Suppr超能文献

虚拟现实物理疗法中前臂的骨科机器人辅助康复方法。

An Orthopaedic Robotic-Assisted Rehabilitation Method of the Forearm in Virtual Reality Physiotherapy.

机构信息

Laboratory of Perceptual Robotics, Pisa, Scuola Superiore Sant' Anna, Italy.

Instituto de Ciencias Aplicadas y Tecnología, Universidad Nacional Autónoma de México, México City, Mexico.

出版信息

J Healthc Eng. 2018 Aug 1;2018:7438609. doi: 10.1155/2018/7438609. eCollection 2018.

Abstract

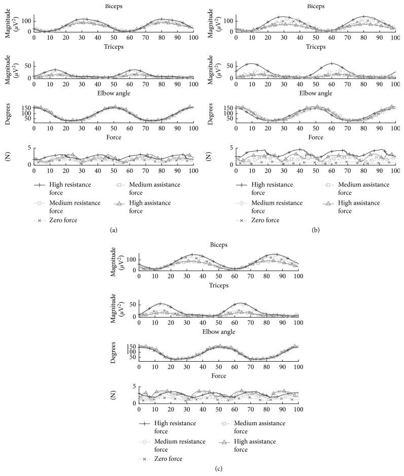
The use of robotic rehabilitation in orthopaedics has been briefly explored. Despite its possible advantages, the use of computer-assisted physiotherapy of patients with musculoskeletal injuries has received little attention. In this paper, we detailed the development and evaluation of a robotic-assisted rehabilitation system as a new methodology of assisted physiotherapy in orthopaedics. The proposal consists of an enhanced end-effector haptic interface mounted in a passive mechanism for allowing patients to perform upper-limb exercising and integrates virtual reality games conceived explicitly for assisting the treatment of the forearm after injuries at the wrist or elbow joints. The present methodology represents a new approach to assisted physiotherapy for strength and motion recovery of wrist pronation/supination and elbow flexion-extension movements. We design specific game scenarios enriched by proprioceptive and haptic force feedback in three training modes: passive, active, and assisted exercising. The system allows the therapist to tailor the difficulty level on the observed motion capacity of the patients and the kinesiology measurements provided by the system itself. We evaluated the system through the analysis of the muscular activity of two healthy subjects, showing that the system can assign significant working loads during typical physiotherapy treatment profiles. Subsequently, a group of ten patients undergoing manual orthopaedic rehabilitation of the forearm tested the system, under similar conditions at variable intensities. Patients tolerated changes in difficulty through the tests, and they expressed a favourable opinion of the system through the administered questionnaires, which indicates that the system was well accepted and that the proposed methodology was feasible for the case study for subsequently controlled trials. Finally, a predictive model of the performance score in the form of a linear combination of kinesiology observations was implemented in function of difficult training parameters, as a way of systematically individualising the training during the therapy, for subsequent studies.

摘要

机器人康复在矫形外科中的应用已经得到了简要的探索。尽管它可能具有优势,但计算机辅助治疗肌肉骨骼损伤患者的物理疗法应用却很少受到关注。在本文中,我们详细介绍了一种机器人辅助康复系统的开发和评估,该系统作为矫形外科中辅助物理疗法的新方法。该提案包括一个增强的末端执行器触觉接口,安装在一个被动机构中,以允许患者进行上肢锻炼,并集成了虚拟现实游戏,这些游戏专门用于辅助治疗手腕或肘部关节受伤后的前臂。目前的方法代表了一种新的辅助物理疗法方法,用于恢复手腕旋前/旋后和肘部屈伸运动的力量和运动。我们设计了特定的游戏场景,通过在三种训练模式(被动、主动和辅助锻炼)中增加本体感觉和触觉力反馈来丰富这些场景:被动、主动和辅助锻炼。该系统允许治疗师根据患者的观察运动能力和系统本身提供的运动学测量值来调整难度级别。我们通过对两名健康受试者的肌肉活动进行分析来评估系统,结果表明系统可以在典型的物理治疗治疗过程中分配显著的工作负荷。随后,一组 10 名接受前臂手动矫形康复的患者在不同强度下进行了系统测试。患者在测试过程中能够耐受难度的变化,并且通过管理的问卷调查表达了对系统的正面评价,这表明系统得到了很好的接受,并且所提出的方法对于随后的对照试验的案例研究是可行的。最后,实施了一种基于运动学观察的线性组合形式的性能评分预测模型,作为在治疗过程中系统地个性化训练的一种方式,以用于后续研究。

https://cdn.ncbi.nlm.nih.gov/pmc/blobs/af11/6093033/6b7ac4555b58/JHE2018-7438609.001.jpg

文献检索

告别复杂PubMed语法,用中文像聊天一样搜索,搜遍4000万医学文献。AI智能推荐,让科研检索更轻松。

立即免费搜索

文件翻译

保留排版,准确专业,支持PDF/Word/PPT等文件格式,支持 12+语言互译。

免费翻译文档

深度研究

AI帮你快速写综述,25分钟生成高质量综述,智能提取关键信息,辅助科研写作。

立即免费体验