• 文献检索
  • 文档翻译
  • 深度研究
  • 学术资讯
  • Suppr Zotero 插件Zotero 插件
  • 邀请有礼
  • 套餐&价格
  • 历史记录
应用&插件
Suppr Zotero 插件Zotero 插件浏览器插件Mac 客户端Windows 客户端微信小程序
定价
高级版会员购买积分包购买API积分包
服务
文献检索文档翻译深度研究API 文档MCP 服务
关于我们
关于 Suppr公司介绍联系我们用户协议隐私条款
关注我们

Suppr 超能文献

核心技术专利:CN118964589B侵权必究
粤ICP备2023148730 号-1Suppr @ 2026

文献检索

告别复杂PubMed语法,用中文像聊天一样搜索,搜遍4000万医学文献。AI智能推荐,让科研检索更轻松。

立即免费搜索

文件翻译

保留排版,准确专业,支持PDF/Word/PPT等文件格式,支持 12+语言互译。

免费翻译文档

深度研究

AI帮你快速写综述,25分钟生成高质量综述,智能提取关键信息,辅助科研写作。

立即免费体验

阐明苷元和糖苷类黄酮的皮肤递药:结构如何影响经皮吸收。

Elucidating the Skin Delivery of Aglycone and Glycoside Flavonoids: How the Structures Affect Cutaneous Absorption.

机构信息

Research Center for Food and Cosmetic Safety and Research Center for Chinese Herbal Medicine, Chang Gung University of Science and Technology, Kweishan, Taoyuan 333, Taiwan.

Department of Traditional Chinese Medicine, Chang Gung Memorial Hospital, Keelung 204, Taiwan.

出版信息

Nutrients. 2017 Nov 30;9(12):1304. doi: 10.3390/nu9121304.

DOI:10.3390/nu9121304
PMID:29189718
原文链接:https://pmc.ncbi.nlm.nih.gov/articles/PMC5748754/
Abstract

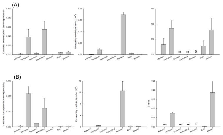
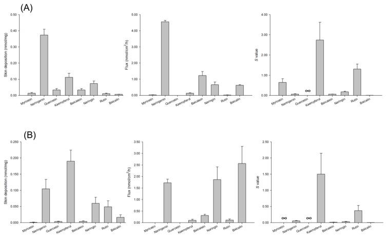
Flavonoids are bioactive phytochemicals that exhibit protective potential against cutaneous inflammation and photoaging. We selected eight flavonoid aglycones or glycosides to elucidate the chemistry behind their skin absorption capability through experimental and computational approaches. The skin delivery was conducted using nude mouse and pig skins mounted on an in vitro Franz cell assembly. The anti-inflammatory activity was examined using the O₂.

摘要

类黄酮是具有生物活性的植物化学成分,具有预防皮肤炎症和光老化的潜力。我们选择了 8 种类黄酮苷元或糖苷,通过实验和计算方法阐明了它们皮肤吸收能力背后的化学原理。使用安装在体外 Franz 细胞组件上的裸鼠和猪皮进行皮肤传递。使用 O₂ 来检查抗炎活性。

https://cdn.ncbi.nlm.nih.gov/pmc/blobs/4d4f/5748754/1d4de3fd3899/nutrients-09-01304-g006a.jpg
https://cdn.ncbi.nlm.nih.gov/pmc/blobs/4d4f/5748754/8f7d4da46ae0/nutrients-09-01304-g001.jpg
https://cdn.ncbi.nlm.nih.gov/pmc/blobs/4d4f/5748754/e6cbc9d1d144/nutrients-09-01304-g002.jpg
https://cdn.ncbi.nlm.nih.gov/pmc/blobs/4d4f/5748754/4d741afaa93f/nutrients-09-01304-g003.jpg
https://cdn.ncbi.nlm.nih.gov/pmc/blobs/4d4f/5748754/17f87942b05c/nutrients-09-01304-g004a.jpg
https://cdn.ncbi.nlm.nih.gov/pmc/blobs/4d4f/5748754/d5b25b3f525b/nutrients-09-01304-g005.jpg
https://cdn.ncbi.nlm.nih.gov/pmc/blobs/4d4f/5748754/1d4de3fd3899/nutrients-09-01304-g006a.jpg
https://cdn.ncbi.nlm.nih.gov/pmc/blobs/4d4f/5748754/8f7d4da46ae0/nutrients-09-01304-g001.jpg
https://cdn.ncbi.nlm.nih.gov/pmc/blobs/4d4f/5748754/e6cbc9d1d144/nutrients-09-01304-g002.jpg
https://cdn.ncbi.nlm.nih.gov/pmc/blobs/4d4f/5748754/4d741afaa93f/nutrients-09-01304-g003.jpg
https://cdn.ncbi.nlm.nih.gov/pmc/blobs/4d4f/5748754/17f87942b05c/nutrients-09-01304-g004a.jpg
https://cdn.ncbi.nlm.nih.gov/pmc/blobs/4d4f/5748754/d5b25b3f525b/nutrients-09-01304-g005.jpg
https://cdn.ncbi.nlm.nih.gov/pmc/blobs/4d4f/5748754/1d4de3fd3899/nutrients-09-01304-g006a.jpg

相似文献

1
Elucidating the Skin Delivery of Aglycone and Glycoside Flavonoids: How the Structures Affect Cutaneous Absorption.阐明苷元和糖苷类黄酮的皮肤递药:结构如何影响经皮吸收。
Nutrients. 2017 Nov 30;9(12):1304. doi: 10.3390/nu9121304.
2
Dietary flavonoid aglycones and their glycosides: Which show better biological significance?饮食类黄酮苷元和糖苷:哪一种具有更好的生物学意义?
Crit Rev Food Sci Nutr. 2017 Jun 13;57(9):1874-1905. doi: 10.1080/10408398.2015.1032400.
3
Pharmacokinetic Study of Bioactive Flavonoids in the Traditional Japanese Medicine Keigairengyoto Exerting Antibacterial Effects against Staphylococcus aureus.具有抗金黄色葡萄球菌作用的日本传统方剂薬用黄精汤中生物活性类黄酮的药代动力学研究。
Int J Mol Sci. 2018 Jan 23;19(2):328. doi: 10.3390/ijms19020328.
4
Methylation and Esterification of Magnolol for Ameliorating Cutaneous Targeting and Therapeutic Index by Topical Application.厚朴酚的甲基化和酯化用于通过局部应用改善皮肤靶向性和治疗指数
Pharm Res. 2016 Sep;33(9):2152-67. doi: 10.1007/s11095-016-1953-x. Epub 2016 May 27.
5
Anti-inflammatory activity and percutaneous absorption of quercetin and its polymethoxylated compound and glycosides: the relationships to chemical structures.槲皮素及其多甲氧基化合物和糖苷的抗炎活性和经皮吸收:与化学结构的关系。
Eur J Pharm Sci. 2012 Dec 18;47(5):857-64. doi: 10.1016/j.ejps.2012.04.024. Epub 2012 May 17.
6
Absorption and metabolism of flavonoids.黄酮类化合物的吸收与代谢。
Free Radic Biol Med. 2004 Apr 1;36(7):829-37. doi: 10.1016/j.freeradbiomed.2004.01.002.
7
Exploring the structure-permeation relationship of topical tricyclic antidepressants used for skin analgesia.探索用于皮肤镇痛的局部三环类抗抑郁药的结构-渗透关系。
Int J Pharm. 2017 May 15;523(1):386-397. doi: 10.1016/j.ijpharm.2017.03.048. Epub 2017 Mar 23.
8
Transport of aspalathin, a Rooibos tea flavonoid, across the skin and intestinal epithelium.南非博士茶黄酮阿斯巴甜素透过皮肤和肠道上皮的转运。
Phytother Res. 2008 May;22(5):699-704. doi: 10.1002/ptr.2422.
9
Percutaneous absorption of flavan-3-ol conjugates from plant procyanidins.植物原花青素中黄烷-3-醇共轭物的经皮吸收。
Drugs Exp Clin Res. 2004;30(1):1-10.
10
[Construction on the chitosan microparticles of baicalin and comparison of transdermal diffusion in vitro of baicalin in chitosan microparticles and cream].[黄芩苷壳聚糖微粒的制备及其与黄芩苷乳膏体外透皮扩散的比较]
Zhong Yao Cai. 2012 May;35(5):800-3.

引用本文的文献

1
Phytochemical and Antioxidant Profile of Pitaya (Hylocereus hybridum) Fruits: Elucidation Through Chemical Fractionation.火龙果(Hylocereus hybridum)果实的植物化学成分及抗氧化特性:通过化学分级法进行阐释
J Food Sci. 2025 Aug;90(8):e70502. doi: 10.1111/1750-3841.70502.
2
Therapeutic potential of flavonoids in gastrointestinal cancer: Focus on signaling pathways and improvement strategies (Review).黄酮类化合物在胃肠道癌中的治疗潜力:聚焦信号通路及改善策略(综述)
Mol Med Rep. 2025 Apr;31(4). doi: 10.3892/mmr.2025.13474. Epub 2025 Feb 28.
3
Endoplasmic reticulum stress in pancreatic β-cell dysfunction: The potential therapeutic role of dietary flavonoids.

本文引用的文献

1
A meta-analysis and review examining a possible role for oxidative stress and singlet oxygen in diverse diseases.一项荟萃分析及综述,探讨氧化应激和单线态氧在多种疾病中可能发挥的作用。
Biochem J. 2017 Aug 2;474(16):2713-2731. doi: 10.1042/BCJ20161058.
2
Naringenin improves the healing process of thermally-induced skin damage in rats.柚皮素可改善大鼠热诱导皮肤损伤的愈合过程。
J Int Med Res. 2017 Apr;45(2):570-582. doi: 10.1177/0300060517692483. Epub 2017 Mar 16.
3
Anti-ageing active ingredients from herbs and nutraceuticals used in traditional Chinese medicine: pharmacological mechanisms and implications for drug discovery.
内质网应激在胰腺β细胞功能障碍中的作用:膳食类黄酮的潜在治疗作用
Curr Res Pharmacol Drug Discov. 2024 May 24;6:100184. doi: 10.1016/j.crphar.2024.100184. eCollection 2024.
4
Development of Nanostructured Lipid Carrier-Loaded Flavonoid-Enriched .负载富含类黄酮的纳米结构脂质载体的研发
ACS Omega. 2024 Apr 5;9(15):17379-17388. doi: 10.1021/acsomega.4c00091. eCollection 2024 Apr 16.
5
Principles and clinical applications of transcutaneous laser-assisted drug delivery: A narrative review.经皮激光辅助药物递送的原理与临床应用:一篇叙述性综述。
Scars Burn Heal. 2024 Mar 18;10:20595131241234715. doi: 10.1177/20595131241234715. eCollection 2024 Jan-Dec.
6
Resveratrol and Its Derivatives in Inflammatory Skin Disorders-Atopic Dermatitis and Psoriasis: A Review.白藜芦醇及其衍生物在炎症性皮肤病——特应性皮炎和银屑病中的研究综述
Antioxidants (Basel). 2023 Nov 2;12(11):1954. doi: 10.3390/antiox12111954.
7
Research Progress of Flavonoids Regulating Endothelial Function.黄酮类化合物调节内皮功能的研究进展
Pharmaceuticals (Basel). 2023 Aug 23;16(9):1201. doi: 10.3390/ph16091201.
8
Research progress on the preparation and application of flavonoid nanocrystals.黄酮纳米晶体的制备与应用研究进展。
Zhejiang Da Xue Xue Bao Yi Xue Ban. 2023 Jun 25;52(3):338-348. doi: 10.3724/zdxbyxb-2023-0180.
9
Influence of Molecular Structure and Physicochemical Properties of Immunosuppressive Drugs on Micelle Formulation Characteristics and Cutaneous Delivery.免疫抑制药物的分子结构和物理化学性质对胶束制剂特性及经皮给药的影响
Pharmaceutics. 2023 Apr 19;15(4):1278. doi: 10.3390/pharmaceutics15041278.
10
Chemiexcitation: Mammalian Photochemistry in the Dark.化学激发:黑暗中的哺乳动物光化学
Photochem Photobiol. 2023 Mar;99(2):251-276. doi: 10.1111/php.13781. Epub 2023 Feb 7.
用于传统中药的草药和营养保健品中的抗衰老活性成分:药理机制及对药物研发的意义。
Br J Pharmacol. 2017 Jun;174(11):1395-1425. doi: 10.1111/bph.13631. Epub 2016 Oct 29.
4
Inhibition of skin inflammation by baicalin ultradeformable vesicles.黄芩苷超变形脂质体对皮肤炎症的抑制作用。
Int J Pharm. 2016 Sep 10;511(1):23-29. doi: 10.1016/j.ijpharm.2016.06.136. Epub 2016 Jun 30.
5
Mechanism of Action of Flavonoids in Prevention of Inflammation- Associated Skin Cancer.黄酮类化合物预防炎症相关性皮肤癌的作用机制
Curr Med Chem. 2016;23(32):3697-3716. doi: 10.2174/0929867323666160627110342.
6
Topically applied mesoridazine exhibits the strongest cutaneous analgesia and minimized skin disruption among tricyclic antidepressants: The skin absorption assessment.局部应用吗氯贝胺在三环类抗抑郁药中表现出最强的皮肤镇痛作用和最小的皮肤破坏作用:皮肤吸收评估。
Eur J Pharm Biopharm. 2016 Aug;105:59-68. doi: 10.1016/j.ejpb.2016.05.025. Epub 2016 May 31.
7
Methylation and Esterification of Magnolol for Ameliorating Cutaneous Targeting and Therapeutic Index by Topical Application.厚朴酚的甲基化和酯化用于通过局部应用改善皮肤靶向性和治疗指数
Pharm Res. 2016 Sep;33(9):2152-67. doi: 10.1007/s11095-016-1953-x. Epub 2016 May 27.
8
A Comparison of the Penetration and Permeation of Caffeine into and through Human Epidermis after Application in Various Vesicle Formulations.不同囊泡制剂应用后咖啡因渗透进入和透过人体表皮的比较。
Skin Pharmacol Physiol. 2016;29(1):24-30. doi: 10.1159/000441040. Epub 2015 Nov 6.
9
Antioxidant Activity of Magnolol and Honokiol: Kinetic and Mechanistic Investigations of Their Reaction with Peroxyl Radicals.厚朴酚与和厚朴酚的抗氧化活性:它们与过氧自由基反应的动力学及机理研究
J Org Chem. 2015 Nov 6;80(21):10651-9. doi: 10.1021/acs.joc.5b01772. Epub 2015 Oct 16.
10
Skin lipids: localization of ceramide and fatty acid in the unit cell of the long periodicity phase.皮肤脂质:长周期相晶胞中神经酰胺和脂肪酸的定位。
Biophys J. 2015 Jun 2;108(11):2670-9. doi: 10.1016/j.bpj.2015.04.030.