Suppr超能文献

使用香农频谱熵和基于聚类的置换统计检验比较不同组特发性癫痫患者的背景脑电图活动。

Comparison of background EEG activity of different groups of patients with idiopathic epilepsy using Shannon spectral entropy and cluster-based permutation statistical testing.

作者信息

Urigüen Jose Antonio, García-Zapirain Begoña, Artieda Julio, Iriarte Jorge, Valencia Miguel

机构信息

Deustotech-Life (eVida), Universidad de Deusto, Bilbao, Spain.

Clínica Universidad de Navarra (CUN), Universidad de Navarra, Pamplona, Spain.

出版信息

PLoS One. 2017 Sep 18;12(9):e0184044. doi: 10.1371/journal.pone.0184044. eCollection 2017.

Abstract

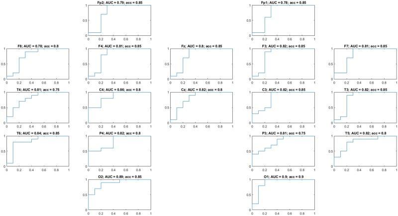
Idiopathic epilepsy is characterized by generalized seizures with no apparent cause. One of its main problems is the lack of biomarkers to monitor the evolution of patients. The only tools they can use are limited to inspecting the amount of seizures during previous periods of time and assessing the existence of interictal discharges. As a result, there is a need for improving the tools to assist the diagnosis and follow up of these patients. The goal of the present study is to compare and find a way to differentiate between two groups of patients suffering from idiopathic epilepsy, one group that could be followed-up by means of specific electroencephalographic (EEG) signatures (intercritical activity present), and another one that could not due to the absence of these markers. To do that, we analyzed the background EEG activity of each in the absence of seizures and epileptic intercritical activity. We used the Shannon spectral entropy (SSE) as a metric to discriminate between the two groups and performed permutation-based statistical tests to detect the set of frequencies that show significant differences. By constraining the spectral entropy estimation to the [6.25-12.89) Hz range, we detect statistical differences (at below 0.05 alpha-level) between both types of epileptic patients at all available recording channels. Interestingly, entropy values follow a trend that is inversely related to the elapsed time from the last seizure. Indeed, this trend shows asymptotical convergence to the SSE values measured in a group of healthy subjects, which present SSE values lower than any of the two groups of patients. All these results suggest that the SSE, measured in a specific range of frequencies, could serve to follow up the evolution of patients suffering from idiopathic epilepsy. Future studies remain to be conducted in order to assess the predictive value of this approach for the anticipation of seizures.

摘要

特发性癫痫的特征是出现无明显病因的全身性癫痫发作。其主要问题之一是缺乏用于监测患者病情进展的生物标志物。他们仅有的工具局限于检查前一段时间内癫痫发作的次数以及评估发作间期放电的存在情况。因此,需要改进这些工具以辅助对这些患者的诊断和随访。本研究的目的是比较并找到一种方法来区分两组特发性癫痫患者,一组可以通过特定的脑电图(EEG)特征(存在发作间期活动)进行随访,而另一组由于缺乏这些标志物则无法进行随访。为此,我们在无癫痫发作和癫痫发作间期活动的情况下分析了每组患者的背景脑电图活动。我们使用香农频谱熵(SSE)作为一种度量来区分这两组患者,并进行基于排列的统计检验以检测显示出显著差异的频率集。通过将频谱熵估计限制在[6.25 - 12.89)Hz范围内,我们在所有可用的记录通道上检测到了两种类型癫痫患者之间的统计学差异(在α水平低于0.05时)。有趣的是,熵值呈现出一种与距上次癫痫发作的时间呈负相关的趋势。实际上,这种趋势显示出渐近收敛到一组健康受试者中测量的SSE值,这些健康受试者的SSE值低于两组患者中的任何一组。所有这些结果表明,在特定频率范围内测量的SSE可用于随访特发性癫痫患者的病情进展。未来仍需开展研究以评估这种方法对癫痫发作预测的价值。

https://cdn.ncbi.nlm.nih.gov/pmc/blobs/1c16/5602520/c53cc3def47e/pone.0184044.g001.jpg

文献AI研究员

20分钟写一篇综述,助力文献阅读效率提升50倍。

立即体验

用中文搜PubMed

大模型驱动的PubMed中文搜索引擎

马上搜索

文档翻译

学术文献翻译模型,支持多种主流文档格式。

立即体验