• 文献检索
  • 文档翻译
  • 深度研究
  • 学术资讯
  • Suppr Zotero 插件Zotero 插件
  • 邀请有礼
  • 套餐&价格
  • 历史记录
应用&插件
Suppr Zotero 插件Zotero 插件浏览器插件Mac 客户端Windows 客户端微信小程序
定价
高级版会员购买积分包购买API积分包
服务
文献检索文档翻译深度研究API 文档MCP 服务
关于我们
关于 Suppr公司介绍联系我们用户协议隐私条款
关注我们

Suppr 超能文献

核心技术专利:CN118964589B侵权必究
粤ICP备2023148730 号-1Suppr @ 2026

文献检索

告别复杂PubMed语法,用中文像聊天一样搜索,搜遍4000万医学文献。AI智能推荐,让科研检索更轻松。

立即免费搜索

文件翻译

保留排版,准确专业,支持PDF/Word/PPT等文件格式,支持 12+语言互译。

免费翻译文档

深度研究

AI帮你快速写综述,25分钟生成高质量综述,智能提取关键信息,辅助科研写作。

立即免费体验

估算 2020 年 1-2 月中国新冠肺炎死亡风险。

Estimating Risk for Death from Coronavirus Disease, China, January-February 2020.

出版信息

Emerg Infect Dis. 2020 Jun;26(6):1251-1256. doi: 10.3201/eid2606.200233. Epub 2020 Jun 17.

DOI:10.3201/eid2606.200233
PMID:32168464
原文链接:https://pmc.ncbi.nlm.nih.gov/articles/PMC7258458/
Abstract

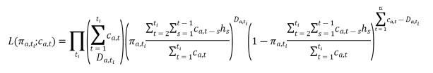
Since December 2019, when the first case of coronavirus disease (COVID-19) was identified in the city of Wuhan in the Hubei Province of China, the epidemic has generated tens of thousands of cases throughout China. As of February 28, 2020, the cumulative number of reported deaths in China was 2,858. We estimated the time-delay adjusted risk for death from COVID-19 in Wuhan, as well as for China excluding Wuhan, to assess the severity of the epidemic in the country. Our estimates of the risk for death in Wuhan reached values as high as 12% in the epicenter of the epidemic and ≈1% in other, more mildly affected areas. The elevated death risk estimates are probably associated with a breakdown of the healthcare system, indicating that enhanced public health interventions, including social distancing and movement restrictions, should be implemented to bring the COVID-19 epidemic under control.

摘要

自 2019 年 12 月中国湖北省武汉市首次报告冠状病毒病(COVID-19)病例以来,中国已出现数万例病例。截至 2020 年 2 月 28 日,中国报告的死亡累计人数为 2858 人。我们估计了 COVID-19 在武汉以及中国除武汉以外地区的死亡时间调整风险,以评估疫情在中国的严重程度。我们对武汉的死亡风险估计值高达疫情中心地区的 12%,其他受影响较轻的地区则约为 1%。高死亡率的估计值可能与医疗体系崩溃有关,这表明应采取强化公共卫生干预措施,包括社会隔离和行动限制,以控制 COVID-19 疫情。

https://cdn.ncbi.nlm.nih.gov/pmc/blobs/9835/7258458/1971316af099/20-0233-F3.jpg
https://cdn.ncbi.nlm.nih.gov/pmc/blobs/9835/7258458/9aa7aa1d56c2/20-0233-F4.jpg
https://cdn.ncbi.nlm.nih.gov/pmc/blobs/9835/7258458/e10daf5b7773/20-0233-F1.jpg
https://cdn.ncbi.nlm.nih.gov/pmc/blobs/9835/7258458/551dd959423c/20-0233-F2.jpg
https://cdn.ncbi.nlm.nih.gov/pmc/blobs/9835/7258458/1971316af099/20-0233-F3.jpg
https://cdn.ncbi.nlm.nih.gov/pmc/blobs/9835/7258458/9aa7aa1d56c2/20-0233-F4.jpg
https://cdn.ncbi.nlm.nih.gov/pmc/blobs/9835/7258458/e10daf5b7773/20-0233-F1.jpg
https://cdn.ncbi.nlm.nih.gov/pmc/blobs/9835/7258458/551dd959423c/20-0233-F2.jpg
https://cdn.ncbi.nlm.nih.gov/pmc/blobs/9835/7258458/1971316af099/20-0233-F3.jpg

相似文献

1
Estimating Risk for Death from Coronavirus Disease, China, January-February 2020.估算 2020 年 1-2 月中国新冠肺炎死亡风险。
Emerg Infect Dis. 2020 Jun;26(6):1251-1256. doi: 10.3201/eid2606.200233. Epub 2020 Jun 17.
2
Estimating the instant case fatality rate of COVID-19 in China.估算中国 COVID-19 的即时病死率。
Int J Infect Dis. 2020 Aug;97:1-6. doi: 10.1016/j.ijid.2020.04.055. Epub 2020 Apr 24.
3
Case-Fatality Risk Estimates for COVID-19 Calculated by Using a Lag Time for Fatality.使用病死率滞后时间估算 COVID-19 的病死率风险估计。
Emerg Infect Dis. 2020 Jun;26(6):1339-1441. doi: 10.3201/eid2606.200320. Epub 2020 Jun 17.
4
Lockdown Contained the Spread of 2019 Novel Coronavirus Disease in Huangshi City, China: Early Epidemiological Findings. lockdown 限制措施遏制了 2019 年新型冠状病毒病在中国黄石市的传播:早期流行病学调查结果。
Clin Infect Dis. 2020 Sep 12;71(6):1454-1460. doi: 10.1093/cid/ciaa390.
5
Risk estimation of the SARS-CoV-2 acute respiratory disease outbreak outside China.中国境外新型冠状病毒急性呼吸道疾病爆发的风险评估
Theor Biol Med Model. 2020 Jun 5;17(1):9. doi: 10.1186/s12976-020-00127-6.
6
Importance of timely management of patients in reducing fatality rate of coronavirus disease 2019.及时对患者进行管理对降低 2019 年冠状病毒病死亡率的重要性。
J Infect Public Health. 2020 Jun;13(6):890-892. doi: 10.1016/j.jiph.2020.04.015. Epub 2020 May 11.
7
[The epidemiological characteristics of an outbreak of 2019 novel coronavirus diseases (COVID-19) in China].[中国2019新型冠状病毒病(COVID-19)疫情的流行病学特征]
Zhonghua Liu Xing Bing Xue Za Zhi. 2020 Feb 10;41(2):145-151. doi: 10.3760/cma.j.issn.0254-6450.2020.02.003.
8
Risk estimation and prediction of the transmission of coronavirus disease-2019 (COVID-19) in the mainland of China excluding Hubei province.中国大陆(不含湖北省) 2019 年冠状病毒病(COVID-19)传播的风险估计和预测。
Infect Dis Poverty. 2020 Aug 24;9(1):116. doi: 10.1186/s40249-020-00683-6.
9
Early epidemiological assessment of the transmission potential and virulence of coronavirus disease 2019 (COVID-19) in Wuhan City, China, January-February, 2020.2020 年 1 月至 2 月中国武汉市 2019 年冠状病毒病(COVID-19)传播潜力和毒力的早期流行病学评估。
BMC Med. 2020 Jul 15;18(1):217. doi: 10.1186/s12916-020-01691-x.
10
Data-based analysis, modelling and forecasting of the COVID-19 outbreak.基于数据的 COVID-19 疫情分析、建模和预测。
PLoS One. 2020 Mar 31;15(3):e0230405. doi: 10.1371/journal.pone.0230405. eCollection 2020.

引用本文的文献

1
Modelling the potential use of pre-exposure prophylaxis to reduce nosocomial SARS-CoV-2 transmission.模拟暴露前预防措施在减少医院获得性严重急性呼吸综合征冠状病毒2传播方面的潜在用途。
PLoS Comput Biol. 2025 Aug 5;21(8):e1013361. doi: 10.1371/journal.pcbi.1013361. eCollection 2025 Aug.
2
Estimation of standardized real-time fatality rate for ongoing epidemics.估算正在进行的传染病的标准化实时病死率。
PLoS One. 2024 May 21;19(5):e0303861. doi: 10.1371/journal.pone.0303861. eCollection 2024.
3
Self-care, Household Cleaning and Disinfection During COVID-19 Pandemic: A Study from Metropolitan Cities of India.

本文引用的文献

1
Transmission potential of the novel coronavirus (COVID-19) onboard the diamond Princess Cruises Ship, 2020.2020年钻石公主号邮轮上新型冠状病毒(COVID-19)的传播潜力
Infect Dis Model. 2020 Feb 29;5:264-270. doi: 10.1016/j.idm.2020.02.003. eCollection 2020.
2
Estimating the asymptomatic proportion of coronavirus disease 2019 (COVID-19) cases on board the Diamond Princess cruise ship, Yokohama, Japan, 2020.估算 2020 年日本横滨钻石公主号游轮上的 2019 年冠状病毒病(COVID-19)病例的无症状比例。
Euro Surveill. 2020 Mar;25(10). doi: 10.2807/1560-7917.ES.2020.25.10.2000180.
3
Characteristics of COVID-19 infection in Beijing.
2019冠状病毒病大流行期间的自我护理、家庭清洁与消毒:一项来自印度大城市的研究
Ann Data Sci. 2022;9(5):1085-1101. doi: 10.1007/s40745-022-00377-w. Epub 2022 Mar 23.
4
A new method for accurate calculation of case fatality rates during a pandemic: Mathematical deduction based on population-level big data.一种在大流行期间准确计算病死率的新方法:基于人群水平大数据的数学推导
Infect Med (Beijing). 2023 Mar 31;2(2):96-104. doi: 10.1016/j.imj.2023.03.002. eCollection 2023 Jun.
5
Psychological Toll of the COVID-19 Pandemic: An In-Depth Exploration of Anxiety, Depression, and Insomnia and the Influence of Quarantine Measures on Daily Life.新冠疫情的心理代价:对焦虑、抑郁和失眠的深入探究以及隔离措施对日常生活的影响
Healthcare (Basel). 2023 Aug 29;11(17):2418. doi: 10.3390/healthcare11172418.
6
Risk factors for deaths associated with COVID-19 according to the cause of death classification in Republic of Korea.根据韩国死因分类,与2019冠状病毒病相关的死亡风险因素。
Osong Public Health Res Perspect. 2023 Apr;14(2):89-99. doi: 10.24171/j.phrp.2022.0312. Epub 2023 Apr 18.
7
Time-dependent risk of COVID-19 death with overwhelmed health-care capacity in Japan, 2020-2022.2020-2022 年日本医疗资源超负荷情况下 COVID-19 死亡的时间依赖性风险。
BMC Infect Dis. 2022 Dec 12;22(1):933. doi: 10.1186/s12879-022-07929-8.
8
COVID-induced 3  weeks' treatment delay may exacerbate breast cancer patient's psychological symptoms.新冠疫情导致的3周治疗延迟可能会加重乳腺癌患者的心理症状。
Front Psychol. 2022 Nov 10;13:1003016. doi: 10.3389/fpsyg.2022.1003016. eCollection 2022.
9
A novel method to monitor COVID-19 fatality rate in real-time, a key metric to guide public health policy.一种实时监测 COVID-19 病死率的新方法,这是指导公共卫生政策的关键指标。
Sci Rep. 2022 Oct 31;12(1):18277. doi: 10.1038/s41598-022-23138-4.
10
Novel methods for estimating the instantaneous and overall COVID-19 case fatality risk among care home residents in England.用于估算英格兰养老院居民中 COVID-19 即时和总体病死率风险的新方法。
PLoS Comput Biol. 2022 Oct 24;18(10):e1010554. doi: 10.1371/journal.pcbi.1010554. eCollection 2022 Oct.
北京地区 COVID-19 感染特征。
J Infect. 2020 Apr;80(4):401-406. doi: 10.1016/j.jinf.2020.02.018. Epub 2020 Feb 27.
4
Clinical Characteristics of Coronavirus Disease 2019 in China.《中国 2019 年冠状病毒病临床特征》
N Engl J Med. 2020 Apr 30;382(18):1708-1720. doi: 10.1056/NEJMoa2002032. Epub 2020 Feb 28.
5
Clinical characteristics of hospitalized patients with SARS-CoV-2 infection: A single arm meta-analysis.住院的 SARS-CoV-2 感染患者的临床特征:一项单臂荟萃分析。
J Med Virol. 2020 Jun;92(6):612-617. doi: 10.1002/jmv.25735. Epub 2020 Mar 11.
6
Transmission of 2019-nCoV Infection from an Asymptomatic Contact in Germany.德国一名无症状接触者传播2019新型冠状病毒感染
N Engl J Med. 2020 Mar 5;382(10):970-971. doi: 10.1056/NEJMc2001468. Epub 2020 Jan 30.
7
Evaluating the potential impact of targeted vaccination strategies against severe acute respiratory syndrome coronavirus (SARS-CoV) and Middle East respiratory syndrome coronavirus (MERS-CoV) outbreaks in the healthcare setting.评估针对严重急性呼吸综合征冠状病毒(SARS-CoV)和中东呼吸综合征冠状病毒(MERS-CoV)在医疗机构爆发的针对性疫苗接种策略的潜在影响。
Theor Biol Med Model. 2019 Oct 7;16(1):16. doi: 10.1186/s12976-019-0112-6.
8
Dynamics of the pneumonic plague epidemic in Madagascar, August to October 2017.2017年8月至10月马达加斯加肺鼠疫疫情动态
Euro Surveill. 2017 Nov;22(46). doi: 10.2807/1560-7917.ES.2017.22.46.17-00710.
9
Real-time characterization of risks of death associated with the Middle East respiratory syndrome (MERS) in the Republic of Korea, 2015.2015年韩国中东呼吸综合征(MERS)相关死亡风险的实时特征分析
BMC Med. 2015 Sep 30;13:228. doi: 10.1186/s12916-015-0468-3.
10
Transmission characteristics of MERS and SARS in the healthcare setting: a comparative study.中东呼吸综合征和严重急性呼吸综合征在医疗机构中的传播特征:一项比较研究。
BMC Med. 2015 Sep 3;13:210. doi: 10.1186/s12916-015-0450-0.