Institute of Occupational, Social and Environmental Medicine, Goethe University Frankfurt, Theodor-Stern-Kai 7, D-60590 Frankfurt am Main, Germany.
Medical Entomology, Department of Biomedical Sciences, Institute of Tropical Medicine, Nationalestraat 155, B-2000 Antwerpen, Germany.
Int J Environ Res Public Health. 2019 Jan 17;16(2):263. doi: 10.3390/ijerph16020263.
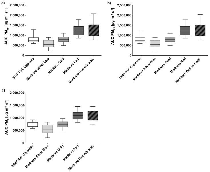
The inhalation of particulate matter (PM) in second-hand smoke (SHS) is hazardous to health of smokers and non-smokers. Tobacco strength (amount of tar, nicotine, and carbon monoxide) and different additives might have an effect on the amount of PM. This study aimed to investigate the influence of tobacco strength or additives on PM. Four cigarette types of the brand Marlboro with different strengths and with or without additives were analyzed in comparison to the 3R4F reference cigarette. SHS was generated by an automatic environmental tobacco smoke emitter (AETSE) in an enclosed space with a volume of 2.88 m³. PM concentrations (PM, PM, PM₁) were measured with a laser aerosol spectrometer followed by statistical analysis. The two strongest Marlboro brands (Red and Red without additives) showed the highest PM concentrations of all tested cigarettes. The measured mean concentrations Cmean of PM increased up to 1458 µg/m³ for the Marlboro Red without additives (PM: 1452 µg/m³, PM₁: 1263 µg/m³). The similarly strong Marlboro Red showed very similar PM values. The second strongest type Marlboro Gold showed 36% (PM, PM) and 32% (PM₁) lower values, respectively. The "lightest" type Marlboro Silver Blue showed 54% (PM, PM) or 50% (PM₁) lower PM values. The results indicate that the lower the tar, nicotine, and carbon monoxide amounts, as well as the longer the cigarette filter, the lower are the PM levels. An influence of additives could not be determined.
二手烟(SHS)中的颗粒物(PM)吸入对吸烟者和非吸烟者的健康都是有害的。烟草强度(焦油、尼古丁和一氧化碳的含量)和不同的添加剂可能会对 PM 的数量产生影响。本研究旨在调查烟草强度或添加剂对 PM 的影响。对四种不同品牌的万宝路香烟(Marlboro)进行了分析,这些香烟的品牌有不同的强度,并且有的含有添加剂,有的则没有,与 3R4F 参考香烟进行了比较。通过一个封闭空间内的自动环境烟草烟雾发射器(AETSE)在 2.88 立方米的体积中产生 SHS。使用激光气溶胶光谱仪测量 PM 浓度(PM、PM、PM₁),并进行了统计分析。两种最强劲的万宝路品牌(Red 和 Red without additives)显示出所有测试香烟中最高的 PM 浓度。测量得到的平均浓度 Cmean 的 PM 增加到 1458µg/m³,对于无添加剂的 Marlboro Red 来说(PM:1452µg/m³,PM₁:1263µg/m³)。同样强劲的 Marlboro Red 显示出非常相似的 PM 值。第二强的 Marlboro Gold 型分别降低了 36%(PM、PM)和 32%(PM₁)。“最轻”的 Marlboro Silver Blue 型的 PM 值分别降低了 54%(PM、PM)或 50%(PM₁)。结果表明,焦油、尼古丁和一氧化碳含量越低,香烟过滤嘴越长,PM 水平越低。添加剂的影响无法确定。