• 文献检索
  • 文档翻译
  • 深度研究
  • 学术资讯
  • Suppr Zotero 插件Zotero 插件
  • 邀请有礼
  • 套餐&价格
  • 历史记录
应用&插件
Suppr Zotero 插件Zotero 插件浏览器插件Mac 客户端Windows 客户端微信小程序
定价
高级版会员购买积分包购买API积分包
服务
文献检索文档翻译深度研究API 文档MCP 服务
关于我们
关于 Suppr公司介绍联系我们用户协议隐私条款
关注我们

Suppr 超能文献

核心技术专利:CN118964589B侵权必究
粤ICP备2023148730 号-1Suppr @ 2026

文献检索

告别复杂PubMed语法,用中文像聊天一样搜索,搜遍4000万医学文献。AI智能推荐,让科研检索更轻松。

立即免费搜索

文件翻译

保留排版,准确专业,支持PDF/Word/PPT等文件格式,支持 12+语言互译。

免费翻译文档

深度研究

AI帮你快速写综述,25分钟生成高质量综述,智能提取关键信息,辅助科研写作。

立即免费体验

人类致病寄生虫的线粒体基因组学()。 (你提供的原文括号部分内容缺失,请补充完整以便准确翻译。)

Mitochondrial genomics of human pathogenic parasite () .

作者信息

Urrea Daniel Alfonso, Triana-Chavez Omar, Alzate Juan F

机构信息

Laboratorio de Investigaciones en Parasitología Tropical (LIPT), Departamento de Biología, Facultad de Ciencias, Universidad del Tolima, Ibague, Tolima, Colombia.

Grupo Biología y Control de Enfermedades Infecciosas (BCEI), Universidad de Antioquia, Medellín, Antioquia, Colombia.

出版信息

PeerJ. 2019 Jul 2;7:e7235. doi: 10.7717/peerj.7235. eCollection 2019.

DOI:10.7717/peerj.7235
PMID:31304069
原文链接:https://pmc.ncbi.nlm.nih.gov/articles/PMC6611448/
Abstract

BACKGROUND

The human parasite is one of the pathogenic species responsible for cutaneous leishmaniasis in Central and South America. Despite its importance in molecular parasitology, its mitochondrial genome, divided into minicircles and maxicircles, haven't been described so far.

METHODS

Using NGS-based sequencing (454 and ILLUMINA), and combining genome assembly and mapping strategies, we report the maxicircle kDNA annotated genome of , the first reference of this molecule for the subgenus . A comparative genomics approach is performed against other and species.

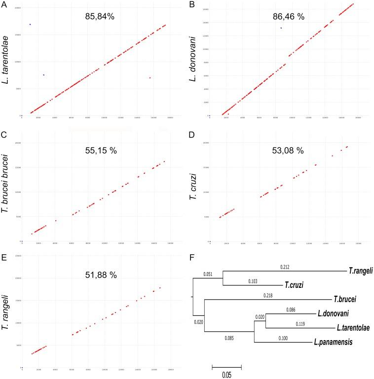
RESULTS

The results show synteny of mitochondrial genes of with other kinetoplastids. It was also possible to identify nucleotide variants within the coding regions of the maxicircle, shared among some of them and others specific to each strain. Furthermore, we compared the minicircles kDNA sequences of two strains and the results show that the conserved and divergent regions of the minicircles exhibit strain-specific associations.

摘要

背景

这种人类寄生虫是中南美洲皮肤利什曼病的致病物种之一。尽管其在分子寄生虫学中具有重要意义,但其线粒体基因组分为小环和大环,迄今为止尚未被描述。

方法

使用基于二代测序技术(454和ILLUMINA),并结合基因组组装和定位策略,我们报告了该寄生虫的大环动质体DNA注释基因组,这是该亚属该分子的首个参考基因组。对其他该属和种进行了比较基因组学分析。

结果

结果表明该寄生虫的线粒体基因与其他动质体具有共线性。还能够识别大环编码区域内的核苷酸变异,其中一些变异在部分菌株中共享,而其他变异则是每个菌株特有的。此外,我们比较了两个菌株的小环动质体DNA序列,结果表明小环的保守和发散区域呈现出菌株特异性关联。

https://cdn.ncbi.nlm.nih.gov/pmc/blobs/8e94/6611448/781a91ea43a2/peerj-07-7235-g004.jpg
https://cdn.ncbi.nlm.nih.gov/pmc/blobs/8e94/6611448/31336c4f9710/peerj-07-7235-g001.jpg
https://cdn.ncbi.nlm.nih.gov/pmc/blobs/8e94/6611448/bfd3e913ffd1/peerj-07-7235-g002.jpg
https://cdn.ncbi.nlm.nih.gov/pmc/blobs/8e94/6611448/20d12b5a59e0/peerj-07-7235-g003.jpg
https://cdn.ncbi.nlm.nih.gov/pmc/blobs/8e94/6611448/781a91ea43a2/peerj-07-7235-g004.jpg
https://cdn.ncbi.nlm.nih.gov/pmc/blobs/8e94/6611448/31336c4f9710/peerj-07-7235-g001.jpg
https://cdn.ncbi.nlm.nih.gov/pmc/blobs/8e94/6611448/bfd3e913ffd1/peerj-07-7235-g002.jpg
https://cdn.ncbi.nlm.nih.gov/pmc/blobs/8e94/6611448/20d12b5a59e0/peerj-07-7235-g003.jpg
https://cdn.ncbi.nlm.nih.gov/pmc/blobs/8e94/6611448/781a91ea43a2/peerj-07-7235-g004.jpg

相似文献

1
Mitochondrial genomics of human pathogenic parasite () .人类致病寄生虫的线粒体基因组学()。 (你提供的原文括号部分内容缺失,请补充完整以便准确翻译。)
PeerJ. 2019 Jul 2;7:e7235. doi: 10.7717/peerj.7235. eCollection 2019.
2
The genome of Leishmania panamensis: insights into genomics of the L. (Viannia) subgenus.巴拿马利什曼原虫的基因组:对利什曼原虫(维氏亚属)亚基因组学的见解
Sci Rep. 2015 Feb 24;5:8550. doi: 10.1038/srep08550.
3
Identification of a unique conserved region from a kinetoplastid genome of Leishmania orientalis (formerly named Leishmania siamensis) strain PCM2 in Thailand.鉴定来自泰国东方利什曼原虫(原名暹罗利什曼原虫)菌株 PCM2 的动基体基因组中的一个独特保守区域。
Sci Rep. 2023 Nov 10;13(1):19644. doi: 10.1038/s41598-023-46638-3.
4
Identification of a conserved maxicircle and unique minicircles as part of the mitochondrial genome of Leishmania martiniquensis strain PCM3 in Thailand.鉴定出一种保守的大环和独特的小环,它们是泰国利什曼原虫 PCM3 株线粒体基因组的一部分。
Parasit Vectors. 2022 Dec 12;15(1):459. doi: 10.1186/s13071-022-05592-1.
5
Mitochondrial Genomes: Maxicircle Structure and Heterogeneity of Minicircles.线粒体基因组:大环结构与小环异质性。
Genes (Basel). 2019 Sep 26;10(10):758. doi: 10.3390/genes10100758.
6
Assembly of a Large Collection of Maxicircle Sequences and Their Usefulness for Taxonomy and Strain Typing.大量微环序列的组装及其在分类和菌株分型中的应用。
Genes (Basel). 2022 Jun 15;13(6):1070. doi: 10.3390/genes13061070.
7
The Complete Mitochondrial DNA of : Maxicircles and Minicircles.: 巨环和微环的完整线粒体 DNA。
Front Cell Infect Microbiol. 2021 Jun 29;11:672448. doi: 10.3389/fcimb.2021.672448. eCollection 2021.
8
Intraspecific Genomic Divergence and Minor Structural Variations in .种内基因组差异和. 中的微小结构变异
Genes (Basel). 2020 Feb 27;11(3):252. doi: 10.3390/genes11030252.
9
Genomic diversity and genetic variation of Leishmania panamensis within its endemic range.泛美利什曼原虫在其流行范围内的基因组多样性和遗传变异。
Infect Genet Evol. 2022 Sep;103:105342. doi: 10.1016/j.meegid.2022.105342. Epub 2022 Jul 22.
10
and reference genomes highlight genome structure and gene evolution in the subgenus.参考基因组揭示了该亚属的基因组结构和基因进化。
R Soc Open Sci. 2018 Apr 25;5(4):172212. doi: 10.1098/rsos.172212. eCollection 2018 Apr.

引用本文的文献

1
High-throughput analysis of the Trypanosoma cruzi minicirculome (mcDNA) unveils structural variation and functional diversity.高通量分析克氏锥虫微小环(mcDNA)揭示了结构变异和功能多样性。
Sci Rep. 2024 Mar 7;14(1):5578. doi: 10.1038/s41598-024-56076-4.
2
A phased genome assembly of a Colombian Trypanosoma cruzi TcI strain and the evolution of gene families.哥伦比亚克氏锥虫 TcI 株的分步基因组组装和基因家族进化。
Sci Rep. 2024 Jan 24;14(1):2054. doi: 10.1038/s41598-024-52449-x.
3
Identification of a unique conserved region from a kinetoplastid genome of Leishmania orientalis (formerly named Leishmania siamensis) strain PCM2 in Thailand.

本文引用的文献

1
Genomic Analysis of Colombian Leishmania panamensis strains with different level of virulence.哥伦比亚潘氏利什曼原虫不同毒力株的基因组分析。
Sci Rep. 2018 Nov 26;8(1):17336. doi: 10.1038/s41598-018-35778-6.
2
Analysis of genetic polymorphisms and tropism in East African Leishmania donovani by Amplified Fragment Length Polymorphism and kDNA minicircle sequencing.应用扩增片段长度多态性和 kDNA 微环序列分析东非利什曼原虫的遗传多态性和嗜性。
Infect Genet Evol. 2018 Nov;65:80-90. doi: 10.1016/j.meegid.2018.07.016. Epub 2018 Jul 19.
3
The kinetoplast DNA of the Australian trypanosome, Trypanosoma copemani, shares features with Trypanosoma cruzi and Trypanosoma lewisi.
鉴定来自泰国东方利什曼原虫(原名暹罗利什曼原虫)菌株 PCM2 的动基体基因组中的一个独特保守区域。
Sci Rep. 2023 Nov 10;13(1):19644. doi: 10.1038/s41598-023-46638-3.
4
Assembly of a Large Collection of Maxicircle Sequences and Their Usefulness for Taxonomy and Strain Typing.大量微环序列的组装及其在分类和菌株分型中的应用。
Genes (Basel). 2022 Jun 15;13(6):1070. doi: 10.3390/genes13061070.
5
Experimental Hybridization in : Tools for the Study of Genetic Exchange.《实验杂交:遗传交换研究工具》
Pathogens. 2022 May 14;11(5):580. doi: 10.3390/pathogens11050580.
6
Molecular Diagnosis of Leishmaniasis: Quantification of Parasite Load by a Real-Time PCR Assay with High Sensitivity.利什曼病的分子诊断:通过高灵敏度实时PCR检测法定量寄生虫载量
Pathogens. 2021 Jul 9;10(7):865. doi: 10.3390/pathogens10070865.
7
Common Structural Patterns in the Maxicircle Divergent Region of Trypanosomatidae.锥虫科线粒体大环发散区的常见结构模式
Pathogens. 2020 Feb 5;9(2):100. doi: 10.3390/pathogens9020100.
8
Mitochondrial Genomes: Maxicircle Structure and Heterogeneity of Minicircles.线粒体基因组:大环结构与小环异质性。
Genes (Basel). 2019 Sep 26;10(10):758. doi: 10.3390/genes10100758.
澳大利亚锥体虫的动基体 DNA 与克氏锥虫和利什曼原虫具有共同特征。
Int J Parasitol. 2018 Aug;48(9-10):691-700. doi: 10.1016/j.ijpara.2018.02.006. Epub 2018 May 17.
4
The use of kDNA minicircle subclass relative abundance to differentiate between Leishmania (L.) infantum and Leishmania (L.) amazonensis.利用动质体DNA小环亚类相对丰度区分婴儿利什曼原虫和亚马逊利什曼原虫。
Parasit Vectors. 2017 May 16;10(1):239. doi: 10.1186/s13071-017-2181-x.
5
Minicircle classes heterogeneity within the TcIII and TcIV discrete typing units of Trypanosoma cruzi.克氏锥虫TcIII和TcIV离散分型单位内的微小环类异质性。
Infect Genet Evol. 2017 Jul;51:104-107. doi: 10.1016/j.meegid.2017.03.017. Epub 2017 Mar 16.
6
Analysis of the mitochondrial maxicircle of Trypanosoma lewisi, a neglected human pathogen.对一种被忽视的人类病原体——鲁氏锥虫线粒体大圆环的分析。
Parasit Vectors. 2015 Dec 30;8:665. doi: 10.1186/s13071-015-1281-8.
7
Comparison of the Mitochondrial Genomes and Steady State Transcriptomes of Two Strains of the Trypanosomatid Parasite, Leishmania tarentolae.两种锥虫寄生虫利什曼原虫(Leishmania tarentolae)线粒体基因组与稳态转录组的比较
PLoS Negl Trop Dis. 2015 Jul 23;9(7):e0003841. doi: 10.1371/journal.pntd.0003841. eCollection 2015.
8
The genome of Leishmania panamensis: insights into genomics of the L. (Viannia) subgenus.巴拿马利什曼原虫的基因组:对利什曼原虫(维氏亚属)亚基因组学的见解
Sci Rep. 2015 Feb 24;5:8550. doi: 10.1038/srep08550.
9
Genome of the avirulent human-infective trypanosome--Trypanosoma rangeli.无毒力的人感染性锥虫——兰氏锥虫的基因组。
PLoS Negl Trop Dis. 2014 Sep 18;8(9):e3176. doi: 10.1371/journal.pntd.0003176. eCollection 2014 Sep.
10
An integrated framework for discovery and genotyping of genomic variants from high-throughput sequencing experiments.一个用于从高通量测序实验中发现基因组变异并进行基因分型的综合框架。
Nucleic Acids Res. 2014 Apr;42(6):e44. doi: 10.1093/nar/gkt1381. Epub 2014 Jan 11.