 2020 Jan 21;6:507. doi: 10.3389/fvets.2019.00507. eCollection 2019.
健康比格犬经门静脉、全身静脉和脾脏注射后间充质干细胞的闪烁成像追踪
Vet Radiol Ultrasound. 2015 May-Jun;56(3):327-34. doi: 10.1111/vru.12243. Epub 2015 Jan 12.
4
Human adipose-derived mesenchymal stem cells attenuate liver ischemia-reperfusion injury and promote liver regeneration.人脂肪间充质干细胞可减轻肝脏缺血再灌注损伤并促进肝脏再生。
Surgery. 2014 Nov;156(5):1225-31. doi: 10.1016/j.surg.2014.05.008. Epub 2014 Sep 26.
5
Anti-tumor effect of adipose tissue derived-mesenchymal stem cells expressing interferon-β and treatment with cisplatin in a xenograft mouse model for canine melanoma.携带干扰素-β的脂肪组织来源间充质干细胞的抗肿瘤作用及其与顺铂联合治疗犬黑色素瘤异种移植模型。
PLoS One. 2013 Sep 9;8(9):e74897. doi: 10.1371/journal.pone.0074897. eCollection 2013.
6
The effects of topical mesenchymal stem cell transplantation in canine experimental cutaneous wounds.局部间充质干细胞移植对犬实验性皮肤伤口的影响。
Vet Dermatol. 2013 Apr;24(2):242-e53. doi: 10.1111/vde.12011. Epub 2013 Feb 22.
7
Comparing the osteogenic potential of canine mesenchymal stem cells derived from adipose tissues, bone marrow, umbilical cord blood, and Wharton's jelly for treating bone defects.比较源自脂肪组织、骨髓、脐带血和华通氏胶的犬间充质干细胞治疗骨缺损的成骨潜力。
J Vet Sci. 2012 Sep;13(3):299-310. doi: 10.4142/jvs.2012.13.3.299.
8
Adipose-derived stem cells can abrogate chemical-induced liver fibrosis and facilitate recovery of liver function.脂肪来源的干细胞可以消除化学诱导的肝纤维化,并促进肝功能的恢复。
Cell Transplant. 2012;21(12):2753-64. doi: 10.3727/096368912X652959. Epub 2012 Jul 5.
9
Intravenous injection of mesenchymal stem cells is effective in treating liver fibrosis.静脉注射间充质干细胞对治疗肝纤维化有效。
World J Gastroenterol. 2012 Mar 14;18(10):1048-58. doi: 10.3748/wjg.v18.i10.1048.
10
Therapeutic potential of adipose tissue-derived stem cells for liver failure according to the transplantation routes.根据移植途径探讨脂肪组织来源干细胞对肝衰竭的治疗潜力。
J Korean Surg Soc. 2011 Sep;81(3):176-86. doi: 10.4174/jkss.2011.81.3.176. Epub 2011 Sep 26.