Li Shaoguang, Luo Shaohong, Chen Hao, Zheng Yanjie, Lin Liqing, Yao Hong, Lin Xinhua
Department of Pharmaceutical Analysis, Faculty of Pharmacy, Fujian Medical University, Fuzhou 350122, People's Republic of China.
Drug Des Devel Ther. 2019 May 8;13:1555-1566. doi: 10.2147/DDDT.S201816. eCollection 2019.
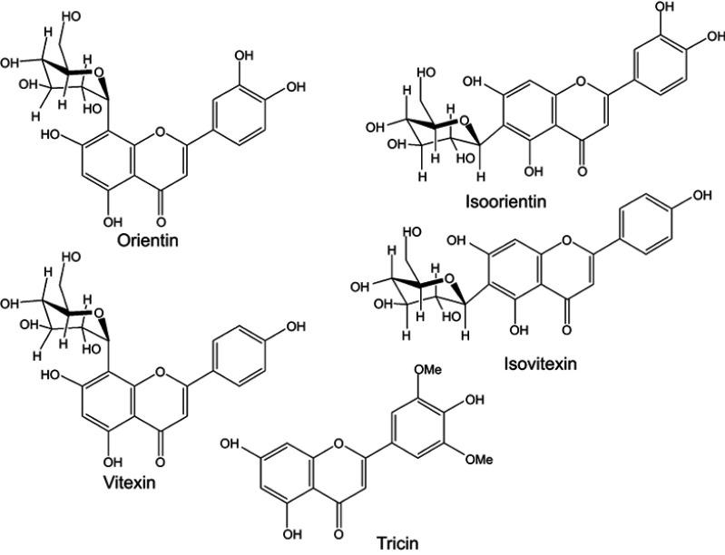
Discovering new antimyocardial ischemia drug candidates that are highly efficient, have low toxicity, and originate from natural products is a popular trend for new cardiovascular drug development at present. The ethanol extract of leaves showed a favorable antioxidant activity in our preliminary screening test. This study aims to screen out antioxidants from the herb leaves further and evaluate their efficacy in acute myocardial ischemia treatment at the cellular level. Guided with online 1, 1-diphenyl-2-picrylhydrazyl (DPPH)-high-performance liquid chromatography (HPLC) screening, antioxidants were first separated and isolated from the ethanol extract of leaves by preparative-HPLC. Subsequently, offline DPPH approach was used to validate the free radical scavenging activity of the components. Ultimately, the resulting antioxidants were evaluated against the hypoxia/reoxygenation (H/R)-, HO-, or adriamycin (ADM)-induced injury in H9c2 cells to verify their cardioprotective effects in vitro. Five antioxidant ingredients, namely, orientin, isoorientin, vitexin, isovitexin, and tricin, were quickly distinguished and isolated from leaves. The IC values of these ingredients were further examined by offline DPPH assay, as follows: 15.51±0.22, 6.64±0.38, 11.86±0.24, 8.89±0.66, and 31.86±0.24 μg/mL, respectively. Out of these ingredients, isoorientin showed the strongest antioxidation, which was equivalent to that of the positive control drug (vitamin C, IC: 6.99±0.62 μg/mL). Using H/R-, HO-, and ADM-induced H9c2 cell injury models, the five ingredients had different extents of cardioprotective effects in vitro. In particular, isoorientin showed the strongest protection. All the five ingredients also showed insignificant cytotoxic effect to normal H9c2 cells. The ethanol extract of leaves contained five antioxidants with low cardiac cytotoxicity. Isoorientin possessed the strongest antioxidation, which can predominantly account for the myocardial protection effects within the extract.
发现高效、低毒且源自天然产物的新型抗心肌缺血候选药物是目前新心血管药物研发的一个热门趋势。在我们的初步筛选试验中,该植物叶子的乙醇提取物显示出良好的抗氧化活性。本研究旨在进一步从该植物叶子中筛选出抗氧化剂,并在细胞水平评估它们在急性心肌缺血治疗中的功效。在在线1,1-二苯基-2-苦基肼(DPPH)-高效液相色谱(HPLC)筛选的指导下,首先通过制备型HPLC从该植物叶子的乙醇提取物中分离出抗氧化剂。随后,采用离线DPPH方法验证各成分的自由基清除活性。最终,将所得抗氧化剂用于评估其对H9c2细胞中缺氧/复氧(H/R)、过氧化氢(HO)或阿霉素(ADM)诱导损伤的作用,以验证它们在体外的心脏保护作用。从该植物叶子中快速鉴别并分离出了5种抗氧化成分,即荭草素、异荭草素、牡荆素、异牡荆素和小麦黄素。通过离线DPPH测定进一步检测了这些成分的半数抑制浓度(IC)值,结果如下:分别为15.51±0.22、6.64±0.38、11.86±0.24、8.89±0.66和31.86±0.24μg/mL。在这些成分中,异荭草素显示出最强的抗氧化作用,与阳性对照药物(维生素C,IC:6.99±0.62μg/mL)相当。利用H/R、HO和ADM诱导的H9c2细胞损伤模型,这5种成分在体外具有不同程度的心脏保护作用。特别是,异荭草素显示出最强的保护作用。所有这5种成分对正常H9c2细胞也显示出不显著的细胞毒性作用。该植物叶子的乙醇提取物含有5种心脏细胞毒性低的抗氧化剂。异荭草素具有最强的抗氧化作用,这可以主要解释提取物中的心肌保护作用。