• 文献检索
  • 文档翻译
  • 深度研究
  • 学术资讯
  • Suppr Zotero 插件Zotero 插件
  • 邀请有礼
  • 套餐&价格
  • 历史记录
应用&插件
Suppr Zotero 插件Zotero 插件浏览器插件Mac 客户端Windows 客户端微信小程序
定价
高级版会员购买积分包购买API积分包
服务
文献检索文档翻译深度研究API 文档MCP 服务
关于我们
关于 Suppr公司介绍联系我们用户协议隐私条款
关注我们

Suppr 超能文献

核心技术专利:CN118964589B侵权必究
粤ICP备2023148730 号-1Suppr @ 2026

文献检索

告别复杂PubMed语法,用中文像聊天一样搜索,搜遍4000万医学文献。AI智能推荐,让科研检索更轻松。

立即免费搜索

文件翻译

保留排版,准确专业,支持PDF/Word/PPT等文件格式,支持 12+语言互译。

免费翻译文档

深度研究

AI帮你快速写综述,25分钟生成高质量综述,智能提取关键信息,辅助科研写作。

立即免费体验

联合视网膜电图和光学相干断层扫描/血管造影对青光眼损害的多模态评估。

Combined Multi-Modal Assessment of Glaucomatous Damage With Electroretinography and Optical Coherence Tomography/Angiography.

机构信息

Department of Ophthalmology, Otto-von-Guericke University, Magdeburg, Germany.

Department of Ophthalmology, University of Groningen, University Medical Center, Groningen, The Netherlands.

出版信息

Transl Vis Sci Technol. 2020 Nov 2;9(12):7. doi: 10.1167/tvst.9.12.7. eCollection 2020 Nov.

DOI:10.1167/tvst.9.12.7
PMID:33200048
原文链接:https://pmc.ncbi.nlm.nih.gov/articles/PMC7645242/
Abstract

PURPOSE

To compare the diagnostic performance and to evaluate the interrelationship of electroretinographical and structural and vascular measures in glaucoma.

METHODS

For 14 eyes of 14 healthy controls and 15 eyes of 12 patients with glaucoma ranging from preperimetric to advanced stages optical coherence tomography (OCT), OCT-angiography (OCT-A), and electrophysiological measures (multifocal photopic negative response ratio [mfPhNR] and steady-state pattern electroretinography [ssPERG]) were applied to assess changes in retinal structure, microvasculature, and function, respectively. The diagnostic performance was assessed via area-under-curve (AUC) measures obtained from receiver operating characteristics analyses. The interrelation of the different measures was assessed with correlation analyses.

RESULTS

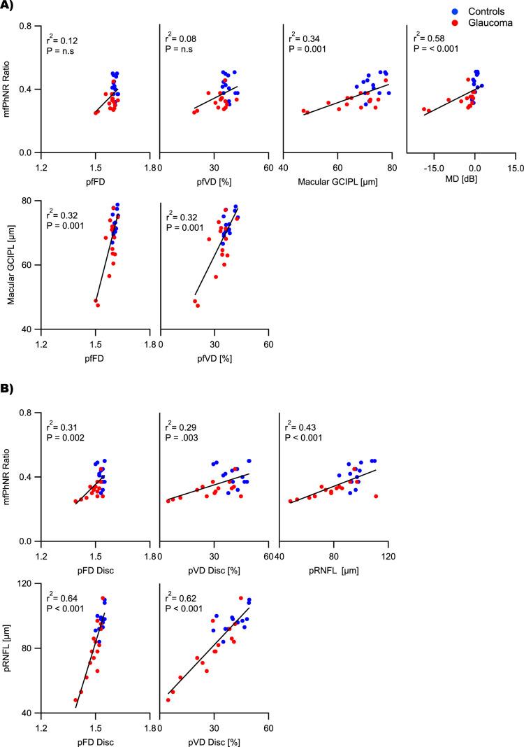
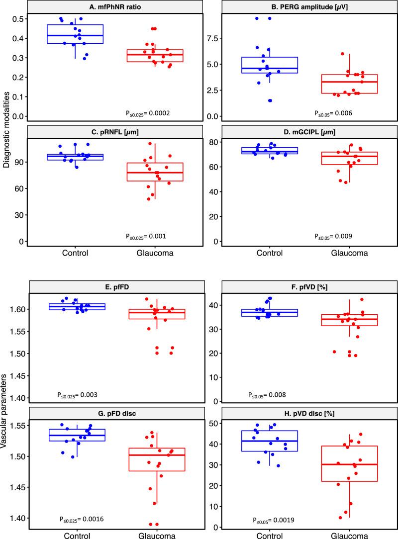
The mfPhNR, ssPERG amplitude, parafoveal (pfVD) and peripapillary vessel density (pVD), macular ganglion cell inner plexiform layer thickness (mGCIPL) and peripapillary retinal nerve fiber layer thickness (pRNFL) were significantly reduced in glaucoma. The AUC for mfPhNR was highest among diagnostic modalities (AUC: 0.88, 95% confidence interval: 0.75-1.0, < 0.001), albeit not statistically different from that for macular (mGCIPL: 0.76, 0.58-0.94, < 0.05; pfVD: 0.81, 0.65-0.97, < 0.01) or peripapillary imaging (pRNFL: 0.85, 0.70-1.0, < 0.01; pVD: 0.82, 0.68-0.97, < 0.01). Combined functional/vascular measures yielded the highest AUC (mfPhNR-pfVD: 0.94, 0.85-1.0, < 0.001). The functional/structural measure correlation (mfPhNR-mGCIPL correlation coefficient [r]: 0.58, = 0.001; mfPhNR-pRNFL r: 0.66, < 0.001) was stronger than the functional-vascular correlation (mfPhNR-pfVD r: 0.29, = 0.13; mfPhNR-pVD r: 0.54, = 0.003).

CONCLUSIONS

The combination of ERG measures and OCT-A improved diagnostic performance and enhanced understanding of pathophysiology in glaucoma.

TRANSLATIONAL RELEVANCE

Multimodal assessment of glaucoma damage improves diagnostics and monitoring of disease progression.

摘要

目的

比较电生理和结构及血管测量在青光眼诊断中的性能,并评估它们之间的相互关系。

方法

本研究纳入了 14 名健康对照者的 14 只眼和 12 名青光眼患者的 15 只眼。采用光学相干断层扫描(OCT)、OCT 血管造影(OCT-A)和电生理测量(多焦光刺激负反应比率 [mfPhNR]和稳态图形视网膜电图 [ssPERG])分别评估视网膜结构、微血管和功能的变化。通过接收者操作特征分析获得的曲线下面积(AUC)评估诊断性能。采用相关分析评估不同测量方法之间的相互关系。

结果

青光眼患者的 mfPhNR、ssPERG 振幅、黄斑区(pf)血管密度(pVD)和视盘周围血管密度(pVD)、黄斑神经节细胞内丛状层厚度(mGCIPL)和视盘周围神经纤维层厚度(pRNFL)均显著降低。在诊断模式中,mfPhNR 的 AUC 最高(AUC:0.88,95%置信区间:0.75-1.0,<0.001),尽管与黄斑(mGCIPL:0.76,0.58-0.94,<0.05;pfVD:0.81,0.65-0.97,<0.01)或视盘成像(pRNFL:0.85,0.70-1.0,<0.01;pVD:0.82,0.68-0.97,<0.01)相比无统计学差异。功能/血管联合测量的 AUC 最高(mfPhNR-pfVD:0.94,0.85-1.0,<0.001)。功能/结构测量之间的相关性(mfPhNR-mGCIPL 相关系数[r]:0.58,=0.001;mfPhNR-pRNFL r:0.66,<0.001)强于功能-血管相关性(mfPhNR-pfVD r:0.29,=0.13;mfPhNR-pVD r:0.54,=0.003)。

结论

ERG 测量与 OCT-A 的联合应用提高了青光眼的诊断性能,并增强了对青光眼病理生理学的理解。

翻译后的文本

目的

比较电生理和结构及血管测量在青光眼诊断中的性能,并评估它们之间的相互关系。

方法

本研究纳入了 14 名健康对照者的 14 只眼和 12 名青光眼患者的 15 只眼。采用光学相干断层扫描(OCT)、OCT 血管造影(OCT-A)和电生理测量(多焦光刺激负反应比率 [mfPhNR]和稳态图形视网膜电图 [ssPERG])分别评估视网膜结构、微血管和功能的变化。通过接收者操作特征分析获得的曲线下面积(AUC)评估诊断性能。采用相关分析评估不同测量方法之间的相互关系。

结果

青光眼患者的 mfPhNR、ssPERG 振幅、黄斑区(pf)血管密度(pVD)和视盘周围血管密度(pVD)、黄斑神经节细胞内丛状层厚度(mGCIPL)和视盘周围神经纤维层厚度(pRNFL)均显著降低。在诊断模式中,mfPhNR 的 AUC 最高(AUC:0.88,95%置信区间:0.75-1.0,<0.001),尽管与黄斑(mGCIPL:0.76,0.58-0.94,<0.05;pfVD:0.81,0.65-0.97,<0.01)或视盘成像(pRNFL:0.85,0.70-1.0,<0.01;pVD:0.82,0.68-0.97,<0.01)相比无统计学差异。功能/血管联合测量的 AUC 最高(mfPhNR-pfVD:0.94,0.85-1.0,<0.001)。功能/结构测量之间的相关性(mfPhNR-mGCIPL 相关系数[r]:0.58,=0.001;mfPhNR-pRNFL r:0.66,<0.001)强于功能-血管相关性(mfPhNR-pfVD r:0.29,=0.13;mfPhNR-pVD r:0.54,=0.003)。

结论

ERG 测量与 OCT-A 的联合应用提高了青光眼的诊断性能,并增强了对青光眼病理生理学的理解。

https://cdn.ncbi.nlm.nih.gov/pmc/blobs/6ceb/7645242/2390ab864fb3/tvst-9-12-7-f004.jpg
https://cdn.ncbi.nlm.nih.gov/pmc/blobs/6ceb/7645242/2cbc980de0bc/tvst-9-12-7-f001.jpg
https://cdn.ncbi.nlm.nih.gov/pmc/blobs/6ceb/7645242/76051756b182/tvst-9-12-7-f002.jpg
https://cdn.ncbi.nlm.nih.gov/pmc/blobs/6ceb/7645242/a3ad33178e61/tvst-9-12-7-f003.jpg
https://cdn.ncbi.nlm.nih.gov/pmc/blobs/6ceb/7645242/2390ab864fb3/tvst-9-12-7-f004.jpg
https://cdn.ncbi.nlm.nih.gov/pmc/blobs/6ceb/7645242/2cbc980de0bc/tvst-9-12-7-f001.jpg
https://cdn.ncbi.nlm.nih.gov/pmc/blobs/6ceb/7645242/76051756b182/tvst-9-12-7-f002.jpg
https://cdn.ncbi.nlm.nih.gov/pmc/blobs/6ceb/7645242/a3ad33178e61/tvst-9-12-7-f003.jpg
https://cdn.ncbi.nlm.nih.gov/pmc/blobs/6ceb/7645242/2390ab864fb3/tvst-9-12-7-f004.jpg

相似文献

1
Combined Multi-Modal Assessment of Glaucomatous Damage With Electroretinography and Optical Coherence Tomography/Angiography.联合视网膜电图和光学相干断层扫描/血管造影对青光眼损害的多模态评估。
Transl Vis Sci Technol. 2020 Nov 2;9(12):7. doi: 10.1167/tvst.9.12.7. eCollection 2020 Nov.
2
Diagnostic performance of multifocal photopic negative response, pattern electroretinogram and optical coherence tomography in glaucoma.多焦光性负反应、图形视网膜电图和光学相干断层扫描在青光眼诊断中的性能。
Exp Eye Res. 2020 Nov;200:108242. doi: 10.1016/j.exer.2020.108242. Epub 2020 Sep 11.
3
Relation between macular retinal ganglion cell/inner plexiform layer thickness and multifocal electroretinogram measures in experimental glaucoma.实验性青光眼患者黄斑视网膜神经节细胞/内丛状层厚度与多焦视网膜电图测量值的关系。
Invest Ophthalmol Vis Sci. 2014 Jun 26;55(7):4512-24. doi: 10.1167/iovs.14-13937.
4
Temporal Relation between Macular Ganglion Cell-Inner Plexiform Layer Loss and Peripapillary Retinal Nerve Fiber Layer Loss in Glaucoma.青光眼的黄斑神经节细胞-内丛状层丢失与视盘周围视网膜神经纤维层丢失的时间关系。
Ophthalmology. 2017 Jul;124(7):1056-1064. doi: 10.1016/j.ophtha.2017.03.014. Epub 2017 Apr 10.
5
Diagnostic ability of macular ganglion cell inner plexiform layer measurements in glaucoma using swept source and spectral domain optical coherence tomography.使用扫频源和谱域光学相干断层扫描测量黄斑神经节细胞内丛状层在青光眼诊断中的能力
PLoS One. 2015 May 15;10(5):e0125957. doi: 10.1371/journal.pone.0125957. eCollection 2015.
6
Ganglion cell loss in early glaucoma, as assessed by photopic negative response, pattern electroretinogram, and spectral-domain optical coherence tomography.通过明视负反应、图形视网膜电图和频域光学相干断层扫描评估早期青光眼患者的神经节细胞丢失情况。
Doc Ophthalmol. 2017 Aug;135(1):17-28. doi: 10.1007/s10633-017-9595-9. Epub 2017 May 31.
7
Comparison of Peripapillary Retinal Nerve Fiber Layer Thickness, Functional Subzones, and Macular Ganglion Cell-Inner Plexiform Layer in Differentiating Patients With Mild, Moderate, and Severe Open-angle Glaucoma.比较轻度、中度和重度开角型青光眼患者视盘周围视网膜神经纤维层厚度、功能亚区和黄斑神经节细胞-内丛状层。
J Glaucoma. 2020 Sep;29(9):761-766. doi: 10.1097/IJG.0000000000001598.
8
Macular Ganglion Cell-Inner Plexiform Layer Loss Precedes Peripapillary Retinal Nerve Fiber Layer Loss in Glaucoma with Lower Intraocular Pressure.在眼压较低的青光眼患者中,黄斑神经节细胞-内丛状层损失先于视盘周围视网膜神经纤维层损失。
Ophthalmology. 2019 Aug;126(8):1119-1130. doi: 10.1016/j.ophtha.2019.03.016. Epub 2019 Mar 22.
9
Comparison of Retinal Nerve Fiber Layer and Ganglion Cell-Inner Plexiform Layer Thickness Values Using Spectral-Domain and Swept-Source OCT.应用谱域和扫频源光学相干断层扫描比较视网膜神经纤维层和节细胞-内丛状层厚度值。
Transl Vis Sci Technol. 2022 Jun 1;11(6):27. doi: 10.1167/tvst.11.6.27.
10
Accuracy of peripapillary versus macular vessel density in diagnosis of early to advanced primary open angle glaucoma.视乳头周围与黄斑区血管密度在早期至晚期原发性开角型青光眼诊断中的准确性
J Fr Ophtalmol. 2018 Sep;41(7):619-629. doi: 10.1016/j.jfo.2018.02.004. Epub 2018 Aug 24.

引用本文的文献

1
DTL versus skin electrodes in recording of multifocal pattern electroretinogram and multifocal photopic negative response.在记录多焦图形视网膜电图和多焦明视负反应时DTL电极与皮肤电极的比较
Doc Ophthalmol. 2025 Apr 9. doi: 10.1007/s10633-025-10014-5.
2
Acute Effects of Oral Caffeine Intake on Human Global-Flash mfERG Responses: A Placebo-Controlled, Double-Masked, Balanced Crossover Study.口服咖啡因摄入对人眼全局闪烁 mfERG 反应的急性影响:一项安慰剂对照、双盲、均衡交叉研究。
Invest Ophthalmol Vis Sci. 2024 Sep 3;65(11):10. doi: 10.1167/iovs.65.11.10.
3
The diagnostic accuracy of photopic negative responses evoked by broadband and chromatic stimuli in a clinically heterogeneous population.

本文引用的文献

1
Diagnostic performance of multifocal photopic negative response, pattern electroretinogram and optical coherence tomography in glaucoma.多焦光性负反应、图形视网膜电图和光学相干断层扫描在青光眼诊断中的性能。
Exp Eye Res. 2020 Nov;200:108242. doi: 10.1016/j.exer.2020.108242. Epub 2020 Sep 11.
2
Use of a novel telemetric sensor to study interactions of intraocular pressure and ganglion-cell function in glaucoma.利用新型遥测传感器研究青光眼眼内压与神经节细胞功能的相互作用。
Br J Ophthalmol. 2021 May;105(5):661-668. doi: 10.1136/bjophthalmol-2020-316136. Epub 2020 Jul 29.
3
OCT Angiography: Measurement of Retinal Macular Microvasculature with Spectralis II OCT Angiography - Reliability and Reproducibility.
宽光谱和彩色刺激诱发的光适应负反应在临床异质人群中的诊断准确性。
Doc Ophthalmol. 2023 Dec;147(3):165-177. doi: 10.1007/s10633-023-09956-5. Epub 2023 Oct 27.
4
Retinal Vessel Caliber Measurement Bias in Fundus Images in the Presence of the Central Light Reflex.存在中央光反射时眼底图像中视网膜血管直径测量的偏差。
Transl Vis Sci Technol. 2023 Jul 3;12(7):16. doi: 10.1167/tvst.12.7.16.
5
Functional and structural readouts for early detection of retinal involvement in multiple sclerosis.用于早期检测多发性硬化症视网膜受累的功能和结构读数
Front Integr Neurosci. 2023 Apr 17;17:1158148. doi: 10.3389/fnint.2023.1158148. eCollection 2023.
6
Retinal Oxygen Delivery and Extraction in Ophthalmologically Healthy Subjects With Different Blood Pressure Status.在血压状况不同的眼科健康受试者中视网膜的供氧和摄取。
Transl Vis Sci Technol. 2022 Feb 1;11(2):9. doi: 10.1167/tvst.11.2.9.
7
U-Shaped Effect of Blood Pressure on Structural OCT Metrics and Retinal Perfusion in Ophthalmologically Healthy Subjects.血压对眼科健康受试者结构 OCT 指标和视网膜灌注的 U 型影响。
Invest Ophthalmol Vis Sci. 2021 Sep 2;62(12):5. doi: 10.1167/iovs.62.12.5.
8
Non-invasive electrophysiology in glaucoma, structure and function-a review.青光眼的无创电生理学:结构与功能综述。
Eye (Lond). 2021 Sep;35(9):2374-2385. doi: 10.1038/s41433-021-01603-0. Epub 2021 Jun 11.
9
The role of pattern electroretinograms and optical coherence tomography angiography in the diagnosis of normal-tension glaucoma.图形视网膜电流图和光相干断层扫描血管造影在正常眼压性青光眼诊断中的作用。
Sci Rep. 2021 Jun 10;11(1):12257. doi: 10.1038/s41598-021-91813-z.
10
Comparison of the Humphrey Field Analyzer and Photopic Negative Response of Focal Macular Electroretinograms in the Evaluation of the Relationship Between Macula Structure and Function.在评估黄斑结构与功能关系中,Humphrey视野分析仪与黄斑中心凹视网膜电图明视负反应的比较
Front Med (Lausanne). 2021 Feb 26;8:649971. doi: 10.3389/fmed.2021.649971. eCollection 2021.
OCT 血管造影:应用 Spectralis II OCT 血管造影测量视网膜黄斑微循环 - 可靠性和可重复性。
Ophthalmologica. 2020;243(1):75-84. doi: 10.1159/000502458. Epub 2019 Sep 11.
4
Quantification and Repeatability of Vessel Density and Flux as Assessed by Optical Coherence Tomography Angiography.光学相干断层扫描血管造影术评估血管密度和通量的定量分析及可重复性
Transl Vis Sci Technol. 2019 May 2;8(3):3. doi: 10.1167/tvst.8.3.3. eCollection 2019 May.
5
Association of Macular and Circumpapillary Microvasculature with Visual Field Sensitivity in Advanced Glaucoma.高级青光眼患者黄斑和视盘周围微血管与视野敏感性的相关性研究。
Am J Ophthalmol. 2019 Aug;204:51-61. doi: 10.1016/j.ajo.2019.03.004. Epub 2019 Mar 14.
6
Relationship between Macular Vessel Density and Focal Electroretinograms in Early Normal Tension Glaucoma.早期正常眼压性青光眼的黄斑血管密度与焦点视网膜电图的关系。
Curr Eye Res. 2019 Jul;44(7):753-759. doi: 10.1080/02713683.2019.1593464. Epub 2019 Mar 25.
7
A comparative study of structural, functional and circulatory parameters in glaucoma diagnostics.青光眼诊断中结构、功能和循环参数的对比研究。
PLoS One. 2018 Aug 23;13(8):e0201599. doi: 10.1371/journal.pone.0201599. eCollection 2018.
8
Optical Coherence Tomography Angiography in Glaucoma: A Review.青光眼的光学相干断层扫描血管造影:综述
Ophthalmic Res. 2018;60(3):139-151. doi: 10.1159/000488495. Epub 2018 May 24.
9
Optical Coherence Tomography Angiography Macular Vascular Density Measurements and the Central 10-2 Visual Field in Glaucoma.光学相干断层扫描血管造影黄斑血管密度测量与青光眼中心 10-2 视野。
J Glaucoma. 2018 Jun;27(6):481-489. doi: 10.1097/IJG.0000000000000964.
10
Peripapillary and Macular Vessel Density in Patients with Primary Open-Angle Glaucoma and Unilateral Visual Field Loss.原发性开角型青光眼伴单侧视野缺损患者的视盘周围和黄斑血管密度。
Ophthalmology. 2018 Apr;125(4):578-587. doi: 10.1016/j.ophtha.2017.10.029. Epub 2017 Nov 22.