• 文献检索
  • 文档翻译
  • 深度研究
  • 学术资讯
  • Suppr Zotero 插件Zotero 插件
  • 邀请有礼
  • 套餐&价格
  • 历史记录
应用&插件
Suppr Zotero 插件Zotero 插件浏览器插件Mac 客户端Windows 客户端微信小程序
定价
高级版会员购买积分包购买API积分包
服务
文献检索文档翻译深度研究API 文档MCP 服务
关于我们
关于 Suppr公司介绍联系我们用户协议隐私条款
关注我们

Suppr 超能文献

核心技术专利:CN118964589B侵权必究
粤ICP备2023148730 号-1Suppr @ 2026

文献检索

告别复杂PubMed语法,用中文像聊天一样搜索,搜遍4000万医学文献。AI智能推荐,让科研检索更轻松。

立即免费搜索

文件翻译

保留排版,准确专业,支持PDF/Word/PPT等文件格式,支持 12+语言互译。

免费翻译文档

深度研究

AI帮你快速写综述,25分钟生成高质量综述,智能提取关键信息,辅助科研写作。

立即免费体验

环状 RNA cir-ITCH 是治疗去势抵抗性前列腺癌的潜在治疗靶点。

Circular RNA cir-ITCH Is a Potential Therapeutic Target for the Treatment of Castration-Resistant Prostate Cancer.

机构信息

Department of Surgery, Hebei Medical University, Shijiazhuang, Hebei 050017, China.

Department of Urology, Health Examination Center, Obstetrics and Gynecology, and Oncology, Hebei General Hospital, Shijiazhuang, Hebei 050051, China.

出版信息

Biomed Res Int. 2020 Aug 20;2020:7586521. doi: 10.1155/2020/7586521. eCollection 2020.

DOI:10.1155/2020/7586521
PMID:32904490
原文链接:https://pmc.ncbi.nlm.nih.gov/articles/PMC7456474/
Abstract

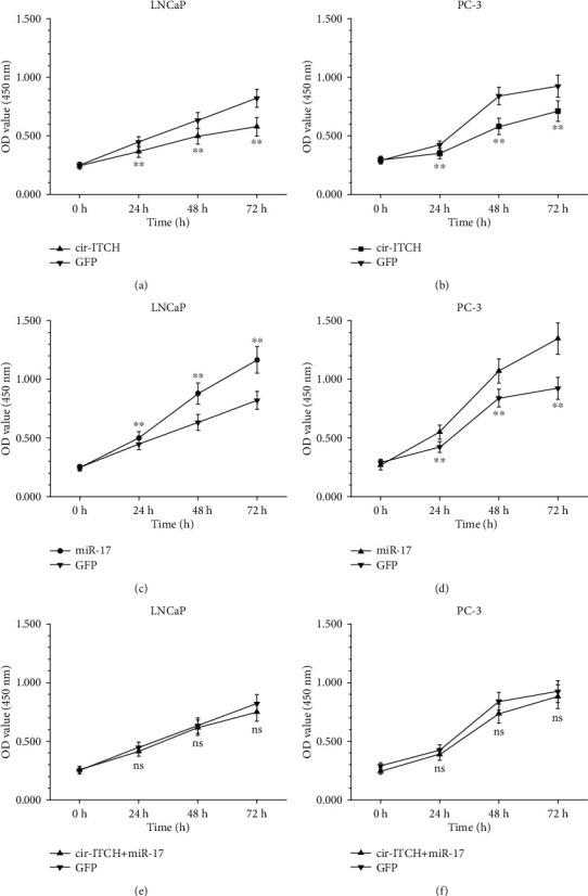
cir-ITCH, a well-known tumor-suppressive circular RNA, plays a critical role in different cancers. However, its expression and functional role in prostate cancer (PCa) are unclear. Herein, we explored the potential mechanism and tumor-inhibiting role of cir-ITCH in PCa. Using reverse transcriptase polymerase chain reaction assay, we analyzed the expression of cir-ITCH in PCa and paired adjacent nontumor tissue samples resected during surgical operation, as well as in two cell lines of human PCa (LNCaP and PC-3) and the immortalized normal prostate epithelial cell line (RWPE-1). Cell viability and migration of PCa cell lines were evaluated using CCK-8 and wound-healing assays. Expression of key proteins of the Wnt/-catenin and PI3K/AKT/mTOR pathways was detected using western blotting. We found that cir-ITCH expression was typically downregulated in the tissues and cell lines of PCa compared to that in the peritumoral tissue and in RWPE-1 cells, respectively. The results showed that cir-ITCH overexpression significantly inhibits the proliferation, migration, and invasion of human PCa cells and that reciprocal inhibition of expression occurred between cir-ITCH and miR-17. Proteins in the Wnt/-catenin and PI3K/AKT/mTOR pathways were downregulated by overexpression of cir-ITCH both in androgen receptor-positive LNCaP cells and androgen receptor-negative PC-3 cells. Taken together, these data demonstrated that cir-ITCH plays a tumor-suppressive role in human PCa cells, partly through the Wnt/-catenin and PI3K/AKT/mTOR pathways. Thus, cir-ITCH may serve as a novel therapeutic target for the treatment of PCa, especially castration-resistant prostate cancer.

摘要

环状 RNA ITCH(cir-ITCH)是一种已知的肿瘤抑制性环状 RNA,在不同癌症中发挥着关键作用。然而,其在前列腺癌(PCa)中的表达和功能作用尚不清楚。在此,我们探讨了 cir-ITCH 在 PCa 中的潜在机制和肿瘤抑制作用。通过逆转录聚合酶链反应(RT-PCR)检测,我们分析了 cir-ITCH 在 PCa 及手术切除的配对相邻非肿瘤组织样本中的表达,以及在两种人前列腺癌细胞系(LNCaP 和 PC-3)和永生化正常前列腺上皮细胞系(RWPE-1)中的表达。通过 CCK-8 法和划痕愈合实验评估了 PCa 细胞系的细胞活力和迁移。使用 Western blot 检测 Wnt/-catenin 和 PI3K/AKT/mTOR 通路的关键蛋白的表达。我们发现,与周围肿瘤组织和 RWPE-1 细胞相比,PCa 组织和细胞系中 cir-ITCH 的表达通常下调。结果表明,cir-ITCH 过表达可显著抑制人前列腺癌细胞的增殖、迁移和侵袭,并且 cir-ITCH 与 miR-17 之间存在表达的相互抑制关系。在雄激素受体阳性的 LNCaP 细胞和雄激素受体阴性的 PC-3 细胞中,过表达 cir-ITCH 均可下调 Wnt/-catenin 和 PI3K/AKT/mTOR 通路中的蛋白。综上所述,这些数据表明 cir-ITCH 在人前列腺癌细胞中发挥肿瘤抑制作用,部分通过 Wnt/-catenin 和 PI3K/AKT/mTOR 通路。因此,cir-ITCH 可能成为治疗 PCa,特别是去势抵抗性前列腺癌的一种新的治疗靶点。

https://cdn.ncbi.nlm.nih.gov/pmc/blobs/f92a/7456474/5fae83f407a2/BMRI2020-7586521.005.jpg
https://cdn.ncbi.nlm.nih.gov/pmc/blobs/f92a/7456474/6061e2722ead/BMRI2020-7586521.002.jpg
https://cdn.ncbi.nlm.nih.gov/pmc/blobs/f92a/7456474/25f796eaea9c/BMRI2020-7586521.003.jpg
https://cdn.ncbi.nlm.nih.gov/pmc/blobs/f92a/7456474/3da4f98ed035/BMRI2020-7586521.004.jpg
https://cdn.ncbi.nlm.nih.gov/pmc/blobs/f92a/7456474/5fae83f407a2/BMRI2020-7586521.005.jpg
https://cdn.ncbi.nlm.nih.gov/pmc/blobs/f92a/7456474/6061e2722ead/BMRI2020-7586521.002.jpg
https://cdn.ncbi.nlm.nih.gov/pmc/blobs/f92a/7456474/25f796eaea9c/BMRI2020-7586521.003.jpg
https://cdn.ncbi.nlm.nih.gov/pmc/blobs/f92a/7456474/3da4f98ed035/BMRI2020-7586521.004.jpg
https://cdn.ncbi.nlm.nih.gov/pmc/blobs/f92a/7456474/5fae83f407a2/BMRI2020-7586521.005.jpg

相似文献

1
Circular RNA cir-ITCH Is a Potential Therapeutic Target for the Treatment of Castration-Resistant Prostate Cancer.环状 RNA cir-ITCH 是治疗去势抵抗性前列腺癌的潜在治疗靶点。
Biomed Res Int. 2020 Aug 20;2020:7586521. doi: 10.1155/2020/7586521. eCollection 2020.
2
Cir-ITCH inhibits gastric cancer migration, invasion and proliferation by regulating the Wnt/β-catenin pathway.环状结构域蛋白 11(Cir-ITCH)通过调控 Wnt/β-连环蛋白通路抑制胃癌迁移、侵袭和增殖。
Sci Rep. 2020 Oct 15;10(1):17443. doi: 10.1038/s41598-020-74452-8.
3
Circular RNA Promotes Osteosarcoma Migration and Invasion through /miR-7/EGFR Pathway.环状 RNA 通过 /miR-7/EGFR 通路促进骨肉瘤迁移和侵袭。
Technol Cancer Res Treat. 2020 Jan-Dec;19:1533033819898728. doi: 10.1177/1533033819898728.
4
Next-generation sequencing of advanced prostate cancer treated with androgen-deprivation therapy.接受雄激素剥夺治疗的晚期前列腺癌的下一代测序
Eur Urol. 2014 Jul;66(1):32-9. doi: 10.1016/j.eururo.2013.08.011. Epub 2013 Aug 14.
5
cir-ITCH plays an inhibitory role in colorectal cancer by regulating the Wnt/β-catenin pathway.环状ITCH通过调控Wnt/β-连环蛋白信号通路在结直肠癌中发挥抑制作用。
PLoS One. 2015 Jun 25;10(6):e0131225. doi: 10.1371/journal.pone.0131225. eCollection 2015.
6
Circular RNA-ITCH Suppresses Lung Cancer Proliferation via Inhibiting the Wnt/β-Catenin Pathway.环状RNA-ITCH通过抑制Wnt/β-连环蛋白信号通路抑制肺癌增殖。
Biomed Res Int. 2016;2016:1579490. doi: 10.1155/2016/1579490. Epub 2016 Aug 24.
7
CircLMTK2 acts as a tumor suppressor in prostate cancer via regulating the expression of microRNA-183.环状 RNA LMTK2 通过调控 microRNA-183 的表达在前列腺癌中发挥抑癌作用。
Life Sci. 2020 Jan 15;241:117097. doi: 10.1016/j.lfs.2019.117097. Epub 2019 Nov 21.
8
Effects of CircRNA-ITCH on proliferation and apoptosis of hepatocellular carcinoma cells through inhibiting Wnt/β-catenin signaling pathway.环状 RNA-ITCH 通过抑制 Wnt/β-连环蛋白信号通路对肝癌细胞增殖和凋亡的影响。
J BUON. 2020 May-Jun;25(3):1368-1374.
9
Circular RNA ITCH has inhibitory effect on ESCC by suppressing the Wnt/β-catenin pathway.环状RNA ITCH通过抑制Wnt/β-连环蛋白信号通路对食管癌具有抑制作用。
Oncotarget. 2015 Mar 20;6(8):6001-13. doi: 10.18632/oncotarget.3469.
10
Androgen-induced miR-135a acts as a tumor suppressor through downregulating RBAK and MMP11, and mediates resistance to androgen deprivation therapy.雄激素诱导的miR-135a通过下调RBAK和MMP11发挥肿瘤抑制作用,并介导对雄激素剥夺疗法的抗性。
Oncotarget. 2016 Aug 9;7(32):51284-51300. doi: 10.18632/oncotarget.9992.

引用本文的文献

1
Exploring the roles of ncRNAs in prostate cancer via the PI3K/AKT/mTOR signaling pathway.通过PI3K/AKT/mTOR信号通路探索非编码RNA在前列腺癌中的作用。
Front Immunol. 2025 Mar 18;16:1525741. doi: 10.3389/fimmu.2025.1525741. eCollection 2025.
2
Unlocking the role of non-coding RNAs in prostate cancer progression: exploring the interplay with the Wnt signaling pathway.揭示非编码RNA在前列腺癌进展中的作用:探索与Wnt信号通路的相互作用。
Front Pharmacol. 2023 Sep 27;14:1269233. doi: 10.3389/fphar.2023.1269233. eCollection 2023.
3
The roles and mechanisms of circular RNAs related to mTOR in cancers.

本文引用的文献

1
Circular RNA ITCH suppressed prostate cancer progression by increasing HOXB13 expression via spongy miR-17-5p.环状RNA ITCH通过海绵化miR-17-5p增加HOXB13表达来抑制前列腺癌进展。
Cancer Cell Int. 2019 Dec 3;19:328. doi: 10.1186/s12935-019-0994-8. eCollection 2019.
2
Circular RNA circFOXO3 promotes prostate cancer progression through sponging miR-29a-3p.环状 RNA circFOXO3 通过海绵吸附 miR-29a-3p 促进前列腺癌进展。
J Cell Mol Med. 2020 Jan;24(1):799-813. doi: 10.1111/jcmm.14791. Epub 2019 Nov 16.
3
Circ-MTO1 correlates with favorable prognosis and inhibits cell proliferation, invasion as well as miR-17-5p expression in prostate cancer.
环状 RNA 与 mTOR 在癌症中的作用及机制。
J Clin Lab Anal. 2022 Dec;36(12):e24783. doi: 10.1002/jcla.24783. Epub 2022 Nov 25.
4
CircRNA ITCH: Insight Into Its Role and Clinical Application Prospect in Tumor and Non-Tumor Diseases.环状RNA ITCH:对其在肿瘤和非肿瘤疾病中的作用及临床应用前景的洞察
Front Genet. 2022 Jul 15;13:927541. doi: 10.3389/fgene.2022.927541. eCollection 2022.
5
Advances in the Study of CircRNAs in Tumor Drug Resistance.环状RNA在肿瘤耐药性研究中的进展
Front Oncol. 2022 May 9;12:868363. doi: 10.3389/fonc.2022.868363. eCollection 2022.
6
The functional roles of the circRNA/Wnt axis in cancer.环状 RNA/Wnt 轴在癌症中的功能作用。
Mol Cancer. 2022 May 5;21(1):108. doi: 10.1186/s12943-022-01582-0.
7
The roles of E3 ligases in Hepatocellular carcinoma.E3 泛素连接酶在肝细胞癌中的作用。
Am J Cancer Res. 2022 Mar 15;12(3):1179-1214. eCollection 2022.
8
Circular RNA ITCH: An Emerging Multifunctional Regulator.环状 RNA ITCH:一种新兴的多功能调节因子。
Biomolecules. 2022 Feb 24;12(3):359. doi: 10.3390/biom12030359.
9
Interaction between Non-Coding RNAs and Androgen Receptor with an Especial Focus on Prostate Cancer.非编码 RNA 与雄激素受体的相互作用及其在前列腺癌中的特殊作用。
Cells. 2021 Nov 16;10(11):3198. doi: 10.3390/cells10113198.
10
Circular RNAs in prostate cancer: Biogenesis,biological functions, and clinical significance.前列腺癌中的环状RNA:生物发生、生物学功能及临床意义
Mol Ther Nucleic Acids. 2021 Oct 20;26:1130-1147. doi: 10.1016/j.omtn.2021.10.017. eCollection 2021 Dec 3.
环状 RNA-MTO1 与前列腺癌的良好预后相关,并抑制细胞增殖、侵袭以及 miR-17-5p 的表达。
J Clin Lab Anal. 2020 Mar;34(3):e23086. doi: 10.1002/jcla.23086. Epub 2019 Nov 11.
4
Widespread and Functional RNA Circularization in Localized Prostate Cancer.局限性前列腺癌中广泛存在和功能性的 RNA 环化。
Cell. 2019 Feb 7;176(4):831-843.e22. doi: 10.1016/j.cell.2019.01.025.
5
The extrema of circulating miR-17 are identified as biomarkers for aggressive prostate cancer.循环miR-17的极值被确定为侵袭性前列腺癌的生物标志物。
Am J Cancer Res. 2018 Oct 1;8(10):2088-2095. eCollection 2018.
6
Identification of the tumor-suppressive function of circular RNA ITCH in glioma cells through sponging miR-214 and promoting linear ITCH expression.通过海绵化miR-214并促进线性ITCH表达来鉴定环状RNA ITCH在胶质瘤细胞中的肿瘤抑制功能。
Am J Transl Res. 2018 May 15;10(5):1373-1386. eCollection 2018.
7
Inhibition of the Wnt/β-Catenin Pathway Overcomes Resistance to Enzalutamide in Castration-Resistant Prostate Cancer.抑制 Wnt/β-连环蛋白通路克服去势抵抗性前列腺癌对恩杂鲁胺的耐药性。
Cancer Res. 2018 Jun 15;78(12):3147-3162. doi: 10.1158/0008-5472.CAN-17-3006. Epub 2018 Apr 26.
8
Circular RNA circ-ITCH inhibits bladder cancer progression by sponging miR-17/miR-224 and regulating p21, PTEN expression.环状 RNA circ-ITCH 通过海绵吸附 miR-17/miR-224 并调节 p21、PTEN 表达抑制膀胱癌进展。
Mol Cancer. 2018 Jan 31;17(1):19. doi: 10.1186/s12943-018-0771-7.
9
Androgen-responsive circular RNA circSMARCA5 is up-regulated and promotes cell proliferation in prostate cancer.雄激素反应性环状RNA circSMARCA5在前列腺癌中上调并促进细胞增殖。
Biochem Biophys Res Commun. 2017 Nov 25;493(3):1217-1223. doi: 10.1016/j.bbrc.2017.07.162. Epub 2017 Jul 29.
10
PI3K signaling in cancer: beyond AKT.癌症中的PI3K信号传导:超越AKT
Curr Opin Cell Biol. 2017 Apr;45:62-71. doi: 10.1016/j.ceb.2017.02.007. Epub 2017 Mar 24.