Suppr超能文献

道多脂酸 A-C,海洋来源放线菌中的羟基化鼠李糖脂

Dokdolipids A-C, Hydroxylated Rhamnolipids from the Marine-Derived Actinomycete .

机构信息

Department of Marine Biotechnology, University of Science and Technology, 217 Gajungro Yuseong-gu, Daejeon 34113, Korea.

Marine Natural Products Chemistry Laboratory, Korea Institute of Ocean Science and Technology, 385 Haeyang-ro, Yeongdo-gu, Busan 49111, Korea.

出版信息

Mar Drugs. 2019 Apr 20;17(4):237. doi: 10.3390/md17040237.

Abstract

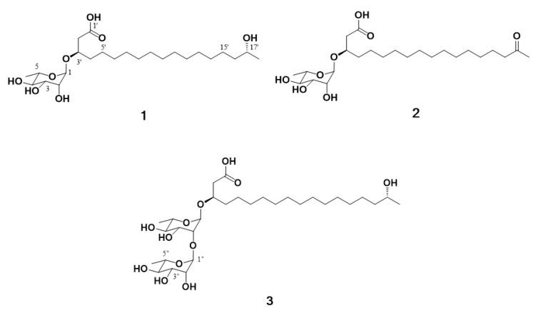
Three new hydroxylated rhamnolipids, dokdolipids A-C (-) were obtained from the marine actinomycete , which was isolated from a sediment sample collected off the coasts of Dokdo island, Republic of Korea. The structures of the isolated compounds were elucidated on the basis of 1D and 2D NMR and mass spectrometric data analyses. Their absolute configurations were assigned using the modified Mosher's method and specific rotation values, as well as acid hydrolysis, chemical derivatizations and subsequent HPLC analysis to determine the configuration of the sugar moieties. All new compounds were evaluated for their cytotoxicity against six cancer cell lines, HCT-15, NUGC-3, NCI-H23, ACHN, PC-3 and MDA-MB-231. Compounds - displayed moderate cytotoxicity against all the cell lines tested with IC values ranging from 13.7-41.5 µM.

摘要

从海洋放线菌中分离得到三种新的羟基化鼠李糖脂 dokdolipids A-C(-),该放线菌是从韩国独岛(Dokdo island)海域的沉积物样本中分离得到的。根据 1D 和 2D NMR 以及质谱数据分析,确定了分离化合物的结构。使用改进的 Mosher 法和比旋光度以及酸水解、化学衍生化和随后的 HPLC 分析来确定糖部分的构型,从而确定了它们的绝对构型。所有新化合物均针对其对六种癌细胞系 HCT-15、NUGC-3、NCI-H23、ACHN、PC-3 和 MDA-MB-231 的细胞毒性进行了评估。化合物-对所有测试的细胞系均表现出中等的细胞毒性,IC 值范围为 13.7-41.5 µM。

https://cdn.ncbi.nlm.nih.gov/pmc/blobs/c4f4/6521253/eea9b4d76c31/marinedrugs-17-00237-g001.jpg

文献检索

告别复杂PubMed语法,用中文像聊天一样搜索,搜遍4000万医学文献。AI智能推荐,让科研检索更轻松。

立即免费搜索

文件翻译

保留排版,准确专业,支持PDF/Word/PPT等文件格式,支持 12+语言互译。

免费翻译文档

深度研究

AI帮你快速写综述,25分钟生成高质量综述,智能提取关键信息,辅助科研写作。

立即免费体验