Institut de Recerca i Tecnologies Agroalimentàries (IRTA), Ctra. Poble Nou Km 5.5, Sant Carles de la Ràpita, 43540 Tarragona, Spain.
Department of Biological Science, Graduate School of Science, Osaka Prefecture University, 599-8570 Osaka, Japan.
Toxins (Basel). 2020 Oct 31;12(11):692. doi: 10.3390/toxins12110692.
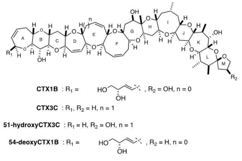
Ciguatera Poisoning (CP) is a human food-borne poisoning that has been known since ancient times to be found mainly in tropical and subtropical areas, which occurs when fish or very rarely invertebrates contaminated with ciguatoxins (CTXs) are consumed. The genus of marine benthic dinoflagellates produces CTX precursors. The presence of species in a region is one indicator of CP risk. The Canary Islands (North Eastern Atlantic Ocean) is an area where CP cases have been reported since 2004. In the present study, samplings for cells were conducted in this area during 2016 and 2017. cells were isolated and identified as , , and by molecular analysis. In this study, is reported for the first time in the Canary Islands. isolates were cultured, and the CTX-like toxicity of forty-one strains was evaluated with the neuroblastoma cell-based assay (neuro-2a CBA). exhibited the highest CTX-like toxicity (9.5-2566.7 fg CTX1B equiv. cell) followed by (1.7-452.6.2 fg CTX1B equiv. cell). By contrast, the toxicity of was low (5.6 fg CTX1B equiv. cell), and did not exhibit CTX-like toxicity. In addition, for the strain, the production of CTXs was evaluated with a colorimetric immunoassay and an electrochemical immunosensor resulting in producing two types of CTX congeners (CTX1B and CTX3C series congeners) and can contribute to CP in the Canary Islands.
雪卡毒素中毒(CP)是一种人类食源性中毒,自古以来主要在热带和亚热带地区发现,当食用受雪卡毒素(CTXs)污染的鱼类或非常罕见的无脊椎动物时,就会发生这种中毒。海洋底栖甲藻属的种类产生 CTX 前体。该属的存在是该地区 CP 风险的一个指标。加那利群岛(东北大西洋)是自 2004 年以来报告 CP 病例的地区。在本研究中,于 2016 年和 2017 年对该地区的 细胞进行了采样。通过分子分析分离和鉴定这些细胞为 、 、 。本研究首次在加那利群岛报道了 。分离物被培养,并通过基于神经母细胞瘤细胞的测定(神经-2a CBA)评估了 41 株的 CTX 样毒性。 表现出最高的 CTX 样毒性(9.5-2566.7 fg CTX1B 当量细胞),其次是 (1.7-452.6.2 fg CTX1B 当量细胞)。相比之下, 的毒性较低(5.6 fg CTX1B 当量细胞), 不表现出 CTX 样毒性。此外,对于 菌株,通过比色免疫测定法和电化学免疫传感器评估了 CTXs 的产生,结果表明 产生两种类型的 CTX 同系物(CTX1B 和 CTX3C 系列同系物),并可能导致加那利群岛的 CP。