Institute of Public Health and Clinical Nutrition, University of Eastern Finland, P.O. Box 1627, FIN-70211, Kuopio, Finland.
Central Finland Health Care District, Jyväskylä, Finland.
BMC Med. 2018 Nov 29;16(1):219. doi: 10.1186/s12916-018-1198-0.
Previous evidence indicates that sauna bathing is related to a reduced risk of fatal cardiovascular disease (CVD) events in men. The aim of this study was to investigate the relationship between sauna habits and CVD mortality in men and women, and whether adding information on sauna habits to conventional cardiovascular risk factors is associated with improvement in prediction of CVD mortality risk.
Sauna bathing habits were assessed at baseline in a sample of 1688 participants (mean age 63; range 53-74 years), of whom 51.4% were women. Multivariable-adjusted hazard ratios (HRs) were calculated to investigate the relationships of frequency and duration of sauna use with CVD mortality.
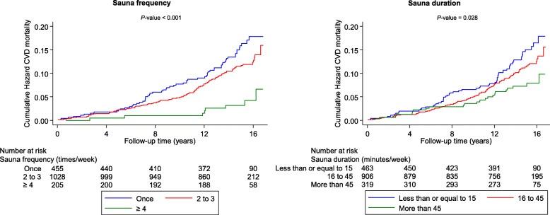
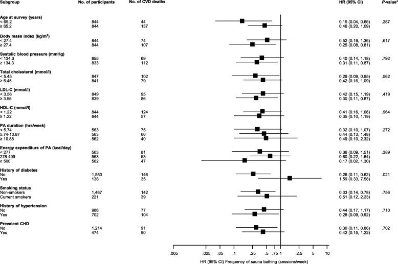
A total of 181 fatal CVD events occurred during a median follow-up of 15.0 years (interquartile range, 14.1-15.9). The risk of CVD mortality decreased linearly with increasing sauna sessions per week with no threshold effect. In age- and sex-adjusted analysis, compared with participants who had one sauna bathing session per week, HRs (95% CIs) for CVD mortality were 0.71 (0.52 to 0.98) and 0.30 (0.14 to 0.64) for participants with two to three and four to seven sauna sessions per week, respectively. After adjustment for established CVD risk factors, potential confounders including physical activity, socioeconomic status, and incident coronary heart disease, the corresponding HRs (95% CIs) were 0.75 (0.52 to 1.08) and 0.23 (0.08 to 0.65), respectively. The duration of sauna use (minutes per week) was inversely associated with CVD mortality in a continuous manner. Addition of information on sauna bathing frequency to a CVD mortality risk prediction model containing established risk factors was associated with a C-index change (0.0091; P = 0.010), difference in - 2 log likelihood (P = 0.019), and categorical net reclassification improvement (4.14%; P = 0.004).
Higher frequency and duration of sauna bathing are each strongly, inversely, and independently associated with fatal CVD events in middle-aged to elderly males and females. The frequency of sauna bathing improves the prediction of the long-term risk for CVD mortality.
先前的证据表明,桑拿浴与男性致命心血管疾病(CVD)事件的风险降低有关。本研究旨在探讨男性和女性中桑拿习惯与 CVD 死亡率之间的关系,以及将桑拿习惯信息添加到常规心血管危险因素中是否与 CVD 死亡率风险预测的改善有关。
在 1688 名参与者(平均年龄 63 岁;范围 53-74 岁)的样本中,在基线时评估了桑拿浴习惯,其中 51.4%为女性。计算多变量调整后的危险比(HRs),以研究桑拿使用频率和持续时间与 CVD 死亡率的关系。
在中位随访 15.0 年(四分位距,14.1-15.9)期间,共发生 181 例致命 CVD 事件。CVD 死亡率随每周桑拿次数的增加呈线性下降,无阈值效应。在年龄和性别调整分析中,与每周进行一次桑拿浴的参与者相比,每周进行两次至三次和四次至七次桑拿浴的参与者的 CVD 死亡率 HR(95%CI)分别为 0.71(0.52-0.98)和 0.30(0.14-0.64)。在调整既定 CVD 风险因素、包括体力活动、社会经济地位和新发冠心病在内的潜在混杂因素后,相应的 HR(95%CI)分别为 0.75(0.52-1.08)和 0.23(0.08-0.65)。每周桑拿使用时间(分钟)与 CVD 死亡率呈负相关。将桑拿浴频率信息添加到包含既定风险因素的 CVD 死亡率风险预测模型中,与 C 指数变化(0.0091;P=0.010)、-2 对数似然差(P=0.019)和分类净重新分类改善(4.14%;P=0.004)有关。
在中年至老年男性和女性中,桑拿浴的频率和持续时间越高,与致命 CVD 事件的关联就越强烈、呈负相关且独立。桑拿浴的频率提高了 CVD 死亡率的长期风险预测能力。