Department of Marine Biotechnology and Resources, National Sun Yat-sen University, Kaohsiung 804, Taiwan.
Department of Medicinal and Applied Chemistry, Kaohsiung Medical University, Kaohsiung 807, Taiwan.
Mar Drugs. 2017 Dec 19;15(12):392. doi: 10.3390/md15120392.
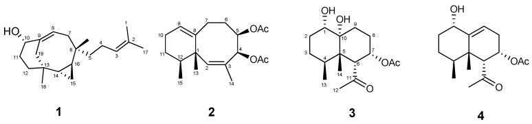
A novel cytotoxic diterpenoid, chabrolin A () (possessing an unprecedented terpenoid skeleton), as well as three new cytotoxic sesquiterpenoids, parathyrsoidins E-G (-), were isolated by cytotoxicity-guided fractionation from soft corals and . The structures of the new compounds were determined by extensive analysis of spectroscopic data.
从软珊瑚和中分离得到具有全新萜类骨架的新型细胞毒二萜化合物 chabrolin A () 以及三个新的细胞毒倍半萜化合物 parathyrsoidins E-G (-)。通过对光谱数据的综合分析确定了新化合物的结构。