Department of Biostatistics, School of Public Health, Peking University, Xueyuan Road, Beijing 100191, China.
Beijing International Center for Mathematical Research, Peking University, Yiheyuan Road, Beijing 100871, China.
Int J Environ Res Public Health. 2020 May 24;17(10):3705. doi: 10.3390/ijerph17103705.
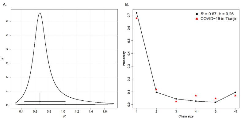
COVID-19 caused rapid mass infection worldwide. Understanding its transmission characteristics, including heterogeneity and the emergence of super spreading events (SSEs) where certain individuals infect large numbers of secondary cases, is of vital importance for prediction and intervention of future epidemics. Here, we collected information of all infected cases (135 cases) between 21 January and 26 February 2020 from official public sources in Tianjin, a metropolis of China, and grouped them into 43 transmission chains with the largest chain of 45 cases and the longest chain of four generations. Utilizing a heterogeneous transmission model based on branching process along with a negative binomial offspring distribution, we estimated the reproductive number and the dispersion parameter (lower value indicating higher heterogeneity) to be 0.67 (95% CI: 0.54-0.84) and 0.25 (95% CI: 0.13-0.88), respectively. A super-spreader causing six infections was identified in Tianjin. In addition, our simulation allowing for heterogeneity showed that the outbreak in Tianjin would have caused 165 infections and sustained for 7.56 generations on average if no control measures had been taken by local government since 28 January. Our results highlighted more efforts are needed to verify the transmission heterogeneity of COVID-19 in other populations and its contributing factors.
新冠病毒(COVID-19)在全球范围内引发了大规模感染。了解其传播特征,包括异质性和超级传播事件(SSE)的出现,即某些个体感染大量二次病例,对于预测和干预未来的疫情至关重要。在这里,我们收集了 2020 年 1 月 21 日至 2 月 26 日期间中国大都市天津官方公共来源的所有感染病例(135 例)的信息,并将其分为 43 条传播链,其中最大的链有 45 例,最长的链有四代。利用基于分支过程的异质传播模型和负二项式后代分布,我们估计了繁殖数 和离散参数 (值越低表示异质性越高),分别为 0.67(95%CI:0.54-0.84)和 0.25(95%CI:0.13-0.88)。在天津发现了一名超级传播者,导致 6 人感染。此外,我们的模拟结果显示,如果当地政府自 1 月 28 日以来没有采取任何控制措施,那么天津的疫情将导致 165 例感染,平均持续 7.56 代。我们的研究结果强调,需要进一步努力验证 COVID-19 在其他人群中的传播异质性及其影响因素。